The Enlightenment was an influential 18th-century intellectual movement that challenged... Show more
Sign up to see the contentIt's free!
Access to all documents
Improve your grades
Join milions of students
Knowunity AI
Subjects
Triangle Congruence and Similarity Theorems
Triangle Properties and Classification
Linear Equations and Graphs
Geometric Angle Relationships
Trigonometric Functions and Identities
Equation Solving Techniques
Circle Geometry Fundamentals
Division Operations and Methods
Basic Differentiation Rules
Exponent and Logarithm Properties
Show all topics
Human Organ Systems
Reproductive Cell Cycles
Biological Sciences Subdisciplines
Cellular Energy Metabolism
Autotrophic Energy Processes
Inheritance Patterns and Principles
Biomolecular Structure and Organization
Cell Cycle and Division Mechanics
Cellular Organization and Development
Biological Structural Organization
Show all topics
Chemical Sciences and Applications
Atomic Structure and Composition
Molecular Electron Structure Representation
Atomic Electron Behavior
Matter Properties and Water
Mole Concept and Calculations
Gas Laws and Behavior
Periodic Table Organization
Chemical Thermodynamics Fundamentals
Chemical Bond Types and Properties
Show all topics
European Renaissance and Enlightenment
European Cultural Movements 800-1920
American Revolution Era 1763-1797
American Civil War 1861-1865
Global Imperial Systems
Mongol and Chinese Dynasties
U.S. Presidents and World Leaders
Historical Sources and Documentation
World Wars Era and Impact
World Religious Systems
Show all topics
Classic and Contemporary Novels
Literary Character Analysis
Rhetorical Theory and Practice
Classic Literary Narratives
Reading Analysis and Interpretation
Narrative Structure and Techniques
English Language Components
Influential English-Language Authors
Basic Sentence Structure
Narrative Voice and Perspective
Show all topics
87
•
Updated Apr 30, 2026
•
The Enlightenment was an influential 18th-century intellectual movement that challenged... Show more





Ever wondered where the ideas behind the U.S. Constitution came from? The Enlightenment, an 18th-century movement, gave birth to many of them! This "Age of Reason" emerged from earlier movements like the Renaissance and Scientific Revolution, with thinkers applying scientific reasoning to solve problems in government and society.
In France, philosophers (called philosophes) gathered in informal meetings called salons, often organized by women. These lively gatherings became intellectual hotspots where ideas were debated and spread throughout society. The basic principle? Reject authority and think for yourself.
Enlightenment thinkers questioned traditional ideas about government, challenging concepts like the divine right of kings. Instead, they emphasized individual rights that governments must respect and argued people should have a say in how they're governed. Many were Deists who believed in a deity but rejected organized religion, preferring to base morality on rational thinking.
Did you know? Many of America's Founding Fathers studied Enlightenment philosophy extensively, which directly influenced the Declaration of Independence and Constitution that shape our country today!

Thomas Hobbes had a pretty grim view of human nature. In his 1651 work Leviathan, he argued that people are naturally selfish and power-hungry. Without laws, Hobbes believed life would be "nasty, brutish, and short." His solution? Strong governments exist to protect people from their own worst instincts.
John Locke offered a more optimistic perspective in his Two Treatises of Government (1690). He believed governments should protect people's natural rights to "life, liberty, and property." Locke introduced the revolutionary idea of a social contract between citizens and government—if rulers failed to respect rights, people could overthrow them. This concept later appeared in the Declaration of Independence!
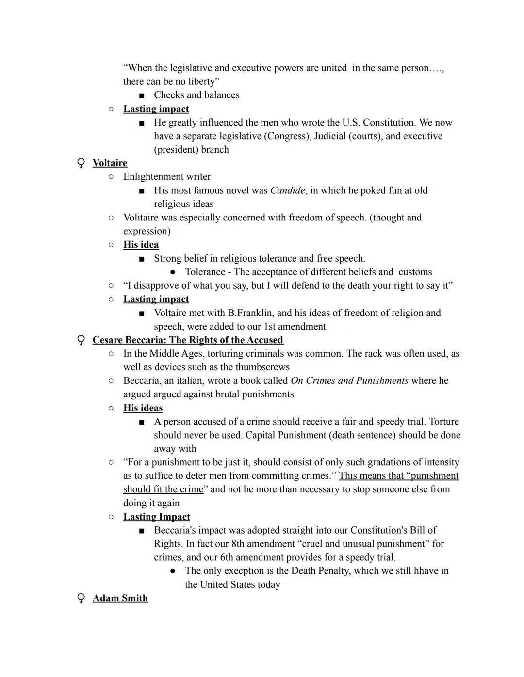
Baron de Montesquieu worried about preventing government abuse. In The Spirit of Laws (1748), he introduced the concept of separation of powers, dividing government into different branches to prevent any single group from becoming too powerful. He warned: "When legislative and executive powers are united in the same person... there can be no liberty."
Think about it: Our three-branch government system with checks and balances comes directly from Montesquieu's ideas. Next time you learn about the executive, legislative, and judicial branches, you're seeing Enlightenment philosophy in action!

Voltaire championed freedom of speech and religious tolerance like nobody else. In his famous novel Candide, he cleverly mocked outdated religious ideas. His commitment to free expression is captured in his famous quote: "I disapprove of what you say, but I will defend to the death your right to say it." Voltaire later met with Benjamin Franklin, and his ideas directly influenced our First Amendment rights!
Criminal justice needed serious reform, and Cesare Beccaria led the charge. In the Middle Ages, torture devices like the rack and thumbscrews were common. Beccaria's book On Crimes and Punishments argued for fair, speedy trials and opposed brutal punishments. His principle that "punishment should fit the crime" revolutionized justice systems.
Our Constitution's Sixth Amendment (right to speedy trial) and Eighth Amendment (prohibition against cruel punishment) directly reflect Beccaria's thinking. The only exception? The death penalty, which the U.S. still maintains despite Beccaria arguing against it.
Connect the dots: The next time you hear about constitutional rights for accused persons, remember these weren't always guaranteed—they came from Enlightenment thinkers who fought against centuries of brutal criminal justice practices.

Adam Smith revolutionized economics with his ideas about free markets. He advocated for laissez-faire economics (capitalism), where competition drives prosperity. Smith believed that as long as people can think, they can participate in the market. His vision went beyond just buying products—he understood that consumers purchase experiences too.
The Enlightenment dramatically influenced modern government, though change didn't happen overnight. In Europe, some monarchs became enlightened despots—rulers with absolute power who nevertheless applied Enlightenment principles. They abolished torture, established universities, and practiced religious tolerance, all while trying to keep their people satisfied without surrendering their authority.
These Enlightenment ideas eventually fueled revolutions in America and France. The movement's emphasis on reason, individual rights, and limits on government power created the foundation for democratic systems that continue to evolve today.
Make it relevant: Many political debates today—about free speech, religious freedom, criminal justice reform, and limits on government power—have their roots in these Enlightenment discussions from nearly 300 years ago!
Our AI companion is specifically built for the needs of students. Based on the millions of content pieces we have on the platform we can provide truly meaningful and relevant answers to students. But its not only about answers, the companion is even more about guiding students through their daily learning challenges, with personalised study plans, quizzes or content pieces in the chat and 100% personalisation based on the students skills and developments.
You can download the app in the Google Play Store and in the Apple App Store.
That's right! Enjoy free access to study content, connect with fellow students, and get instant help – all at your fingertips.
App Store
Google Play
The app is very easy to use and well designed. I have found everything I was looking for so far and have been able to learn a lot from the presentations! I will definitely use the app for a class assignment! And of course it also helps a lot as an inspiration.
Stefan S
iOS user
This app is really great. There are so many study notes and help [...]. My problem subject is French, for example, and the app has so many options for help. Thanks to this app, I have improved my French. I would recommend it to anyone.
Samantha Klich
Android user
Wow, I am really amazed. I just tried the app because I've seen it advertised many times and was absolutely stunned. This app is THE HELP you want for school and above all, it offers so many things, such as workouts and fact sheets, which have been VERY helpful to me personally.
Anna
iOS user
I think it’s very much worth it and you’ll end up using it a lot once you get the hang of it and even after looking at others notes you can still ask your Artificial intelligence buddy the question and ask to simplify it if you still don’t get it!!! In the end I think it’s worth it 😊👍 ⚠️Also DID I MENTION ITS FREEE YOU DON’T HAVE TO PAY FOR ANYTHING AND STILL GET YOUR GRADES IN PERFECTLY❗️❗️⚠️
Thomas R
iOS user
Knowunity is the BEST app I’ve used in a minute. This is not an ai review or anything this is genuinely coming from a 7th grade student (I know 2011 im young) but dude this app is a 10/10 i have maintained a 3.8 gpa and have plenty of time for gaming. I love it and my mom is just happy I got good grades
Brad T
Android user
Not only did it help me find the answer but it also showed me alternative ways to solve it. I was horrible in math and science but now I have an a in both subjects. Thanks for the help🤍🤍
David K
iOS user
The app's just great! All I have to do is enter the topic in the search bar and I get the response real fast. I don't have to watch 10 YouTube videos to understand something, so I'm saving my time. Highly recommended!
Sudenaz Ocak
Android user
In school I was really bad at maths but thanks to the app, I am doing better now. I am so grateful that you made the app.
Greenlight Bonnie
Android user
I found this app a couple years ago and it has only gotten better since then. I really love it because it can help with written questions and photo questions. Also, it can find study guides that other people have made as well as flashcard sets and practice tests. The free version is also amazing for students who might not be able to afford it. Would 100% recommend
Aubrey
iOS user
Best app if you're in Highschool or Junior high. I have been using this app for 2 school years and it's the best, it's good if you don't have anyone to help you with school work.😋🩷🎀
Marco B
iOS user
THE QUIZES AND FLASHCARDS ARE SO USEFUL AND I LOVE Knowunity AI. IT ALSO IS LITREALLY LIKE CHATGPT BUT SMARTER!! HELPED ME WITH MY MASCARA PROBLEMS TOO!! AS WELL AS MY REAL SUBJECTS ! DUHHH 😍😁😲🤑💗✨🎀😮
Elisha
iOS user
This app is phenomenal down to the correct info and the various topics you can study! I greatly recommend it for people who struggle with procrastination and those who need homework help. It has been perfectly accurate for world 1 history as far as I’ve seen! Geometry too!
Paul T
iOS user
The app is very easy to use and well designed. I have found everything I was looking for so far and have been able to learn a lot from the presentations! I will definitely use the app for a class assignment! And of course it also helps a lot as an inspiration.
Stefan S
iOS user
This app is really great. There are so many study notes and help [...]. My problem subject is French, for example, and the app has so many options for help. Thanks to this app, I have improved my French. I would recommend it to anyone.
Samantha Klich
Android user
Wow, I am really amazed. I just tried the app because I've seen it advertised many times and was absolutely stunned. This app is THE HELP you want for school and above all, it offers so many things, such as workouts and fact sheets, which have been VERY helpful to me personally.
Anna
iOS user
I think it’s very much worth it and you’ll end up using it a lot once you get the hang of it and even after looking at others notes you can still ask your Artificial intelligence buddy the question and ask to simplify it if you still don’t get it!!! In the end I think it’s worth it 😊👍 ⚠️Also DID I MENTION ITS FREEE YOU DON’T HAVE TO PAY FOR ANYTHING AND STILL GET YOUR GRADES IN PERFECTLY❗️❗️⚠️
Thomas R
iOS user
Knowunity is the BEST app I’ve used in a minute. This is not an ai review or anything this is genuinely coming from a 7th grade student (I know 2011 im young) but dude this app is a 10/10 i have maintained a 3.8 gpa and have plenty of time for gaming. I love it and my mom is just happy I got good grades
Brad T
Android user
Not only did it help me find the answer but it also showed me alternative ways to solve it. I was horrible in math and science but now I have an a in both subjects. Thanks for the help🤍🤍
David K
iOS user
The app's just great! All I have to do is enter the topic in the search bar and I get the response real fast. I don't have to watch 10 YouTube videos to understand something, so I'm saving my time. Highly recommended!
Sudenaz Ocak
Android user
In school I was really bad at maths but thanks to the app, I am doing better now. I am so grateful that you made the app.
Greenlight Bonnie
Android user
I found this app a couple years ago and it has only gotten better since then. I really love it because it can help with written questions and photo questions. Also, it can find study guides that other people have made as well as flashcard sets and practice tests. The free version is also amazing for students who might not be able to afford it. Would 100% recommend
Aubrey
iOS user
Best app if you're in Highschool or Junior high. I have been using this app for 2 school years and it's the best, it's good if you don't have anyone to help you with school work.😋🩷🎀
Marco B
iOS user
THE QUIZES AND FLASHCARDS ARE SO USEFUL AND I LOVE Knowunity AI. IT ALSO IS LITREALLY LIKE CHATGPT BUT SMARTER!! HELPED ME WITH MY MASCARA PROBLEMS TOO!! AS WELL AS MY REAL SUBJECTS ! DUHHH 😍😁😲🤑💗✨🎀😮
Elisha
iOS user
This app is phenomenal down to the correct info and the various topics you can study! I greatly recommend it for people who struggle with procrastination and those who need homework help. It has been perfectly accurate for world 1 history as far as I’ve seen! Geometry too!
Paul T
iOS user
The Enlightenment was an influential 18th-century intellectual movement that challenged traditional beliefs and championed reason and individual rights. Often called the "Age of Reason," this period saw philosophers develop revolutionary ideas about government, religion, and society that would later shape... Show more

Access to all documents
Improve your grades
Join milions of students
Ever wondered where the ideas behind the U.S. Constitution came from? The Enlightenment, an 18th-century movement, gave birth to many of them! This "Age of Reason" emerged from earlier movements like the Renaissance and Scientific Revolution, with thinkers applying scientific reasoning to solve problems in government and society.
In France, philosophers (called philosophes) gathered in informal meetings called salons, often organized by women. These lively gatherings became intellectual hotspots where ideas were debated and spread throughout society. The basic principle? Reject authority and think for yourself.
Enlightenment thinkers questioned traditional ideas about government, challenging concepts like the divine right of kings. Instead, they emphasized individual rights that governments must respect and argued people should have a say in how they're governed. Many were Deists who believed in a deity but rejected organized religion, preferring to base morality on rational thinking.
Did you know? Many of America's Founding Fathers studied Enlightenment philosophy extensively, which directly influenced the Declaration of Independence and Constitution that shape our country today!

Access to all documents
Improve your grades
Join milions of students
Thomas Hobbes had a pretty grim view of human nature. In his 1651 work Leviathan, he argued that people are naturally selfish and power-hungry. Without laws, Hobbes believed life would be "nasty, brutish, and short." His solution? Strong governments exist to protect people from their own worst instincts.
John Locke offered a more optimistic perspective in his Two Treatises of Government (1690). He believed governments should protect people's natural rights to "life, liberty, and property." Locke introduced the revolutionary idea of a social contract between citizens and government—if rulers failed to respect rights, people could overthrow them. This concept later appeared in the Declaration of Independence!
Baron de Montesquieu worried about preventing government abuse. In The Spirit of Laws (1748), he introduced the concept of separation of powers, dividing government into different branches to prevent any single group from becoming too powerful. He warned: "When legislative and executive powers are united in the same person... there can be no liberty."
Think about it: Our three-branch government system with checks and balances comes directly from Montesquieu's ideas. Next time you learn about the executive, legislative, and judicial branches, you're seeing Enlightenment philosophy in action!

Access to all documents
Improve your grades
Join milions of students
Voltaire championed freedom of speech and religious tolerance like nobody else. In his famous novel Candide, he cleverly mocked outdated religious ideas. His commitment to free expression is captured in his famous quote: "I disapprove of what you say, but I will defend to the death your right to say it." Voltaire later met with Benjamin Franklin, and his ideas directly influenced our First Amendment rights!
Criminal justice needed serious reform, and Cesare Beccaria led the charge. In the Middle Ages, torture devices like the rack and thumbscrews were common. Beccaria's book On Crimes and Punishments argued for fair, speedy trials and opposed brutal punishments. His principle that "punishment should fit the crime" revolutionized justice systems.
Our Constitution's Sixth Amendment (right to speedy trial) and Eighth Amendment (prohibition against cruel punishment) directly reflect Beccaria's thinking. The only exception? The death penalty, which the U.S. still maintains despite Beccaria arguing against it.
Connect the dots: The next time you hear about constitutional rights for accused persons, remember these weren't always guaranteed—they came from Enlightenment thinkers who fought against centuries of brutal criminal justice practices.

Access to all documents
Improve your grades
Join milions of students
Adam Smith revolutionized economics with his ideas about free markets. He advocated for laissez-faire economics (capitalism), where competition drives prosperity. Smith believed that as long as people can think, they can participate in the market. His vision went beyond just buying products—he understood that consumers purchase experiences too.
The Enlightenment dramatically influenced modern government, though change didn't happen overnight. In Europe, some monarchs became enlightened despots—rulers with absolute power who nevertheless applied Enlightenment principles. They abolished torture, established universities, and practiced religious tolerance, all while trying to keep their people satisfied without surrendering their authority.
These Enlightenment ideas eventually fueled revolutions in America and France. The movement's emphasis on reason, individual rights, and limits on government power created the foundation for democratic systems that continue to evolve today.
Make it relevant: Many political debates today—about free speech, religious freedom, criminal justice reform, and limits on government power—have their roots in these Enlightenment discussions from nearly 300 years ago!
Our AI companion is specifically built for the needs of students. Based on the millions of content pieces we have on the platform we can provide truly meaningful and relevant answers to students. But its not only about answers, the companion is even more about guiding students through their daily learning challenges, with personalised study plans, quizzes or content pieces in the chat and 100% personalisation based on the students skills and developments.
You can download the app in the Google Play Store and in the Apple App Store.
That's right! Enjoy free access to study content, connect with fellow students, and get instant help – all at your fingertips.
5
Smart Tools NEW
Transform this note into: ✓ 50+ Practice Questions ✓ Interactive Flashcards ✓ Full Practice Test ✓ Essay Outlines
Notes on the French Revolution
French Revolution and Napoleon
project about Voltaire
Vocabulary terms defined in chapter 8 of world history
Honors World Studies 9 French Revolution Notes Rise and Fall of Napoleon
This was a live lesson assignment that discussed the causes, events, and effects of the French Revolution.
App Store
Google Play
The app is very easy to use and well designed. I have found everything I was looking for so far and have been able to learn a lot from the presentations! I will definitely use the app for a class assignment! And of course it also helps a lot as an inspiration.
Stefan S
iOS user
This app is really great. There are so many study notes and help [...]. My problem subject is French, for example, and the app has so many options for help. Thanks to this app, I have improved my French. I would recommend it to anyone.
Samantha Klich
Android user
Wow, I am really amazed. I just tried the app because I've seen it advertised many times and was absolutely stunned. This app is THE HELP you want for school and above all, it offers so many things, such as workouts and fact sheets, which have been VERY helpful to me personally.
Anna
iOS user
I think it’s very much worth it and you’ll end up using it a lot once you get the hang of it and even after looking at others notes you can still ask your Artificial intelligence buddy the question and ask to simplify it if you still don’t get it!!! In the end I think it’s worth it 😊👍 ⚠️Also DID I MENTION ITS FREEE YOU DON’T HAVE TO PAY FOR ANYTHING AND STILL GET YOUR GRADES IN PERFECTLY❗️❗️⚠️
Thomas R
iOS user
Knowunity is the BEST app I’ve used in a minute. This is not an ai review or anything this is genuinely coming from a 7th grade student (I know 2011 im young) but dude this app is a 10/10 i have maintained a 3.8 gpa and have plenty of time for gaming. I love it and my mom is just happy I got good grades
Brad T
Android user
Not only did it help me find the answer but it also showed me alternative ways to solve it. I was horrible in math and science but now I have an a in both subjects. Thanks for the help🤍🤍
David K
iOS user
The app's just great! All I have to do is enter the topic in the search bar and I get the response real fast. I don't have to watch 10 YouTube videos to understand something, so I'm saving my time. Highly recommended!
Sudenaz Ocak
Android user
In school I was really bad at maths but thanks to the app, I am doing better now. I am so grateful that you made the app.
Greenlight Bonnie
Android user
I found this app a couple years ago and it has only gotten better since then. I really love it because it can help with written questions and photo questions. Also, it can find study guides that other people have made as well as flashcard sets and practice tests. The free version is also amazing for students who might not be able to afford it. Would 100% recommend
Aubrey
iOS user
Best app if you're in Highschool or Junior high. I have been using this app for 2 school years and it's the best, it's good if you don't have anyone to help you with school work.😋🩷🎀
Marco B
iOS user
THE QUIZES AND FLASHCARDS ARE SO USEFUL AND I LOVE Knowunity AI. IT ALSO IS LITREALLY LIKE CHATGPT BUT SMARTER!! HELPED ME WITH MY MASCARA PROBLEMS TOO!! AS WELL AS MY REAL SUBJECTS ! DUHHH 😍😁😲🤑💗✨🎀😮
Elisha
iOS user
This app is phenomenal down to the correct info and the various topics you can study! I greatly recommend it for people who struggle with procrastination and those who need homework help. It has been perfectly accurate for world 1 history as far as I’ve seen! Geometry too!
Paul T
iOS user
The app is very easy to use and well designed. I have found everything I was looking for so far and have been able to learn a lot from the presentations! I will definitely use the app for a class assignment! And of course it also helps a lot as an inspiration.
Stefan S
iOS user
This app is really great. There are so many study notes and help [...]. My problem subject is French, for example, and the app has so many options for help. Thanks to this app, I have improved my French. I would recommend it to anyone.
Samantha Klich
Android user
Wow, I am really amazed. I just tried the app because I've seen it advertised many times and was absolutely stunned. This app is THE HELP you want for school and above all, it offers so many things, such as workouts and fact sheets, which have been VERY helpful to me personally.
Anna
iOS user
I think it’s very much worth it and you’ll end up using it a lot once you get the hang of it and even after looking at others notes you can still ask your Artificial intelligence buddy the question and ask to simplify it if you still don’t get it!!! In the end I think it’s worth it 😊👍 ⚠️Also DID I MENTION ITS FREEE YOU DON’T HAVE TO PAY FOR ANYTHING AND STILL GET YOUR GRADES IN PERFECTLY❗️❗️⚠️
Thomas R
iOS user
Knowunity is the BEST app I’ve used in a minute. This is not an ai review or anything this is genuinely coming from a 7th grade student (I know 2011 im young) but dude this app is a 10/10 i have maintained a 3.8 gpa and have plenty of time for gaming. I love it and my mom is just happy I got good grades
Brad T
Android user
Not only did it help me find the answer but it also showed me alternative ways to solve it. I was horrible in math and science but now I have an a in both subjects. Thanks for the help🤍🤍
David K
iOS user
The app's just great! All I have to do is enter the topic in the search bar and I get the response real fast. I don't have to watch 10 YouTube videos to understand something, so I'm saving my time. Highly recommended!
Sudenaz Ocak
Android user
In school I was really bad at maths but thanks to the app, I am doing better now. I am so grateful that you made the app.
Greenlight Bonnie
Android user
I found this app a couple years ago and it has only gotten better since then. I really love it because it can help with written questions and photo questions. Also, it can find study guides that other people have made as well as flashcard sets and practice tests. The free version is also amazing for students who might not be able to afford it. Would 100% recommend
Aubrey
iOS user
Best app if you're in Highschool or Junior high. I have been using this app for 2 school years and it's the best, it's good if you don't have anyone to help you with school work.😋🩷🎀
Marco B
iOS user
THE QUIZES AND FLASHCARDS ARE SO USEFUL AND I LOVE Knowunity AI. IT ALSO IS LITREALLY LIKE CHATGPT BUT SMARTER!! HELPED ME WITH MY MASCARA PROBLEMS TOO!! AS WELL AS MY REAL SUBJECTS ! DUHHH 😍😁😲🤑💗✨🎀😮
Elisha
iOS user
This app is phenomenal down to the correct info and the various topics you can study! I greatly recommend it for people who struggle with procrastination and those who need homework help. It has been perfectly accurate for world 1 history as far as I’ve seen! Geometry too!
Paul T
iOS user