Rational functions are powerful mathematical expressions that combine polynomials in... Show more
Sign up to see the contentIt's free!
Access to all documents
Improve your grades
Join milions of students
Knowunity AI
Subjects
Triangle Congruence and Similarity Theorems
Triangle Properties and Classification
Linear Equations and Graphs
Geometric Angle Relationships
Trigonometric Functions and Identities
Equation Solving Techniques
Circle Geometry Fundamentals
Division Operations and Methods
Basic Differentiation Rules
Exponent and Logarithm Properties
Show all topics
Human Organ Systems
Reproductive Cell Cycles
Biological Sciences Subdisciplines
Cellular Energy Metabolism
Autotrophic Energy Processes
Inheritance Patterns and Principles
Biomolecular Structure and Organization
Cell Cycle and Division Mechanics
Cellular Organization and Development
Biological Structural Organization
Show all topics
Chemical Sciences and Applications
Atomic Structure and Composition
Molecular Electron Structure Representation
Atomic Electron Behavior
Matter Properties and Water
Mole Concept and Calculations
Gas Laws and Behavior
Periodic Table Organization
Chemical Thermodynamics Fundamentals
Chemical Bond Types and Properties
Show all topics
European Renaissance and Enlightenment
European Cultural Movements 800-1920
American Revolution Era 1763-1797
American Civil War 1861-1865
Global Imperial Systems
Mongol and Chinese Dynasties
U.S. Presidents and World Leaders
Historical Sources and Documentation
World Wars Era and Impact
World Religious Systems
Show all topics
Classic and Contemporary Novels
Literary Character Analysis
Rhetorical Theory and Practice
Classic Literary Narratives
Reading Analysis and Interpretation
Narrative Structure and Techniques
English Language Components
Influential English-Language Authors
Basic Sentence Structure
Narrative Voice and Perspective
Show all topics
133
•
Updated Feb 17, 2026
•
Rational functions are powerful mathematical expressions that combine polynomials in... Show more







Rational functions are fractions where both the numerator and denominator are polynomials. They're written as , where can never equal zero. The simplest rational function is , which serves as the parent function for all others.
The domain of a rational function includes all real numbers except values that make the denominator zero. This makes sense - you can't divide by zero! Rational functions are continuous throughout their domain, meaning you can draw them without lifting your pencil (except at vertical asymptotes or holes).
When identifying rational functions, check if both numerator and denominator are polynomials with no radicals or other non-polynomial elements. For example, is rational with domain , while is not rational because of the radical.
Remember This! Always find the domain by determining where the denominator equals zero, then exclude those values. This is crucial for understanding where the function "breaks" on the graph.

One tricky feature of rational functions is holes - points where the function should exist but doesn't. To spot a hole, look for common factors in both numerator and denominator. When you factor out , you get - the common factor indicates a hole at .
Vertical asymptotes occur when the denominator equals zero (but the numerator doesn't). These create vertical lines that the function approaches but never touches. For example, in , the vertical asymptotes are at and .
You can find vertical asymptotes by setting the denominator equal to zero and solving for x. Just remember that if the same value makes both numerator and denominator zero, you'll have a hole instead of an asymptote.
Quick Tip: When analyzing a rational function, always factor both numerator and denominator completely first. This makes finding holes and asymptotes much easier!

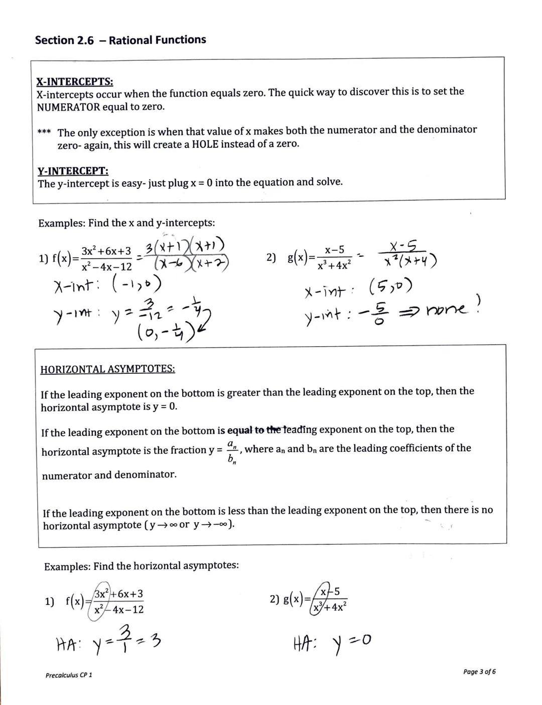
X-intercepts occur when the function equals zero, which happens when the numerator equals zero (assuming that value isn't also a hole). Simply set the numerator equal to zero and solve for x. For example, in , the x-intercept is at .
Finding the y-intercept is straightforward - just substitute into the function. In the same example, , so the y-intercept is .
Horizontal asymptotes depend on the degrees of the numerator and denominator:
For instance, in , both polynomials have degree 2, so the horizontal asymptote is .
Study Strategy: Create a checklist for analyzing rational functions: domain, holes, asymptotes, and intercepts. Working through this checklist for each problem will ensure you don't miss any important features!

Sketching rational functions becomes easier when you identify all key features first. For example, with , we've found:
These features serve as a framework for your sketch. Start by drawing the asymptotes as dashed lines. Plot the intercepts, then connect the points while respecting the asymptotes. The function can't cross vertical asymptotes but will approach the horizontal asymptote as approaches infinity.
For , we have vertical asymptotes at and , a horizontal asymptote at , and an x-intercept at with no y-intercept. This function will approach the x-axis as x gets very large in either direction.
Visualization Tip: Think of vertical asymptotes as "walls" the function can't cross, and horizontal asymptotes as "ceilings" or "floors" the function approaches but never quite reaches as x gets very large.

When the degree of the numerator is exactly one more than the degree of the denominator, the rational function has a slant asymptote instead of a horizontal one. This creates a diagonal line that the function approaches as x approaches infinity.
To find a slant asymptote, use polynomial long division to divide the numerator by the denominator. The quotient gives you the equation of the slant asymptote. For example, with , dividing gives with a remainder, so the slant asymptote is .
In practice, when graphing , we can factor to get . Using long division, we find the slant asymptote is . With the vertical asymptote at and x-intercepts at and , we have enough information to sketch the graph.
Real-World Connection: Functions with slant asymptotes often model situations where there's a steady growth or decline with an initial adjustment period. For example, a company's profit might approach a linear trend after initial startup costs.

Let's analyze . After factoring, we can immediately identify:
When sketching this function, start with the horizontal asymptote at and vertical asymptote at . Plot the intercepts and remember there's a hole at (mark it with an open circle). The function will approach but never cross the vertical asymptote and will get closer to the horizontal asymptote as gets very large.
Master Tip: When you see a common factor in both numerator and denominator, cancel it immediately but remember to mark the hole in your graph. This simplifies the function while preserving its key features.
Our AI companion is specifically built for the needs of students. Based on the millions of content pieces we have on the platform we can provide truly meaningful and relevant answers to students. But its not only about answers, the companion is even more about guiding students through their daily learning challenges, with personalised study plans, quizzes or content pieces in the chat and 100% personalisation based on the students skills and developments.
You can download the app in the Google Play Store and in the Apple App Store.
That's right! Enjoy free access to study content, connect with fellow students, and get instant help – all at your fingertips.
App Store
Google Play
The app is very easy to use and well designed. I have found everything I was looking for so far and have been able to learn a lot from the presentations! I will definitely use the app for a class assignment! And of course it also helps a lot as an inspiration.
Stefan S
iOS user
This app is really great. There are so many study notes and help [...]. My problem subject is French, for example, and the app has so many options for help. Thanks to this app, I have improved my French. I would recommend it to anyone.
Samantha Klich
Android user
Wow, I am really amazed. I just tried the app because I've seen it advertised many times and was absolutely stunned. This app is THE HELP you want for school and above all, it offers so many things, such as workouts and fact sheets, which have been VERY helpful to me personally.
Anna
iOS user
I think it’s very much worth it and you’ll end up using it a lot once you get the hang of it and even after looking at others notes you can still ask your Artificial intelligence buddy the question and ask to simplify it if you still don’t get it!!! In the end I think it’s worth it 😊👍 ⚠️Also DID I MENTION ITS FREEE YOU DON’T HAVE TO PAY FOR ANYTHING AND STILL GET YOUR GRADES IN PERFECTLY❗️❗️⚠️
Thomas R
iOS user
Knowunity is the BEST app I’ve used in a minute. This is not an ai review or anything this is genuinely coming from a 7th grade student (I know 2011 im young) but dude this app is a 10/10 i have maintained a 3.8 gpa and have plenty of time for gaming. I love it and my mom is just happy I got good grades
Brad T
Android user
Not only did it help me find the answer but it also showed me alternative ways to solve it. I was horrible in math and science but now I have an a in both subjects. Thanks for the help🤍🤍
David K
iOS user
The app's just great! All I have to do is enter the topic in the search bar and I get the response real fast. I don't have to watch 10 YouTube videos to understand something, so I'm saving my time. Highly recommended!
Sudenaz Ocak
Android user
In school I was really bad at maths but thanks to the app, I am doing better now. I am so grateful that you made the app.
Greenlight Bonnie
Android user
I found this app a couple years ago and it has only gotten better since then. I really love it because it can help with written questions and photo questions. Also, it can find study guides that other people have made as well as flashcard sets and practice tests. The free version is also amazing for students who might not be able to afford it. Would 100% recommend
Aubrey
iOS user
Best app if you're in Highschool or Junior high. I have been using this app for 2 school years and it's the best, it's good if you don't have anyone to help you with school work.😋🩷🎀
Marco B
iOS user
THE QUIZES AND FLASHCARDS ARE SO USEFUL AND I LOVE Knowunity AI. IT ALSO IS LITREALLY LIKE CHATGPT BUT SMARTER!! HELPED ME WITH MY MASCARA PROBLEMS TOO!! AS WELL AS MY REAL SUBJECTS ! DUHHH 😍😁😲🤑💗✨🎀😮
Elisha
iOS user
This app is phenomenal down to the correct info and the various topics you can study! I greatly recommend it for people who struggle with procrastination and those who need homework help. It has been perfectly accurate for world 1 history as far as I’ve seen! Geometry too!
Paul T
iOS user
The app is very easy to use and well designed. I have found everything I was looking for so far and have been able to learn a lot from the presentations! I will definitely use the app for a class assignment! And of course it also helps a lot as an inspiration.
Stefan S
iOS user
This app is really great. There are so many study notes and help [...]. My problem subject is French, for example, and the app has so many options for help. Thanks to this app, I have improved my French. I would recommend it to anyone.
Samantha Klich
Android user
Wow, I am really amazed. I just tried the app because I've seen it advertised many times and was absolutely stunned. This app is THE HELP you want for school and above all, it offers so many things, such as workouts and fact sheets, which have been VERY helpful to me personally.
Anna
iOS user
I think it’s very much worth it and you’ll end up using it a lot once you get the hang of it and even after looking at others notes you can still ask your Artificial intelligence buddy the question and ask to simplify it if you still don’t get it!!! In the end I think it’s worth it 😊👍 ⚠️Also DID I MENTION ITS FREEE YOU DON’T HAVE TO PAY FOR ANYTHING AND STILL GET YOUR GRADES IN PERFECTLY❗️❗️⚠️
Thomas R
iOS user
Knowunity is the BEST app I’ve used in a minute. This is not an ai review or anything this is genuinely coming from a 7th grade student (I know 2011 im young) but dude this app is a 10/10 i have maintained a 3.8 gpa and have plenty of time for gaming. I love it and my mom is just happy I got good grades
Brad T
Android user
Not only did it help me find the answer but it also showed me alternative ways to solve it. I was horrible in math and science but now I have an a in both subjects. Thanks for the help🤍🤍
David K
iOS user
The app's just great! All I have to do is enter the topic in the search bar and I get the response real fast. I don't have to watch 10 YouTube videos to understand something, so I'm saving my time. Highly recommended!
Sudenaz Ocak
Android user
In school I was really bad at maths but thanks to the app, I am doing better now. I am so grateful that you made the app.
Greenlight Bonnie
Android user
I found this app a couple years ago and it has only gotten better since then. I really love it because it can help with written questions and photo questions. Also, it can find study guides that other people have made as well as flashcard sets and practice tests. The free version is also amazing for students who might not be able to afford it. Would 100% recommend
Aubrey
iOS user
Best app if you're in Highschool or Junior high. I have been using this app for 2 school years and it's the best, it's good if you don't have anyone to help you with school work.😋🩷🎀
Marco B
iOS user
THE QUIZES AND FLASHCARDS ARE SO USEFUL AND I LOVE Knowunity AI. IT ALSO IS LITREALLY LIKE CHATGPT BUT SMARTER!! HELPED ME WITH MY MASCARA PROBLEMS TOO!! AS WELL AS MY REAL SUBJECTS ! DUHHH 😍😁😲🤑💗✨🎀😮
Elisha
iOS user
This app is phenomenal down to the correct info and the various topics you can study! I greatly recommend it for people who struggle with procrastination and those who need homework help. It has been perfectly accurate for world 1 history as far as I’ve seen! Geometry too!
Paul T
iOS user
Rational functions are powerful mathematical expressions that combine polynomials in a fraction format. They create fascinating graphs with unique features like asymptotes and holes that you'll see nowhere else in your math studies. Understanding these functions opens doors to modeling... Show more

Access to all documents
Improve your grades
Join milions of students
Rational functions are fractions where both the numerator and denominator are polynomials. They're written as , where can never equal zero. The simplest rational function is , which serves as the parent function for all others.
The domain of a rational function includes all real numbers except values that make the denominator zero. This makes sense - you can't divide by zero! Rational functions are continuous throughout their domain, meaning you can draw them without lifting your pencil (except at vertical asymptotes or holes).
When identifying rational functions, check if both numerator and denominator are polynomials with no radicals or other non-polynomial elements. For example, is rational with domain , while is not rational because of the radical.
Remember This! Always find the domain by determining where the denominator equals zero, then exclude those values. This is crucial for understanding where the function "breaks" on the graph.

Access to all documents
Improve your grades
Join milions of students
One tricky feature of rational functions is holes - points where the function should exist but doesn't. To spot a hole, look for common factors in both numerator and denominator. When you factor out , you get - the common factor indicates a hole at .
Vertical asymptotes occur when the denominator equals zero (but the numerator doesn't). These create vertical lines that the function approaches but never touches. For example, in , the vertical asymptotes are at and .
You can find vertical asymptotes by setting the denominator equal to zero and solving for x. Just remember that if the same value makes both numerator and denominator zero, you'll have a hole instead of an asymptote.
Quick Tip: When analyzing a rational function, always factor both numerator and denominator completely first. This makes finding holes and asymptotes much easier!

Access to all documents
Improve your grades
Join milions of students
X-intercepts occur when the function equals zero, which happens when the numerator equals zero (assuming that value isn't also a hole). Simply set the numerator equal to zero and solve for x. For example, in , the x-intercept is at .
Finding the y-intercept is straightforward - just substitute into the function. In the same example, , so the y-intercept is .
Horizontal asymptotes depend on the degrees of the numerator and denominator:
For instance, in , both polynomials have degree 2, so the horizontal asymptote is .
Study Strategy: Create a checklist for analyzing rational functions: domain, holes, asymptotes, and intercepts. Working through this checklist for each problem will ensure you don't miss any important features!

Access to all documents
Improve your grades
Join milions of students
Sketching rational functions becomes easier when you identify all key features first. For example, with , we've found:
These features serve as a framework for your sketch. Start by drawing the asymptotes as dashed lines. Plot the intercepts, then connect the points while respecting the asymptotes. The function can't cross vertical asymptotes but will approach the horizontal asymptote as approaches infinity.
For , we have vertical asymptotes at and , a horizontal asymptote at , and an x-intercept at with no y-intercept. This function will approach the x-axis as x gets very large in either direction.
Visualization Tip: Think of vertical asymptotes as "walls" the function can't cross, and horizontal asymptotes as "ceilings" or "floors" the function approaches but never quite reaches as x gets very large.

Access to all documents
Improve your grades
Join milions of students
When the degree of the numerator is exactly one more than the degree of the denominator, the rational function has a slant asymptote instead of a horizontal one. This creates a diagonal line that the function approaches as x approaches infinity.
To find a slant asymptote, use polynomial long division to divide the numerator by the denominator. The quotient gives you the equation of the slant asymptote. For example, with , dividing gives with a remainder, so the slant asymptote is .
In practice, when graphing , we can factor to get . Using long division, we find the slant asymptote is . With the vertical asymptote at and x-intercepts at and , we have enough information to sketch the graph.
Real-World Connection: Functions with slant asymptotes often model situations where there's a steady growth or decline with an initial adjustment period. For example, a company's profit might approach a linear trend after initial startup costs.

Access to all documents
Improve your grades
Join milions of students
Let's analyze . After factoring, we can immediately identify:
When sketching this function, start with the horizontal asymptote at and vertical asymptote at . Plot the intercepts and remember there's a hole at (mark it with an open circle). The function will approach but never cross the vertical asymptote and will get closer to the horizontal asymptote as gets very large.
Master Tip: When you see a common factor in both numerator and denominator, cancel it immediately but remember to mark the hole in your graph. This simplifies the function while preserving its key features.
Our AI companion is specifically built for the needs of students. Based on the millions of content pieces we have on the platform we can provide truly meaningful and relevant answers to students. But its not only about answers, the companion is even more about guiding students through their daily learning challenges, with personalised study plans, quizzes or content pieces in the chat and 100% personalisation based on the students skills and developments.
You can download the app in the Google Play Store and in the Apple App Store.
That's right! Enjoy free access to study content, connect with fellow students, and get instant help – all at your fingertips.
4
Smart Tools NEW
Transform this note into: ✓ 50+ Practice Questions ✓ Interactive Flashcards ✓ Full Practice Test ✓ Essay Outlines
App Store
Google Play
The app is very easy to use and well designed. I have found everything I was looking for so far and have been able to learn a lot from the presentations! I will definitely use the app for a class assignment! And of course it also helps a lot as an inspiration.
Stefan S
iOS user
This app is really great. There are so many study notes and help [...]. My problem subject is French, for example, and the app has so many options for help. Thanks to this app, I have improved my French. I would recommend it to anyone.
Samantha Klich
Android user
Wow, I am really amazed. I just tried the app because I've seen it advertised many times and was absolutely stunned. This app is THE HELP you want for school and above all, it offers so many things, such as workouts and fact sheets, which have been VERY helpful to me personally.
Anna
iOS user
I think it’s very much worth it and you’ll end up using it a lot once you get the hang of it and even after looking at others notes you can still ask your Artificial intelligence buddy the question and ask to simplify it if you still don’t get it!!! In the end I think it’s worth it 😊👍 ⚠️Also DID I MENTION ITS FREEE YOU DON’T HAVE TO PAY FOR ANYTHING AND STILL GET YOUR GRADES IN PERFECTLY❗️❗️⚠️
Thomas R
iOS user
Knowunity is the BEST app I’ve used in a minute. This is not an ai review or anything this is genuinely coming from a 7th grade student (I know 2011 im young) but dude this app is a 10/10 i have maintained a 3.8 gpa and have plenty of time for gaming. I love it and my mom is just happy I got good grades
Brad T
Android user
Not only did it help me find the answer but it also showed me alternative ways to solve it. I was horrible in math and science but now I have an a in both subjects. Thanks for the help🤍🤍
David K
iOS user
The app's just great! All I have to do is enter the topic in the search bar and I get the response real fast. I don't have to watch 10 YouTube videos to understand something, so I'm saving my time. Highly recommended!
Sudenaz Ocak
Android user
In school I was really bad at maths but thanks to the app, I am doing better now. I am so grateful that you made the app.
Greenlight Bonnie
Android user
I found this app a couple years ago and it has only gotten better since then. I really love it because it can help with written questions and photo questions. Also, it can find study guides that other people have made as well as flashcard sets and practice tests. The free version is also amazing for students who might not be able to afford it. Would 100% recommend
Aubrey
iOS user
Best app if you're in Highschool or Junior high. I have been using this app for 2 school years and it's the best, it's good if you don't have anyone to help you with school work.😋🩷🎀
Marco B
iOS user
THE QUIZES AND FLASHCARDS ARE SO USEFUL AND I LOVE Knowunity AI. IT ALSO IS LITREALLY LIKE CHATGPT BUT SMARTER!! HELPED ME WITH MY MASCARA PROBLEMS TOO!! AS WELL AS MY REAL SUBJECTS ! DUHHH 😍😁😲🤑💗✨🎀😮
Elisha
iOS user
This app is phenomenal down to the correct info and the various topics you can study! I greatly recommend it for people who struggle with procrastination and those who need homework help. It has been perfectly accurate for world 1 history as far as I’ve seen! Geometry too!
Paul T
iOS user
The app is very easy to use and well designed. I have found everything I was looking for so far and have been able to learn a lot from the presentations! I will definitely use the app for a class assignment! And of course it also helps a lot as an inspiration.
Stefan S
iOS user
This app is really great. There are so many study notes and help [...]. My problem subject is French, for example, and the app has so many options for help. Thanks to this app, I have improved my French. I would recommend it to anyone.
Samantha Klich
Android user
Wow, I am really amazed. I just tried the app because I've seen it advertised many times and was absolutely stunned. This app is THE HELP you want for school and above all, it offers so many things, such as workouts and fact sheets, which have been VERY helpful to me personally.
Anna
iOS user
I think it’s very much worth it and you’ll end up using it a lot once you get the hang of it and even after looking at others notes you can still ask your Artificial intelligence buddy the question and ask to simplify it if you still don’t get it!!! In the end I think it’s worth it 😊👍 ⚠️Also DID I MENTION ITS FREEE YOU DON’T HAVE TO PAY FOR ANYTHING AND STILL GET YOUR GRADES IN PERFECTLY❗️❗️⚠️
Thomas R
iOS user
Knowunity is the BEST app I’ve used in a minute. This is not an ai review or anything this is genuinely coming from a 7th grade student (I know 2011 im young) but dude this app is a 10/10 i have maintained a 3.8 gpa and have plenty of time for gaming. I love it and my mom is just happy I got good grades
Brad T
Android user
Not only did it help me find the answer but it also showed me alternative ways to solve it. I was horrible in math and science but now I have an a in both subjects. Thanks for the help🤍🤍
David K
iOS user
The app's just great! All I have to do is enter the topic in the search bar and I get the response real fast. I don't have to watch 10 YouTube videos to understand something, so I'm saving my time. Highly recommended!
Sudenaz Ocak
Android user
In school I was really bad at maths but thanks to the app, I am doing better now. I am so grateful that you made the app.
Greenlight Bonnie
Android user
I found this app a couple years ago and it has only gotten better since then. I really love it because it can help with written questions and photo questions. Also, it can find study guides that other people have made as well as flashcard sets and practice tests. The free version is also amazing for students who might not be able to afford it. Would 100% recommend
Aubrey
iOS user
Best app if you're in Highschool or Junior high. I have been using this app for 2 school years and it's the best, it's good if you don't have anyone to help you with school work.😋🩷🎀
Marco B
iOS user
THE QUIZES AND FLASHCARDS ARE SO USEFUL AND I LOVE Knowunity AI. IT ALSO IS LITREALLY LIKE CHATGPT BUT SMARTER!! HELPED ME WITH MY MASCARA PROBLEMS TOO!! AS WELL AS MY REAL SUBJECTS ! DUHHH 😍😁😲🤑💗✨🎀😮
Elisha
iOS user
This app is phenomenal down to the correct info and the various topics you can study! I greatly recommend it for people who struggle with procrastination and those who need homework help. It has been perfectly accurate for world 1 history as far as I’ve seen! Geometry too!
Paul T
iOS user