Ready to master the twelve basic functions that are essential... Show more
Sign up to see the contentIt's free!
Access to all documents
Improve your grades
Join milions of students
Knowunity AI
Subjects
Triangle Congruence and Similarity Theorems
Triangle Properties and Classification
Linear Equations and Graphs
Geometric Angle Relationships
Trigonometric Functions and Identities
Equation Solving Techniques
Circle Geometry Fundamentals
Division Operations and Methods
Basic Differentiation Rules
Exponent and Logarithm Properties
Show all topics
Human Organ Systems
Reproductive Cell Cycles
Biological Sciences Subdisciplines
Cellular Energy Metabolism
Autotrophic Energy Processes
Inheritance Patterns and Principles
Biomolecular Structure and Organization
Cell Cycle and Division Mechanics
Cellular Organization and Development
Biological Structural Organization
Show all topics
Chemical Sciences and Applications
Atomic Structure and Composition
Molecular Electron Structure Representation
Atomic Electron Behavior
Matter Properties and Water
Mole Concept and Calculations
Gas Laws and Behavior
Periodic Table Organization
Chemical Thermodynamics Fundamentals
Chemical Bond Types and Properties
Show all topics
European Renaissance and Enlightenment
European Cultural Movements 800-1920
American Revolution Era 1763-1797
American Civil War 1861-1865
Global Imperial Systems
Mongol and Chinese Dynasties
U.S. Presidents and World Leaders
Historical Sources and Documentation
World Wars Era and Impact
World Religious Systems
Show all topics
Classic and Contemporary Novels
Literary Character Analysis
Rhetorical Theory and Practice
Classic Literary Narratives
Reading Analysis and Interpretation
Narrative Structure and Techniques
English Language Components
Influential English-Language Authors
Basic Sentence Structure
Narrative Voice and Perspective
Show all topics
67
•
Updated Feb 21, 2026
•
Jasper Ngokwere
@jasperngokwere_eenm
Ready to master the twelve basic functions that are essential... Show more







Ever wondered why some functions are considered "basic" in math? These twelve functions form the foundation of more complex mathematics. Let's explore their essential characteristics!
Each function has specific properties that make it unique. For the identity function , the input equals the output, creating a straight line through the origin with domain and range of all real numbers. The squaring function creates that familiar U-shaped parabola, while the exponential function grows increasingly rapidly.
Some functions have interesting behaviors at their edges. The natural logarithm function (ln(x)) has a vertical asymptote at x = 0, meaning it approaches negative infinity as x approaches zero. The reciprocal function has both horizontal and vertical asymptotes, creating a hyperbola.
Functions like sine and cosine oscillate between -1 and 1, creating those wave patterns you see everywhere from sound waves to electricity. The greatest integer function creates a staircase pattern because it rounds down to the nearest integer.
💡 Quick Tip: Pay attention to each function's domain, range, and symmetry. These properties will help you recognize the functions and sketch them quickly on tests!

The Greatest Integer Function is a bit tricky but super useful! It rounds numbers down to the nearest integer. Your textbook notation is int(x), but you might also see it as [x] in other materials.
Think of the Greatest Integer Function as always rounding down, no matter how close a number is to the next integer. For example, int(3.999) = 3, and int(4.001) = 4. With negative numbers, you still round down, so int(-2.1) = -3 . When graphed, this function creates a staircase pattern with open circles at one end of each "step."
Building composite functions means plugging one function into another. If f(x) = 2x-3 and you're asked to find f(2), simply replace x with 2: f(2) = 2(2)-3 = 4-3 = 1. For something like f, substitute 3x-1 wherever you see x: f = 2-3 = 6x-2-3 = 6x-5.
When working with two different functions like f(z) = -z + 4 and h(z) = 2z, finding f(h(3)) means you first calculate h(3) = 2(3) = 6, then find f(6) = -6 + 4 = -2. We write this as (f∘h)(3) = -2, which is read as "f composed with h of 3."
🔑 Remember: Always work from inside the parentheses outward! The innermost function gets evaluated first, then its result becomes the input for the outer function.

Composition functions might look intimidating, but they're actually just functions working together! When we write (f∘g)(x), we're simply saying "apply function g first, then apply function f to that result."
Let's see how this works. If f(x) = x + 1 and g(x) = x², then f(g(x)) means f(x²) = x² + 1. We've just created a new function by composition! Similarly, if f(x) = 3x + 5 and g(x) = x - 2, then (f∘g)(x) = f(g(x)) = f = 3 + 5 = 3x - 6 + 5 = 3x - 1.
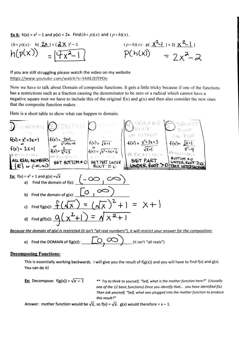
Notice that (f∘g)(x) and (g∘f)(x) usually give different results. For example, with h(x) = x² - 1 and p(x) = 2x, we get (h∘p)(x) = h(p(x)) = h(2x) = (2x)² - 1 = 4x² - 1, while (p∘h)(x) = p(h(x)) = p = 2 = 2x² - 2. The order matters!
When finding domains of composite functions, you need to consider two things: the domain of the inner function AND what values from that domain will work in the outer function. This gets especially important with fractions (where denominators can't be zero) and square roots (where expressions under the radical can't be negative).
🧠 Pro Tip: To find the domain of f(g(x)), first identify what values of x work in g(x), then check which of those outputs from g will work as inputs for f(x). The final domain is the intersection of these constraints.

Finding domains of composite functions requires careful attention to restrictions. Different types of functions have different domain limitations that you need to watch for.
Polynomial functions have domains of all real numbers, but fractions require that denominators never equal zero. Square roots need whatever is inside the radical to be non-negative. When functions are combined, you need to check all restrictions from both functions.
For example, if f(x) = x² + 1 and g(x) = √x, then the domain of g(x) is [0,∞) because you can't take the square root of a negative number. When finding f(g(x)) = (√x)² + 1 = x + 1, the domain is still [0,∞) because that's what g(x) requires as input.
Decomposing functions means working backward from a composite function to find its components. When given f(g(x)), you need to identify what the "mother function" f(x) is, and then determine what was plugged into it (g(x)). For example, if f(g(x)) = √x - 1, the mother function might be f(x) = √x, and g(x) = x - 1.
There's often more than one correct way to decompose a function. For f(g(x)) = 2/, you might identify f(x) = 2/x as the mother function, making g(x) = 3x+1. This is like detective work - you're looking for clues about what operations were performed in what order.
💡 Quick Check: To verify your decomposition, plug g(x) into f(x) and make sure you get the original composite function. If f(x) = 2/x and g(x) = 3x+1, then f(g(x)) = 2/, which matches!

Inverse functions essentially "undo" what the original function does. If a function takes x to y, its inverse takes y back to x. But not all functions have inverses!
How can you tell if a function has an inverse? Use the horizontal line test. If any horizontal line intersects your function's graph more than once, the function doesn't have an inverse. This makes sense because an inverse function needs to "know" exactly which x-value to return to, with no ambiguity.
A one-to-one function passes both the vertical line test (making it a function) and the horizontal line test (meaning it has an inverse). Functions that fail the horizontal line test, like y = x², don't have inverses because multiple inputs give the same output .
To find an inverse algebraically, follow these steps: Replace f(x) with y, swap x and y, solve for y, and then replace y with f⁻¹(x). For example, to find the inverse of f(x) = /x:
⚡ Power Move: When graphing a function and its inverse, they're always reflections of each other across the line y = x. This is a great way to check if you've found the correct inverse!

Now it's time to put your skills to work with some practice problems! Working through these examples will help cement your understanding of composite functions.
When computing composite functions like f, always work from the inside out. First calculate g(-3) = 3(-3) = -9, then find f(-9) = 2(-9) - 1 = -18 - 1 = -19. For more complex compositions like f(g(h(2))), work step by step: h(2) = 2² + 1 = 5, then g(5) = 3(5) = 15, and finally f(15) = 2(15) - 1 = 30 - 1 = 29.
Composite functions can also involve expressions rather than specific values. For f, substitute x + 1 wherever you see x in the original function: f = 2 - 1 = 2x + 2 - 1 = 2x + 1. Similarly, h = ² + 1 = x² - 4x + 4 + 1 = x² - 4x + 5.
When finding composite functions with algebraic expressions like f(g(x)), substitute the entire g(x) expression wherever x appears in f(x). If f(x) = -3x + 7 and g(x) = 2x² - 8, then f(g(x)) = -3 + 7 = -6x² + 24 + 7 = -6x² + 31.
🏆 Challenge Yourself: Try making up your own composite function problems and solving them. The more practice you get, the more confident you'll feel on tests!
Our AI companion is specifically built for the needs of students. Based on the millions of content pieces we have on the platform we can provide truly meaningful and relevant answers to students. But its not only about answers, the companion is even more about guiding students through their daily learning challenges, with personalised study plans, quizzes or content pieces in the chat and 100% personalisation based on the students skills and developments.
You can download the app in the Google Play Store and in the Apple App Store.
That's right! Enjoy free access to study content, connect with fellow students, and get instant help – all at your fingertips.
App Store
Google Play
The app is very easy to use and well designed. I have found everything I was looking for so far and have been able to learn a lot from the presentations! I will definitely use the app for a class assignment! And of course it also helps a lot as an inspiration.
Stefan S
iOS user
This app is really great. There are so many study notes and help [...]. My problem subject is French, for example, and the app has so many options for help. Thanks to this app, I have improved my French. I would recommend it to anyone.
Samantha Klich
Android user
Wow, I am really amazed. I just tried the app because I've seen it advertised many times and was absolutely stunned. This app is THE HELP you want for school and above all, it offers so many things, such as workouts and fact sheets, which have been VERY helpful to me personally.
Anna
iOS user
I think it’s very much worth it and you’ll end up using it a lot once you get the hang of it and even after looking at others notes you can still ask your Artificial intelligence buddy the question and ask to simplify it if you still don’t get it!!! In the end I think it’s worth it 😊👍 ⚠️Also DID I MENTION ITS FREEE YOU DON’T HAVE TO PAY FOR ANYTHING AND STILL GET YOUR GRADES IN PERFECTLY❗️❗️⚠️
Thomas R
iOS user
Knowunity is the BEST app I’ve used in a minute. This is not an ai review or anything this is genuinely coming from a 7th grade student (I know 2011 im young) but dude this app is a 10/10 i have maintained a 3.8 gpa and have plenty of time for gaming. I love it and my mom is just happy I got good grades
Brad T
Android user
Not only did it help me find the answer but it also showed me alternative ways to solve it. I was horrible in math and science but now I have an a in both subjects. Thanks for the help🤍🤍
David K
iOS user
The app's just great! All I have to do is enter the topic in the search bar and I get the response real fast. I don't have to watch 10 YouTube videos to understand something, so I'm saving my time. Highly recommended!
Sudenaz Ocak
Android user
In school I was really bad at maths but thanks to the app, I am doing better now. I am so grateful that you made the app.
Greenlight Bonnie
Android user
I found this app a couple years ago and it has only gotten better since then. I really love it because it can help with written questions and photo questions. Also, it can find study guides that other people have made as well as flashcard sets and practice tests. The free version is also amazing for students who might not be able to afford it. Would 100% recommend
Aubrey
iOS user
Best app if you're in Highschool or Junior high. I have been using this app for 2 school years and it's the best, it's good if you don't have anyone to help you with school work.😋🩷🎀
Marco B
iOS user
THE QUIZES AND FLASHCARDS ARE SO USEFUL AND I LOVE Knowunity AI. IT ALSO IS LITREALLY LIKE CHATGPT BUT SMARTER!! HELPED ME WITH MY MASCARA PROBLEMS TOO!! AS WELL AS MY REAL SUBJECTS ! DUHHH 😍😁😲🤑💗✨🎀😮
Elisha
iOS user
This app is phenomenal down to the correct info and the various topics you can study! I greatly recommend it for people who struggle with procrastination and those who need homework help. It has been perfectly accurate for world 1 history as far as I’ve seen! Geometry too!
Paul T
iOS user
The app is very easy to use and well designed. I have found everything I was looking for so far and have been able to learn a lot from the presentations! I will definitely use the app for a class assignment! And of course it also helps a lot as an inspiration.
Stefan S
iOS user
This app is really great. There are so many study notes and help [...]. My problem subject is French, for example, and the app has so many options for help. Thanks to this app, I have improved my French. I would recommend it to anyone.
Samantha Klich
Android user
Wow, I am really amazed. I just tried the app because I've seen it advertised many times and was absolutely stunned. This app is THE HELP you want for school and above all, it offers so many things, such as workouts and fact sheets, which have been VERY helpful to me personally.
Anna
iOS user
I think it’s very much worth it and you’ll end up using it a lot once you get the hang of it and even after looking at others notes you can still ask your Artificial intelligence buddy the question and ask to simplify it if you still don’t get it!!! In the end I think it’s worth it 😊👍 ⚠️Also DID I MENTION ITS FREEE YOU DON’T HAVE TO PAY FOR ANYTHING AND STILL GET YOUR GRADES IN PERFECTLY❗️❗️⚠️
Thomas R
iOS user
Knowunity is the BEST app I’ve used in a minute. This is not an ai review or anything this is genuinely coming from a 7th grade student (I know 2011 im young) but dude this app is a 10/10 i have maintained a 3.8 gpa and have plenty of time for gaming. I love it and my mom is just happy I got good grades
Brad T
Android user
Not only did it help me find the answer but it also showed me alternative ways to solve it. I was horrible in math and science but now I have an a in both subjects. Thanks for the help🤍🤍
David K
iOS user
The app's just great! All I have to do is enter the topic in the search bar and I get the response real fast. I don't have to watch 10 YouTube videos to understand something, so I'm saving my time. Highly recommended!
Sudenaz Ocak
Android user
In school I was really bad at maths but thanks to the app, I am doing better now. I am so grateful that you made the app.
Greenlight Bonnie
Android user
I found this app a couple years ago and it has only gotten better since then. I really love it because it can help with written questions and photo questions. Also, it can find study guides that other people have made as well as flashcard sets and practice tests. The free version is also amazing for students who might not be able to afford it. Would 100% recommend
Aubrey
iOS user
Best app if you're in Highschool or Junior high. I have been using this app for 2 school years and it's the best, it's good if you don't have anyone to help you with school work.😋🩷🎀
Marco B
iOS user
THE QUIZES AND FLASHCARDS ARE SO USEFUL AND I LOVE Knowunity AI. IT ALSO IS LITREALLY LIKE CHATGPT BUT SMARTER!! HELPED ME WITH MY MASCARA PROBLEMS TOO!! AS WELL AS MY REAL SUBJECTS ! DUHHH 😍😁😲🤑💗✨🎀😮
Elisha
iOS user
This app is phenomenal down to the correct info and the various topics you can study! I greatly recommend it for people who struggle with procrastination and those who need homework help. It has been perfectly accurate for world 1 history as far as I’ve seen! Geometry too!
Paul T
iOS user
Jasper Ngokwere
@jasperngokwere_eenm
Ready to master the twelve basic functions that are essential for Pre-Calculus? This guide breaks down each function's key characteristics, shows you how to work with composite functions, and explains how to find inverse functions. These concepts are crucial for... Show more

Access to all documents
Improve your grades
Join milions of students
Ever wondered why some functions are considered "basic" in math? These twelve functions form the foundation of more complex mathematics. Let's explore their essential characteristics!
Each function has specific properties that make it unique. For the identity function , the input equals the output, creating a straight line through the origin with domain and range of all real numbers. The squaring function creates that familiar U-shaped parabola, while the exponential function grows increasingly rapidly.
Some functions have interesting behaviors at their edges. The natural logarithm function (ln(x)) has a vertical asymptote at x = 0, meaning it approaches negative infinity as x approaches zero. The reciprocal function has both horizontal and vertical asymptotes, creating a hyperbola.
Functions like sine and cosine oscillate between -1 and 1, creating those wave patterns you see everywhere from sound waves to electricity. The greatest integer function creates a staircase pattern because it rounds down to the nearest integer.
💡 Quick Tip: Pay attention to each function's domain, range, and symmetry. These properties will help you recognize the functions and sketch them quickly on tests!

Access to all documents
Improve your grades
Join milions of students
The Greatest Integer Function is a bit tricky but super useful! It rounds numbers down to the nearest integer. Your textbook notation is int(x), but you might also see it as [x] in other materials.
Think of the Greatest Integer Function as always rounding down, no matter how close a number is to the next integer. For example, int(3.999) = 3, and int(4.001) = 4. With negative numbers, you still round down, so int(-2.1) = -3 . When graphed, this function creates a staircase pattern with open circles at one end of each "step."
Building composite functions means plugging one function into another. If f(x) = 2x-3 and you're asked to find f(2), simply replace x with 2: f(2) = 2(2)-3 = 4-3 = 1. For something like f, substitute 3x-1 wherever you see x: f = 2-3 = 6x-2-3 = 6x-5.
When working with two different functions like f(z) = -z + 4 and h(z) = 2z, finding f(h(3)) means you first calculate h(3) = 2(3) = 6, then find f(6) = -6 + 4 = -2. We write this as (f∘h)(3) = -2, which is read as "f composed with h of 3."
🔑 Remember: Always work from inside the parentheses outward! The innermost function gets evaluated first, then its result becomes the input for the outer function.

Access to all documents
Improve your grades
Join milions of students
Composition functions might look intimidating, but they're actually just functions working together! When we write (f∘g)(x), we're simply saying "apply function g first, then apply function f to that result."
Let's see how this works. If f(x) = x + 1 and g(x) = x², then f(g(x)) means f(x²) = x² + 1. We've just created a new function by composition! Similarly, if f(x) = 3x + 5 and g(x) = x - 2, then (f∘g)(x) = f(g(x)) = f = 3 + 5 = 3x - 6 + 5 = 3x - 1.
Notice that (f∘g)(x) and (g∘f)(x) usually give different results. For example, with h(x) = x² - 1 and p(x) = 2x, we get (h∘p)(x) = h(p(x)) = h(2x) = (2x)² - 1 = 4x² - 1, while (p∘h)(x) = p(h(x)) = p = 2 = 2x² - 2. The order matters!
When finding domains of composite functions, you need to consider two things: the domain of the inner function AND what values from that domain will work in the outer function. This gets especially important with fractions (where denominators can't be zero) and square roots (where expressions under the radical can't be negative).
🧠 Pro Tip: To find the domain of f(g(x)), first identify what values of x work in g(x), then check which of those outputs from g will work as inputs for f(x). The final domain is the intersection of these constraints.

Access to all documents
Improve your grades
Join milions of students
Finding domains of composite functions requires careful attention to restrictions. Different types of functions have different domain limitations that you need to watch for.
Polynomial functions have domains of all real numbers, but fractions require that denominators never equal zero. Square roots need whatever is inside the radical to be non-negative. When functions are combined, you need to check all restrictions from both functions.
For example, if f(x) = x² + 1 and g(x) = √x, then the domain of g(x) is [0,∞) because you can't take the square root of a negative number. When finding f(g(x)) = (√x)² + 1 = x + 1, the domain is still [0,∞) because that's what g(x) requires as input.
Decomposing functions means working backward from a composite function to find its components. When given f(g(x)), you need to identify what the "mother function" f(x) is, and then determine what was plugged into it (g(x)). For example, if f(g(x)) = √x - 1, the mother function might be f(x) = √x, and g(x) = x - 1.
There's often more than one correct way to decompose a function. For f(g(x)) = 2/, you might identify f(x) = 2/x as the mother function, making g(x) = 3x+1. This is like detective work - you're looking for clues about what operations were performed in what order.
💡 Quick Check: To verify your decomposition, plug g(x) into f(x) and make sure you get the original composite function. If f(x) = 2/x and g(x) = 3x+1, then f(g(x)) = 2/, which matches!

Access to all documents
Improve your grades
Join milions of students
Inverse functions essentially "undo" what the original function does. If a function takes x to y, its inverse takes y back to x. But not all functions have inverses!
How can you tell if a function has an inverse? Use the horizontal line test. If any horizontal line intersects your function's graph more than once, the function doesn't have an inverse. This makes sense because an inverse function needs to "know" exactly which x-value to return to, with no ambiguity.
A one-to-one function passes both the vertical line test (making it a function) and the horizontal line test (meaning it has an inverse). Functions that fail the horizontal line test, like y = x², don't have inverses because multiple inputs give the same output .
To find an inverse algebraically, follow these steps: Replace f(x) with y, swap x and y, solve for y, and then replace y with f⁻¹(x). For example, to find the inverse of f(x) = /x:
⚡ Power Move: When graphing a function and its inverse, they're always reflections of each other across the line y = x. This is a great way to check if you've found the correct inverse!

Access to all documents
Improve your grades
Join milions of students
Now it's time to put your skills to work with some practice problems! Working through these examples will help cement your understanding of composite functions.
When computing composite functions like f, always work from the inside out. First calculate g(-3) = 3(-3) = -9, then find f(-9) = 2(-9) - 1 = -18 - 1 = -19. For more complex compositions like f(g(h(2))), work step by step: h(2) = 2² + 1 = 5, then g(5) = 3(5) = 15, and finally f(15) = 2(15) - 1 = 30 - 1 = 29.
Composite functions can also involve expressions rather than specific values. For f, substitute x + 1 wherever you see x in the original function: f = 2 - 1 = 2x + 2 - 1 = 2x + 1. Similarly, h = ² + 1 = x² - 4x + 4 + 1 = x² - 4x + 5.
When finding composite functions with algebraic expressions like f(g(x)), substitute the entire g(x) expression wherever x appears in f(x). If f(x) = -3x + 7 and g(x) = 2x² - 8, then f(g(x)) = -3 + 7 = -6x² + 24 + 7 = -6x² + 31.
🏆 Challenge Yourself: Try making up your own composite function problems and solving them. The more practice you get, the more confident you'll feel on tests!
Our AI companion is specifically built for the needs of students. Based on the millions of content pieces we have on the platform we can provide truly meaningful and relevant answers to students. But its not only about answers, the companion is even more about guiding students through their daily learning challenges, with personalised study plans, quizzes or content pieces in the chat and 100% personalisation based on the students skills and developments.
You can download the app in the Google Play Store and in the Apple App Store.
That's right! Enjoy free access to study content, connect with fellow students, and get instant help – all at your fingertips.
2
Smart Tools NEW
Transform this note into: ✓ 50+ Practice Questions ✓ Interactive Flashcards ✓ Full Practice Test ✓ Essay Outlines
What are functions and it’s proper form.
Graph exponential function
This notes have everything you need to understand and know about functions in Pre-Calc Chapter 1
App Store
Google Play
The app is very easy to use and well designed. I have found everything I was looking for so far and have been able to learn a lot from the presentations! I will definitely use the app for a class assignment! And of course it also helps a lot as an inspiration.
Stefan S
iOS user
This app is really great. There are so many study notes and help [...]. My problem subject is French, for example, and the app has so many options for help. Thanks to this app, I have improved my French. I would recommend it to anyone.
Samantha Klich
Android user
Wow, I am really amazed. I just tried the app because I've seen it advertised many times and was absolutely stunned. This app is THE HELP you want for school and above all, it offers so many things, such as workouts and fact sheets, which have been VERY helpful to me personally.
Anna
iOS user
I think it’s very much worth it and you’ll end up using it a lot once you get the hang of it and even after looking at others notes you can still ask your Artificial intelligence buddy the question and ask to simplify it if you still don’t get it!!! In the end I think it’s worth it 😊👍 ⚠️Also DID I MENTION ITS FREEE YOU DON’T HAVE TO PAY FOR ANYTHING AND STILL GET YOUR GRADES IN PERFECTLY❗️❗️⚠️
Thomas R
iOS user
Knowunity is the BEST app I’ve used in a minute. This is not an ai review or anything this is genuinely coming from a 7th grade student (I know 2011 im young) but dude this app is a 10/10 i have maintained a 3.8 gpa and have plenty of time for gaming. I love it and my mom is just happy I got good grades
Brad T
Android user
Not only did it help me find the answer but it also showed me alternative ways to solve it. I was horrible in math and science but now I have an a in both subjects. Thanks for the help🤍🤍
David K
iOS user
The app's just great! All I have to do is enter the topic in the search bar and I get the response real fast. I don't have to watch 10 YouTube videos to understand something, so I'm saving my time. Highly recommended!
Sudenaz Ocak
Android user
In school I was really bad at maths but thanks to the app, I am doing better now. I am so grateful that you made the app.
Greenlight Bonnie
Android user
I found this app a couple years ago and it has only gotten better since then. I really love it because it can help with written questions and photo questions. Also, it can find study guides that other people have made as well as flashcard sets and practice tests. The free version is also amazing for students who might not be able to afford it. Would 100% recommend
Aubrey
iOS user
Best app if you're in Highschool or Junior high. I have been using this app for 2 school years and it's the best, it's good if you don't have anyone to help you with school work.😋🩷🎀
Marco B
iOS user
THE QUIZES AND FLASHCARDS ARE SO USEFUL AND I LOVE Knowunity AI. IT ALSO IS LITREALLY LIKE CHATGPT BUT SMARTER!! HELPED ME WITH MY MASCARA PROBLEMS TOO!! AS WELL AS MY REAL SUBJECTS ! DUHHH 😍😁😲🤑💗✨🎀😮
Elisha
iOS user
This app is phenomenal down to the correct info and the various topics you can study! I greatly recommend it for people who struggle with procrastination and those who need homework help. It has been perfectly accurate for world 1 history as far as I’ve seen! Geometry too!
Paul T
iOS user
The app is very easy to use and well designed. I have found everything I was looking for so far and have been able to learn a lot from the presentations! I will definitely use the app for a class assignment! And of course it also helps a lot as an inspiration.
Stefan S
iOS user
This app is really great. There are so many study notes and help [...]. My problem subject is French, for example, and the app has so many options for help. Thanks to this app, I have improved my French. I would recommend it to anyone.
Samantha Klich
Android user
Wow, I am really amazed. I just tried the app because I've seen it advertised many times and was absolutely stunned. This app is THE HELP you want for school and above all, it offers so many things, such as workouts and fact sheets, which have been VERY helpful to me personally.
Anna
iOS user
I think it’s very much worth it and you’ll end up using it a lot once you get the hang of it and even after looking at others notes you can still ask your Artificial intelligence buddy the question and ask to simplify it if you still don’t get it!!! In the end I think it’s worth it 😊👍 ⚠️Also DID I MENTION ITS FREEE YOU DON’T HAVE TO PAY FOR ANYTHING AND STILL GET YOUR GRADES IN PERFECTLY❗️❗️⚠️
Thomas R
iOS user
Knowunity is the BEST app I’ve used in a minute. This is not an ai review or anything this is genuinely coming from a 7th grade student (I know 2011 im young) but dude this app is a 10/10 i have maintained a 3.8 gpa and have plenty of time for gaming. I love it and my mom is just happy I got good grades
Brad T
Android user
Not only did it help me find the answer but it also showed me alternative ways to solve it. I was horrible in math and science but now I have an a in both subjects. Thanks for the help🤍🤍
David K
iOS user
The app's just great! All I have to do is enter the topic in the search bar and I get the response real fast. I don't have to watch 10 YouTube videos to understand something, so I'm saving my time. Highly recommended!
Sudenaz Ocak
Android user
In school I was really bad at maths but thanks to the app, I am doing better now. I am so grateful that you made the app.
Greenlight Bonnie
Android user
I found this app a couple years ago and it has only gotten better since then. I really love it because it can help with written questions and photo questions. Also, it can find study guides that other people have made as well as flashcard sets and practice tests. The free version is also amazing for students who might not be able to afford it. Would 100% recommend
Aubrey
iOS user
Best app if you're in Highschool or Junior high. I have been using this app for 2 school years and it's the best, it's good if you don't have anyone to help you with school work.😋🩷🎀
Marco B
iOS user
THE QUIZES AND FLASHCARDS ARE SO USEFUL AND I LOVE Knowunity AI. IT ALSO IS LITREALLY LIKE CHATGPT BUT SMARTER!! HELPED ME WITH MY MASCARA PROBLEMS TOO!! AS WELL AS MY REAL SUBJECTS ! DUHHH 😍😁😲🤑💗✨🎀😮
Elisha
iOS user
This app is phenomenal down to the correct info and the various topics you can study! I greatly recommend it for people who struggle with procrastination and those who need homework help. It has been perfectly accurate for world 1 history as far as I’ve seen! Geometry too!
Paul T
iOS user