Radian and degree measure are essential concepts in precalculus that... Show more
Sign up to see the contentIt's free!
Access to all documents
Improve your grades
Join milions of students
Knowunity AI
Subjects
Triangle Congruence and Similarity Theorems
Triangle Properties and Classification
Linear Equations and Graphs
Geometric Angle Relationships
Trigonometric Functions and Identities
Equation Solving Techniques
Circle Geometry Fundamentals
Division Operations and Methods
Basic Differentiation Rules
Exponent and Logarithm Properties
Show all topics
Human Organ Systems
Reproductive Cell Cycles
Biological Sciences Subdisciplines
Cellular Energy Metabolism
Autotrophic Energy Processes
Inheritance Patterns and Principles
Biomolecular Structure and Organization
Cell Cycle and Division Mechanics
Cellular Organization and Development
Biological Structural Organization
Show all topics
Chemical Sciences and Applications
Atomic Structure and Composition
Molecular Electron Structure Representation
Atomic Electron Behavior
Matter Properties and Water
Mole Concept and Calculations
Gas Laws and Behavior
Periodic Table Organization
Chemical Thermodynamics Fundamentals
Chemical Bond Types and Properties
Show all topics
European Renaissance and Enlightenment
European Cultural Movements 800-1920
American Revolution Era 1763-1797
American Civil War 1861-1865
Global Imperial Systems
Mongol and Chinese Dynasties
U.S. Presidents and World Leaders
Historical Sources and Documentation
World Wars Era and Impact
World Religious Systems
Show all topics
Classic and Contemporary Novels
Literary Character Analysis
Rhetorical Theory and Practice
Classic Literary Narratives
Reading Analysis and Interpretation
Narrative Structure and Techniques
English Language Components
Influential English-Language Authors
Basic Sentence Structure
Narrative Voice and Perspective
Show all topics
128
•
Updated Feb 21, 2026
•
Radian and degree measure are essential concepts in precalculus that... Show more











Angles are formed when a ray rotates around its endpoint. Every angle has three key parts: the initial side (starting position), the terminal side (position after rotation), and the vertex (the endpoint where rotation occurs).
When we place an angle in the coordinate system with its vertex at the origin and initial side along the positive x-axis, it's in standard position. This standard placement makes it easier to analyze angles consistently.
Remember that angles have direction! A positive angle forms through counterclockwise rotation, while a negative angle forms through clockwise rotation. Angles are typically labeled using Greek letters like θ (theta) or α (alpha).
Quick Tip: Think of angle measurement like turning a steering wheel - counterclockwise is positive, clockwise is negative!

Radian measure connects angle size to the radius of a circle. While degrees might be more familiar, radians are especially important in calculus and higher math because they create a direct relationship between arc length and radius.
The key relationship to remember is that one complete circle (360°) equals 2π radians. This means that half a circle (180°) is π radians, and a quarter circle (90°) is π/2 radians.
When identifying where angles land, think about quadrants. For example, angles between 0° and 90° have their terminal side in Quadrant I, while angles between 90° and 180° end in Quadrant II.
Pro Tip: Quadrantal angles (those whose terminal sides fall directly on an axis) are especially important to memorize: 0, π/2, π, 3π/2, and 2π radians.

Radians help us connect circular motion with linear measurements. Instead of dividing a circle into 360 equal parts (degrees), radian measure relates directly to the circle's radius.
The most frequently used radian measures correspond to common angles:
Remember that quadrantal angles have their terminal side directly on an axis. In radians, these special angles are 0, π/2, π, 3π/2, and 2π. Being able to quickly identify these values will make trigonometry much easier!
Remember: When drawing angles in radian measure, visualize fractions of the circle. For example, π/4 is 1/8 of the full circle (which is 2π).

Converting between degrees and radians is straightforward once you know the key relationship: 180° = π radians.
To convert from degrees to radians:
To convert from radians to degrees:
The most common angle measures you should memorize are:
Conversion Shortcut: Think of π radians as 180° and divide both sides equally. For example, π/3 radians is 1/3 of 180°, which equals 60°.

Coterminal angles share the same initial and terminal sides, even though they have different measures. They're like different ways of describing the same final position!
To find coterminal angles:
For example, 110° has coterminal angles at 470° (add 360°), -250° (subtract 360°), and many others. In fact, there are infinitely many coterminal angles for any given angle.
In radian measure, finding coterminal angles works the same way. For example, to find a positive angle coterminal with 13π/6:
Visualization Tip: Think of coterminal angles as "wrapping around" the circle multiple times but ending at the same spot. Like different paths that lead to the same destination!

When working with angles in standard position, you'll often need to:
For example, to find a positive angle coterminal with -2π/3, add one full revolution (2π): -2π/3 + 2π = -2π/3 + 6π/3 = 4π/3
Identifying the quadrant of an angle helps with trigonometric calculations. For example, 9π/8 is between π (180°) and 3π/2 (270°), so it's in Quadrant III.
When converting measurements, always remember:
Practice Strategy: Sketch angles in standard position to visualize them better. This helps you understand where they lie and makes finding coterminal angles much easier!

Beyond basic degrees and radians, you'll sometimes encounter degrees, minutes, and seconds (DMS) notation, where:
Converting from DMS to decimal degrees:
Converting from decimal degrees to DMS:
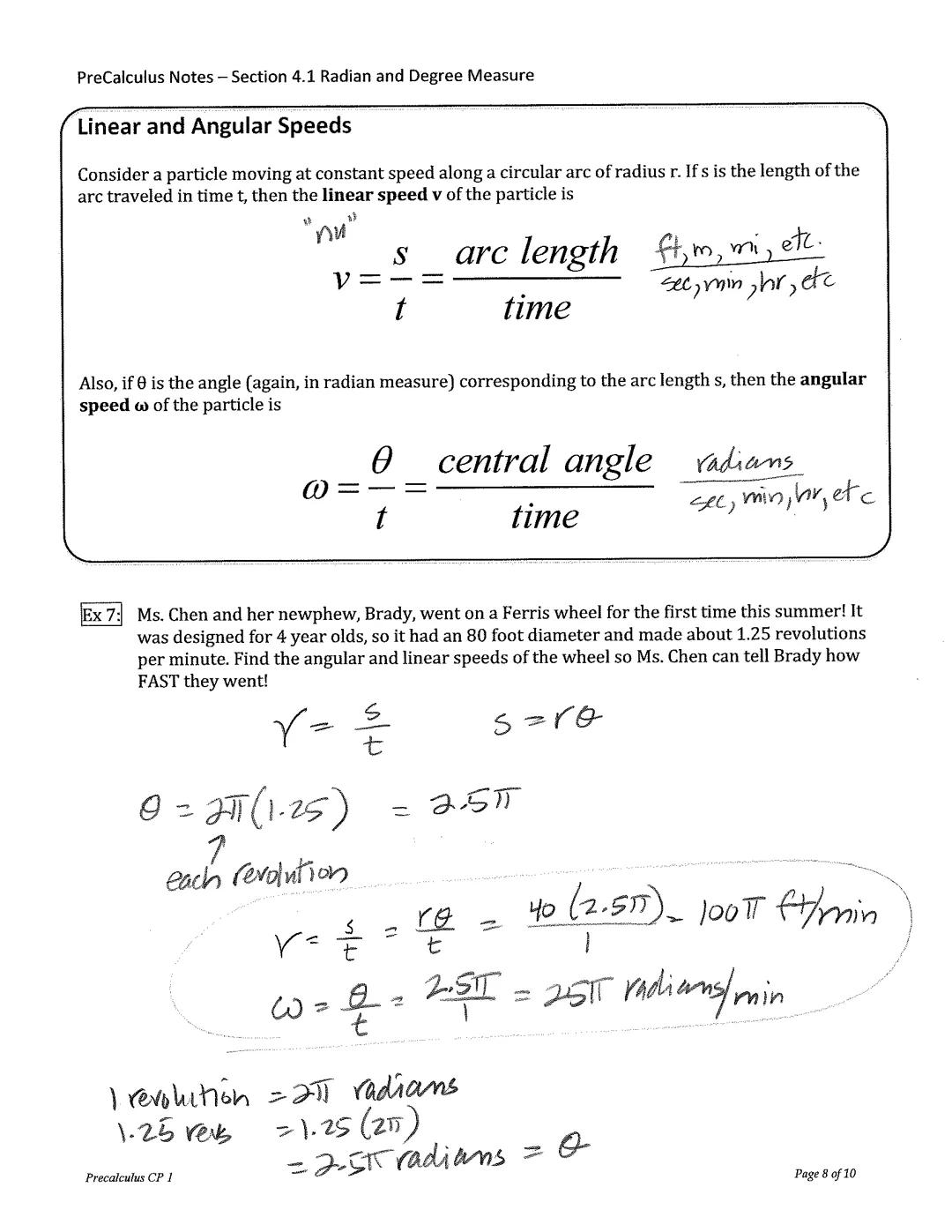
Arc length connects angles to distance along a circle. For a circle with radius r and central angle θ (in radians), the arc length is s = rθ. This formula only works when θ is in radians!
Real-world Connection: Arc length is used in everything from designing Ferris wheels to calculating how far a planet travels in its orbit during a specific time period.

When an object moves in a circular path, we can describe its motion in two ways:
These two measures are related by the formula: v = rω where r is the radius.
For example, on a Ferris wheel with a 40-foot radius making 1.25 revolutions per minute:
Understanding both types of speed helps you analyze circular motion in real situations, from carnival rides to engineering problems!
Think About It: On a spinning record, points farther from the center have the same angular speed but faster linear speed. That's why the outer edge of a record moves faster than points near the center!

A sector is like a "pizza slice" of a circle. For a circle with radius r and central angle θ (in radians), the area of the sector is:
A = ½r²θ
Remember that θ must be in radians for this formula to work! If you're given an angle in degrees, convert it to radians first.
For example, to find the area of a pizza sector with radius 8 inches and central angle 170°:
This formula has many real-world applications, from calculating land areas to determining material needed for circular sections.
Application Idea: The next time you share a pizza, you can calculate exactly how much pizza each person gets by finding the area of their slice!

Converting between measurement systems is a skill you'll use throughout precalculus and calculus:
Circular motion problems combine angular and linear concepts. For a carousel with a 50-foot diameter making 4 revolutions per minute:
These concepts apply to many real-world situations, from engineering (gears, wheels) to astronomy (planetary motion) and even to music (vinyl records).
Connecting Ideas: The relationship between linear and angular measurements is why radians are so useful in physics and engineering. When θ is in radians, the formula s = rθ directly connects the radius, angle, and arc length without needing any conversion factors!
Our AI companion is specifically built for the needs of students. Based on the millions of content pieces we have on the platform we can provide truly meaningful and relevant answers to students. But its not only about answers, the companion is even more about guiding students through their daily learning challenges, with personalised study plans, quizzes or content pieces in the chat and 100% personalisation based on the students skills and developments.
You can download the app in the Google Play Store and in the Apple App Store.
That's right! Enjoy free access to study content, connect with fellow students, and get instant help – all at your fingertips.
App Store
Google Play
The app is very easy to use and well designed. I have found everything I was looking for so far and have been able to learn a lot from the presentations! I will definitely use the app for a class assignment! And of course it also helps a lot as an inspiration.
Stefan S
iOS user
This app is really great. There are so many study notes and help [...]. My problem subject is French, for example, and the app has so many options for help. Thanks to this app, I have improved my French. I would recommend it to anyone.
Samantha Klich
Android user
Wow, I am really amazed. I just tried the app because I've seen it advertised many times and was absolutely stunned. This app is THE HELP you want for school and above all, it offers so many things, such as workouts and fact sheets, which have been VERY helpful to me personally.
Anna
iOS user
I think it’s very much worth it and you’ll end up using it a lot once you get the hang of it and even after looking at others notes you can still ask your Artificial intelligence buddy the question and ask to simplify it if you still don’t get it!!! In the end I think it’s worth it 😊👍 ⚠️Also DID I MENTION ITS FREEE YOU DON’T HAVE TO PAY FOR ANYTHING AND STILL GET YOUR GRADES IN PERFECTLY❗️❗️⚠️
Thomas R
iOS user
Knowunity is the BEST app I’ve used in a minute. This is not an ai review or anything this is genuinely coming from a 7th grade student (I know 2011 im young) but dude this app is a 10/10 i have maintained a 3.8 gpa and have plenty of time for gaming. I love it and my mom is just happy I got good grades
Brad T
Android user
Not only did it help me find the answer but it also showed me alternative ways to solve it. I was horrible in math and science but now I have an a in both subjects. Thanks for the help🤍🤍
David K
iOS user
The app's just great! All I have to do is enter the topic in the search bar and I get the response real fast. I don't have to watch 10 YouTube videos to understand something, so I'm saving my time. Highly recommended!
Sudenaz Ocak
Android user
In school I was really bad at maths but thanks to the app, I am doing better now. I am so grateful that you made the app.
Greenlight Bonnie
Android user
I found this app a couple years ago and it has only gotten better since then. I really love it because it can help with written questions and photo questions. Also, it can find study guides that other people have made as well as flashcard sets and practice tests. The free version is also amazing for students who might not be able to afford it. Would 100% recommend
Aubrey
iOS user
Best app if you're in Highschool or Junior high. I have been using this app for 2 school years and it's the best, it's good if you don't have anyone to help you with school work.😋🩷🎀
Marco B
iOS user
THE QUIZES AND FLASHCARDS ARE SO USEFUL AND I LOVE Knowunity AI. IT ALSO IS LITREALLY LIKE CHATGPT BUT SMARTER!! HELPED ME WITH MY MASCARA PROBLEMS TOO!! AS WELL AS MY REAL SUBJECTS ! DUHHH 😍😁😲🤑💗✨🎀😮
Elisha
iOS user
This app is phenomenal down to the correct info and the various topics you can study! I greatly recommend it for people who struggle with procrastination and those who need homework help. It has been perfectly accurate for world 1 history as far as I’ve seen! Geometry too!
Paul T
iOS user
The app is very easy to use and well designed. I have found everything I was looking for so far and have been able to learn a lot from the presentations! I will definitely use the app for a class assignment! And of course it also helps a lot as an inspiration.
Stefan S
iOS user
This app is really great. There are so many study notes and help [...]. My problem subject is French, for example, and the app has so many options for help. Thanks to this app, I have improved my French. I would recommend it to anyone.
Samantha Klich
Android user
Wow, I am really amazed. I just tried the app because I've seen it advertised many times and was absolutely stunned. This app is THE HELP you want for school and above all, it offers so many things, such as workouts and fact sheets, which have been VERY helpful to me personally.
Anna
iOS user
I think it’s very much worth it and you’ll end up using it a lot once you get the hang of it and even after looking at others notes you can still ask your Artificial intelligence buddy the question and ask to simplify it if you still don’t get it!!! In the end I think it’s worth it 😊👍 ⚠️Also DID I MENTION ITS FREEE YOU DON’T HAVE TO PAY FOR ANYTHING AND STILL GET YOUR GRADES IN PERFECTLY❗️❗️⚠️
Thomas R
iOS user
Knowunity is the BEST app I’ve used in a minute. This is not an ai review or anything this is genuinely coming from a 7th grade student (I know 2011 im young) but dude this app is a 10/10 i have maintained a 3.8 gpa and have plenty of time for gaming. I love it and my mom is just happy I got good grades
Brad T
Android user
Not only did it help me find the answer but it also showed me alternative ways to solve it. I was horrible in math and science but now I have an a in both subjects. Thanks for the help🤍🤍
David K
iOS user
The app's just great! All I have to do is enter the topic in the search bar and I get the response real fast. I don't have to watch 10 YouTube videos to understand something, so I'm saving my time. Highly recommended!
Sudenaz Ocak
Android user
In school I was really bad at maths but thanks to the app, I am doing better now. I am so grateful that you made the app.
Greenlight Bonnie
Android user
I found this app a couple years ago and it has only gotten better since then. I really love it because it can help with written questions and photo questions. Also, it can find study guides that other people have made as well as flashcard sets and practice tests. The free version is also amazing for students who might not be able to afford it. Would 100% recommend
Aubrey
iOS user
Best app if you're in Highschool or Junior high. I have been using this app for 2 school years and it's the best, it's good if you don't have anyone to help you with school work.😋🩷🎀
Marco B
iOS user
THE QUIZES AND FLASHCARDS ARE SO USEFUL AND I LOVE Knowunity AI. IT ALSO IS LITREALLY LIKE CHATGPT BUT SMARTER!! HELPED ME WITH MY MASCARA PROBLEMS TOO!! AS WELL AS MY REAL SUBJECTS ! DUHHH 😍😁😲🤑💗✨🎀😮
Elisha
iOS user
This app is phenomenal down to the correct info and the various topics you can study! I greatly recommend it for people who struggle with procrastination and those who need homework help. It has been perfectly accurate for world 1 history as far as I’ve seen! Geometry too!
Paul T
iOS user
Radian and degree measure are essential concepts in precalculus that help us understand angles in different ways. These measurements connect circular motion to linear distance and are fundamental for trigonometry and calculus applications. Understanding how to work with both systems... Show more

Access to all documents
Improve your grades
Join milions of students
Angles are formed when a ray rotates around its endpoint. Every angle has three key parts: the initial side (starting position), the terminal side (position after rotation), and the vertex (the endpoint where rotation occurs).
When we place an angle in the coordinate system with its vertex at the origin and initial side along the positive x-axis, it's in standard position. This standard placement makes it easier to analyze angles consistently.
Remember that angles have direction! A positive angle forms through counterclockwise rotation, while a negative angle forms through clockwise rotation. Angles are typically labeled using Greek letters like θ (theta) or α (alpha).
Quick Tip: Think of angle measurement like turning a steering wheel - counterclockwise is positive, clockwise is negative!

Access to all documents
Improve your grades
Join milions of students
Radian measure connects angle size to the radius of a circle. While degrees might be more familiar, radians are especially important in calculus and higher math because they create a direct relationship between arc length and radius.
The key relationship to remember is that one complete circle (360°) equals 2π radians. This means that half a circle (180°) is π radians, and a quarter circle (90°) is π/2 radians.
When identifying where angles land, think about quadrants. For example, angles between 0° and 90° have their terminal side in Quadrant I, while angles between 90° and 180° end in Quadrant II.
Pro Tip: Quadrantal angles (those whose terminal sides fall directly on an axis) are especially important to memorize: 0, π/2, π, 3π/2, and 2π radians.

Access to all documents
Improve your grades
Join milions of students
Radians help us connect circular motion with linear measurements. Instead of dividing a circle into 360 equal parts (degrees), radian measure relates directly to the circle's radius.
The most frequently used radian measures correspond to common angles:
Remember that quadrantal angles have their terminal side directly on an axis. In radians, these special angles are 0, π/2, π, 3π/2, and 2π. Being able to quickly identify these values will make trigonometry much easier!
Remember: When drawing angles in radian measure, visualize fractions of the circle. For example, π/4 is 1/8 of the full circle (which is 2π).

Access to all documents
Improve your grades
Join milions of students
Converting between degrees and radians is straightforward once you know the key relationship: 180° = π radians.
To convert from degrees to radians:
To convert from radians to degrees:
The most common angle measures you should memorize are:
Conversion Shortcut: Think of π radians as 180° and divide both sides equally. For example, π/3 radians is 1/3 of 180°, which equals 60°.

Access to all documents
Improve your grades
Join milions of students
Coterminal angles share the same initial and terminal sides, even though they have different measures. They're like different ways of describing the same final position!
To find coterminal angles:
For example, 110° has coterminal angles at 470° (add 360°), -250° (subtract 360°), and many others. In fact, there are infinitely many coterminal angles for any given angle.
In radian measure, finding coterminal angles works the same way. For example, to find a positive angle coterminal with 13π/6:
Visualization Tip: Think of coterminal angles as "wrapping around" the circle multiple times but ending at the same spot. Like different paths that lead to the same destination!

Access to all documents
Improve your grades
Join milions of students
When working with angles in standard position, you'll often need to:
For example, to find a positive angle coterminal with -2π/3, add one full revolution (2π): -2π/3 + 2π = -2π/3 + 6π/3 = 4π/3
Identifying the quadrant of an angle helps with trigonometric calculations. For example, 9π/8 is between π (180°) and 3π/2 (270°), so it's in Quadrant III.
When converting measurements, always remember:
Practice Strategy: Sketch angles in standard position to visualize them better. This helps you understand where they lie and makes finding coterminal angles much easier!

Access to all documents
Improve your grades
Join milions of students
Beyond basic degrees and radians, you'll sometimes encounter degrees, minutes, and seconds (DMS) notation, where:
Converting from DMS to decimal degrees:
Converting from decimal degrees to DMS:
Arc length connects angles to distance along a circle. For a circle with radius r and central angle θ (in radians), the arc length is s = rθ. This formula only works when θ is in radians!
Real-world Connection: Arc length is used in everything from designing Ferris wheels to calculating how far a planet travels in its orbit during a specific time period.

Access to all documents
Improve your grades
Join milions of students
When an object moves in a circular path, we can describe its motion in two ways:
These two measures are related by the formula: v = rω where r is the radius.
For example, on a Ferris wheel with a 40-foot radius making 1.25 revolutions per minute:
Understanding both types of speed helps you analyze circular motion in real situations, from carnival rides to engineering problems!
Think About It: On a spinning record, points farther from the center have the same angular speed but faster linear speed. That's why the outer edge of a record moves faster than points near the center!

Access to all documents
Improve your grades
Join milions of students
A sector is like a "pizza slice" of a circle. For a circle with radius r and central angle θ (in radians), the area of the sector is:
A = ½r²θ
Remember that θ must be in radians for this formula to work! If you're given an angle in degrees, convert it to radians first.
For example, to find the area of a pizza sector with radius 8 inches and central angle 170°:
This formula has many real-world applications, from calculating land areas to determining material needed for circular sections.
Application Idea: The next time you share a pizza, you can calculate exactly how much pizza each person gets by finding the area of their slice!

Access to all documents
Improve your grades
Join milions of students
Converting between measurement systems is a skill you'll use throughout precalculus and calculus:
Circular motion problems combine angular and linear concepts. For a carousel with a 50-foot diameter making 4 revolutions per minute:
These concepts apply to many real-world situations, from engineering (gears, wheels) to astronomy (planetary motion) and even to music (vinyl records).
Connecting Ideas: The relationship between linear and angular measurements is why radians are so useful in physics and engineering. When θ is in radians, the formula s = rθ directly connects the radius, angle, and arc length without needing any conversion factors!
Our AI companion is specifically built for the needs of students. Based on the millions of content pieces we have on the platform we can provide truly meaningful and relevant answers to students. But its not only about answers, the companion is even more about guiding students through their daily learning challenges, with personalised study plans, quizzes or content pieces in the chat and 100% personalisation based on the students skills and developments.
You can download the app in the Google Play Store and in the Apple App Store.
That's right! Enjoy free access to study content, connect with fellow students, and get instant help – all at your fingertips.
3
Smart Tools NEW
Transform this note into: ✓ 50+ Practice Questions ✓ Interactive Flashcards ✓ Full Practice Test ✓ Essay Outlines
App Store
Google Play
The app is very easy to use and well designed. I have found everything I was looking for so far and have been able to learn a lot from the presentations! I will definitely use the app for a class assignment! And of course it also helps a lot as an inspiration.
Stefan S
iOS user
This app is really great. There are so many study notes and help [...]. My problem subject is French, for example, and the app has so many options for help. Thanks to this app, I have improved my French. I would recommend it to anyone.
Samantha Klich
Android user
Wow, I am really amazed. I just tried the app because I've seen it advertised many times and was absolutely stunned. This app is THE HELP you want for school and above all, it offers so many things, such as workouts and fact sheets, which have been VERY helpful to me personally.
Anna
iOS user
I think it’s very much worth it and you’ll end up using it a lot once you get the hang of it and even after looking at others notes you can still ask your Artificial intelligence buddy the question and ask to simplify it if you still don’t get it!!! In the end I think it’s worth it 😊👍 ⚠️Also DID I MENTION ITS FREEE YOU DON’T HAVE TO PAY FOR ANYTHING AND STILL GET YOUR GRADES IN PERFECTLY❗️❗️⚠️
Thomas R
iOS user
Knowunity is the BEST app I’ve used in a minute. This is not an ai review or anything this is genuinely coming from a 7th grade student (I know 2011 im young) but dude this app is a 10/10 i have maintained a 3.8 gpa and have plenty of time for gaming. I love it and my mom is just happy I got good grades
Brad T
Android user
Not only did it help me find the answer but it also showed me alternative ways to solve it. I was horrible in math and science but now I have an a in both subjects. Thanks for the help🤍🤍
David K
iOS user
The app's just great! All I have to do is enter the topic in the search bar and I get the response real fast. I don't have to watch 10 YouTube videos to understand something, so I'm saving my time. Highly recommended!
Sudenaz Ocak
Android user
In school I was really bad at maths but thanks to the app, I am doing better now. I am so grateful that you made the app.
Greenlight Bonnie
Android user
I found this app a couple years ago and it has only gotten better since then. I really love it because it can help with written questions and photo questions. Also, it can find study guides that other people have made as well as flashcard sets and practice tests. The free version is also amazing for students who might not be able to afford it. Would 100% recommend
Aubrey
iOS user
Best app if you're in Highschool or Junior high. I have been using this app for 2 school years and it's the best, it's good if you don't have anyone to help you with school work.😋🩷🎀
Marco B
iOS user
THE QUIZES AND FLASHCARDS ARE SO USEFUL AND I LOVE Knowunity AI. IT ALSO IS LITREALLY LIKE CHATGPT BUT SMARTER!! HELPED ME WITH MY MASCARA PROBLEMS TOO!! AS WELL AS MY REAL SUBJECTS ! DUHHH 😍😁😲🤑💗✨🎀😮
Elisha
iOS user
This app is phenomenal down to the correct info and the various topics you can study! I greatly recommend it for people who struggle with procrastination and those who need homework help. It has been perfectly accurate for world 1 history as far as I’ve seen! Geometry too!
Paul T
iOS user
The app is very easy to use and well designed. I have found everything I was looking for so far and have been able to learn a lot from the presentations! I will definitely use the app for a class assignment! And of course it also helps a lot as an inspiration.
Stefan S
iOS user
This app is really great. There are so many study notes and help [...]. My problem subject is French, for example, and the app has so many options for help. Thanks to this app, I have improved my French. I would recommend it to anyone.
Samantha Klich
Android user
Wow, I am really amazed. I just tried the app because I've seen it advertised many times and was absolutely stunned. This app is THE HELP you want for school and above all, it offers so many things, such as workouts and fact sheets, which have been VERY helpful to me personally.
Anna
iOS user
I think it’s very much worth it and you’ll end up using it a lot once you get the hang of it and even after looking at others notes you can still ask your Artificial intelligence buddy the question and ask to simplify it if you still don’t get it!!! In the end I think it’s worth it 😊👍 ⚠️Also DID I MENTION ITS FREEE YOU DON’T HAVE TO PAY FOR ANYTHING AND STILL GET YOUR GRADES IN PERFECTLY❗️❗️⚠️
Thomas R
iOS user
Knowunity is the BEST app I’ve used in a minute. This is not an ai review or anything this is genuinely coming from a 7th grade student (I know 2011 im young) but dude this app is a 10/10 i have maintained a 3.8 gpa and have plenty of time for gaming. I love it and my mom is just happy I got good grades
Brad T
Android user
Not only did it help me find the answer but it also showed me alternative ways to solve it. I was horrible in math and science but now I have an a in both subjects. Thanks for the help🤍🤍
David K
iOS user
The app's just great! All I have to do is enter the topic in the search bar and I get the response real fast. I don't have to watch 10 YouTube videos to understand something, so I'm saving my time. Highly recommended!
Sudenaz Ocak
Android user
In school I was really bad at maths but thanks to the app, I am doing better now. I am so grateful that you made the app.
Greenlight Bonnie
Android user
I found this app a couple years ago and it has only gotten better since then. I really love it because it can help with written questions and photo questions. Also, it can find study guides that other people have made as well as flashcard sets and practice tests. The free version is also amazing for students who might not be able to afford it. Would 100% recommend
Aubrey
iOS user
Best app if you're in Highschool or Junior high. I have been using this app for 2 school years and it's the best, it's good if you don't have anyone to help you with school work.😋🩷🎀
Marco B
iOS user
THE QUIZES AND FLASHCARDS ARE SO USEFUL AND I LOVE Knowunity AI. IT ALSO IS LITREALLY LIKE CHATGPT BUT SMARTER!! HELPED ME WITH MY MASCARA PROBLEMS TOO!! AS WELL AS MY REAL SUBJECTS ! DUHHH 😍😁😲🤑💗✨🎀😮
Elisha
iOS user
This app is phenomenal down to the correct info and the various topics you can study! I greatly recommend it for people who struggle with procrastination and those who need homework help. It has been perfectly accurate for world 1 history as far as I’ve seen! Geometry too!
Paul T
iOS user