Learning algebra 1 topicsrequires understanding core mathematical concepts and... Show more
Sign up to see the contentIt's free!
Access to all documents
Improve your grades
Join milions of students
Knowunity AI
Subjects
Triangle Congruence and Similarity Theorems
Triangle Properties and Classification
Linear Equations and Graphs
Geometric Angle Relationships
Trigonometric Functions and Identities
Equation Solving Techniques
Circle Geometry Fundamentals
Division Operations and Methods
Basic Differentiation Rules
Exponent and Logarithm Properties
Show all topics
Human Organ Systems
Reproductive Cell Cycles
Biological Sciences Subdisciplines
Cellular Energy Metabolism
Autotrophic Energy Processes
Inheritance Patterns and Principles
Biomolecular Structure and Organization
Cell Cycle and Division Mechanics
Cellular Organization and Development
Biological Structural Organization
Show all topics
Chemical Sciences and Applications
Atomic Structure and Composition
Molecular Electron Structure Representation
Atomic Electron Behavior
Matter Properties and Water
Mole Concept and Calculations
Gas Laws and Behavior
Periodic Table Organization
Chemical Thermodynamics Fundamentals
Chemical Bond Types and Properties
Show all topics
European Renaissance and Enlightenment
European Cultural Movements 800-1920
American Revolution Era 1763-1797
American Civil War 1861-1865
Global Imperial Systems
Mongol and Chinese Dynasties
U.S. Presidents and World Leaders
Historical Sources and Documentation
World Wars Era and Impact
World Religious Systems
Show all topics
Classic and Contemporary Novels
Literary Character Analysis
Rhetorical Theory and Practice
Classic Literary Narratives
Reading Analysis and Interpretation
Narrative Structure and Techniques
English Language Components
Influential English-Language Authors
Basic Sentence Structure
Narrative Voice and Perspective
Show all topics
5,911
•
Updated Feb 15, 2026
•
Clo
@cloxry
Learning algebra 1 topicsrequires understanding core mathematical concepts and... Show more











Understanding the fundamentals of algebra requires mastering key concepts like expressions, equations, and mathematical operations. This detailed algebra review will help students build a strong foundation in algebraic principles.
Definition: An expression is a mathematical phrase containing numbers and variables without an equal sign, while an equation includes an equal sign that shows two expressions are equivalent.
When working with algebraic expressions, the primary goal is simplification - reducing terms to their most basic form. This process makes expressions more manageable and easier to work with in complex problems. Let's explore the essential components of simplifying algebraic expressions.
Example: Original expression: x² + 10x - 5x + 4 - 6 Simplified form: x² + 5x - 2

The order of operations in PEMDAS provides the essential framework for solving mathematical problems correctly. This systematic approach ensures consistent results across all types of calculations.
Highlight: Always remember PEMDAS:
When dealing with complex expressions, breaking them down according to PEMDAS helps prevent common mistakes. Consider expressions with multiple operations carefully, paying special attention to negative numbers and exponents.
Example: Simplify: -2[3 - (-2)(6)] Step 1: -2[3 - (-12)] Step 2: -2[3 + 12] Step 3: -2[15] Final answer: -30

Working with more complex algebraic expressions requires careful attention to detail and systematic application of mathematical rules. Understanding how to handle multiple terms, variables, and operations simultaneously is crucial for success in algebra.
Vocabulary:
When simplifying expressions with multiple variables and operations, follow these steps:

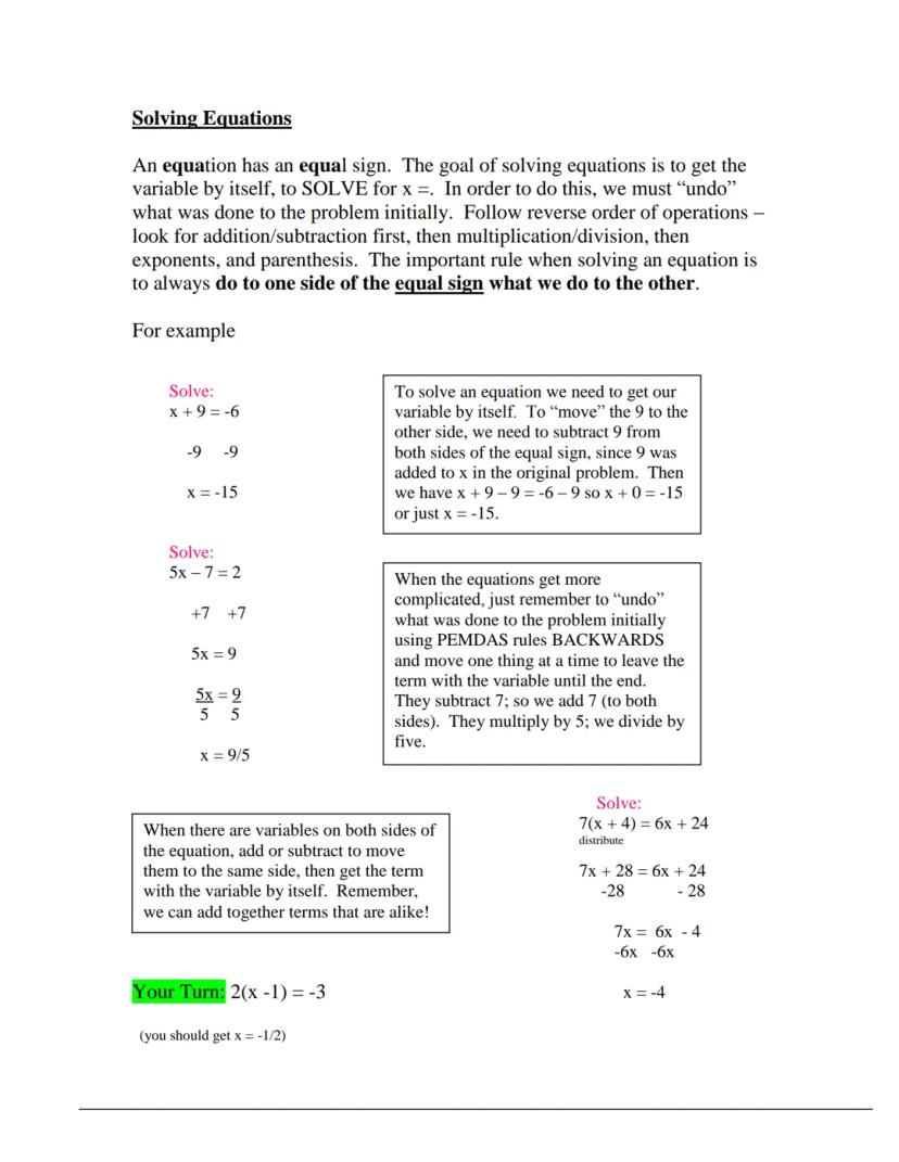
Solving equations requires a methodical approach to isolate the variable and find its value. This process involves applying inverse operations in the correct order while maintaining equation balance.
Definition: Solving an equation means finding the value of the variable that makes the equation true.
The key principle in solving equations is performing the same operation on both sides of the equal sign. This maintains the equation's balance while simplifying toward the solution. Work backwards through the order of operations:
Example: Solve: 5x - 7 = 2 Step 1: Add 7 to both sides: 5x = 9 Step 2: Divide both sides by 5: x = 9/5

Understanding how to convert linear equations into slope-intercept form is a fundamental Algebra 1 topic that helps students analyze and graph lines effectively. The process involves strategic use of mathematical operations and algebraic manipulation to transform any linear equation into the standard y = mx + b format.
Let's examine a detailed example of converting 3x - 2y = 4 into slope-intercept form. The process requires careful attention to the order of operations and proper handling of negative terms. First, we isolate all terms containing y on one side of the equation. By subtracting 3x from both sides, we get -2y = -3x + 4. Then, dividing both sides by -2 yields y = (3/2)x - 2, which is now in slope-intercept form.
Definition: Slope-intercept form is a standard way to write linear equations where m represents the slope and b represents the y-intercept.
When working with linear equations, identifying the slope and y-intercept becomes straightforward once the equation is in slope-intercept form. For example, in y = (3/2)x - 2, we can immediately recognize that m = 3/2 is the slope and b = -2 is the y-intercept. This form is particularly useful for simplifying algebraic expressions and graphing lines.

Writing equations of lines using given information is another crucial skill in algebra 1 review problems. When provided with a slope and a point, we can use the slope-intercept form to determine the complete equation of the line through a systematic approach.
Consider finding the equation of a line with slope -2/3 passing through the point (9, 2). The process involves substituting the known values into y = mx + b and solving for the y-intercept. By plugging in the point coordinates and slope, we get 2 = (-2/3)(9) + b, which simplifies to 2 = -6 + b, leading to b = 8.
Example: To find a line's equation:
- Start with y = mx + b
- Substitute known slope for m
- Use point coordinates for x and y
- Solve for b
- Write final equation by combining all parts
The final equation becomes y = (-2/3)x + 8, which represents the unique line satisfying both conditions. This method demonstrates how simplifying algebraic expressions with variables leads to practical solutions in geometry and graphing applications. Understanding this process is essential for success in both algebra 1 review for algebra 2 and more advanced mathematical concepts.

Page 1: Introduction to Basic Algebraic Concepts
This opening chapter introduces fundamental distinctions between expressions and equations in algebra. The content establishes core concepts essential for algebra 1 review problems.
Definition: An expression is a mathematical phrase containing numbers and variables without an equal sign, while an equation contains an equal sign.
Example: Expressions include "5+3" and "x+3", while equations include "5+3=8" and "x+3=8"
Highlight: The chapter emphasizes the importance of simplifying expressions by combining like terms to create more manageable mathematical statements.



Our AI companion is specifically built for the needs of students. Based on the millions of content pieces we have on the platform we can provide truly meaningful and relevant answers to students. But its not only about answers, the companion is even more about guiding students through their daily learning challenges, with personalised study plans, quizzes or content pieces in the chat and 100% personalisation based on the students skills and developments.
You can download the app in the Google Play Store and in the Apple App Store.
That's right! Enjoy free access to study content, connect with fellow students, and get instant help – all at your fingertips.
App Store
Google Play
The app is very easy to use and well designed. I have found everything I was looking for so far and have been able to learn a lot from the presentations! I will definitely use the app for a class assignment! And of course it also helps a lot as an inspiration.
Stefan S
iOS user
This app is really great. There are so many study notes and help [...]. My problem subject is French, for example, and the app has so many options for help. Thanks to this app, I have improved my French. I would recommend it to anyone.
Samantha Klich
Android user
Wow, I am really amazed. I just tried the app because I've seen it advertised many times and was absolutely stunned. This app is THE HELP you want for school and above all, it offers so many things, such as workouts and fact sheets, which have been VERY helpful to me personally.
Anna
iOS user
I think it’s very much worth it and you’ll end up using it a lot once you get the hang of it and even after looking at others notes you can still ask your Artificial intelligence buddy the question and ask to simplify it if you still don’t get it!!! In the end I think it’s worth it 😊👍 ⚠️Also DID I MENTION ITS FREEE YOU DON’T HAVE TO PAY FOR ANYTHING AND STILL GET YOUR GRADES IN PERFECTLY❗️❗️⚠️
Thomas R
iOS user
Knowunity is the BEST app I’ve used in a minute. This is not an ai review or anything this is genuinely coming from a 7th grade student (I know 2011 im young) but dude this app is a 10/10 i have maintained a 3.8 gpa and have plenty of time for gaming. I love it and my mom is just happy I got good grades
Brad T
Android user
Not only did it help me find the answer but it also showed me alternative ways to solve it. I was horrible in math and science but now I have an a in both subjects. Thanks for the help🤍🤍
David K
iOS user
The app's just great! All I have to do is enter the topic in the search bar and I get the response real fast. I don't have to watch 10 YouTube videos to understand something, so I'm saving my time. Highly recommended!
Sudenaz Ocak
Android user
In school I was really bad at maths but thanks to the app, I am doing better now. I am so grateful that you made the app.
Greenlight Bonnie
Android user
I found this app a couple years ago and it has only gotten better since then. I really love it because it can help with written questions and photo questions. Also, it can find study guides that other people have made as well as flashcard sets and practice tests. The free version is also amazing for students who might not be able to afford it. Would 100% recommend
Aubrey
iOS user
Best app if you're in Highschool or Junior high. I have been using this app for 2 school years and it's the best, it's good if you don't have anyone to help you with school work.😋🩷🎀
Marco B
iOS user
THE QUIZES AND FLASHCARDS ARE SO USEFUL AND I LOVE Knowunity AI. IT ALSO IS LITREALLY LIKE CHATGPT BUT SMARTER!! HELPED ME WITH MY MASCARA PROBLEMS TOO!! AS WELL AS MY REAL SUBJECTS ! DUHHH 😍😁😲🤑💗✨🎀😮
Elisha
iOS user
This app is phenomenal down to the correct info and the various topics you can study! I greatly recommend it for people who struggle with procrastination and those who need homework help. It has been perfectly accurate for world 1 history as far as I’ve seen! Geometry too!
Paul T
iOS user
The app is very easy to use and well designed. I have found everything I was looking for so far and have been able to learn a lot from the presentations! I will definitely use the app for a class assignment! And of course it also helps a lot as an inspiration.
Stefan S
iOS user
This app is really great. There are so many study notes and help [...]. My problem subject is French, for example, and the app has so many options for help. Thanks to this app, I have improved my French. I would recommend it to anyone.
Samantha Klich
Android user
Wow, I am really amazed. I just tried the app because I've seen it advertised many times and was absolutely stunned. This app is THE HELP you want for school and above all, it offers so many things, such as workouts and fact sheets, which have been VERY helpful to me personally.
Anna
iOS user
I think it’s very much worth it and you’ll end up using it a lot once you get the hang of it and even after looking at others notes you can still ask your Artificial intelligence buddy the question and ask to simplify it if you still don’t get it!!! In the end I think it’s worth it 😊👍 ⚠️Also DID I MENTION ITS FREEE YOU DON’T HAVE TO PAY FOR ANYTHING AND STILL GET YOUR GRADES IN PERFECTLY❗️❗️⚠️
Thomas R
iOS user
Knowunity is the BEST app I’ve used in a minute. This is not an ai review or anything this is genuinely coming from a 7th grade student (I know 2011 im young) but dude this app is a 10/10 i have maintained a 3.8 gpa and have plenty of time for gaming. I love it and my mom is just happy I got good grades
Brad T
Android user
Not only did it help me find the answer but it also showed me alternative ways to solve it. I was horrible in math and science but now I have an a in both subjects. Thanks for the help🤍🤍
David K
iOS user
The app's just great! All I have to do is enter the topic in the search bar and I get the response real fast. I don't have to watch 10 YouTube videos to understand something, so I'm saving my time. Highly recommended!
Sudenaz Ocak
Android user
In school I was really bad at maths but thanks to the app, I am doing better now. I am so grateful that you made the app.
Greenlight Bonnie
Android user
I found this app a couple years ago and it has only gotten better since then. I really love it because it can help with written questions and photo questions. Also, it can find study guides that other people have made as well as flashcard sets and practice tests. The free version is also amazing for students who might not be able to afford it. Would 100% recommend
Aubrey
iOS user
Best app if you're in Highschool or Junior high. I have been using this app for 2 school years and it's the best, it's good if you don't have anyone to help you with school work.😋🩷🎀
Marco B
iOS user
THE QUIZES AND FLASHCARDS ARE SO USEFUL AND I LOVE Knowunity AI. IT ALSO IS LITREALLY LIKE CHATGPT BUT SMARTER!! HELPED ME WITH MY MASCARA PROBLEMS TOO!! AS WELL AS MY REAL SUBJECTS ! DUHHH 😍😁😲🤑💗✨🎀😮
Elisha
iOS user
This app is phenomenal down to the correct info and the various topics you can study! I greatly recommend it for people who struggle with procrastination and those who need homework help. It has been perfectly accurate for world 1 history as far as I’ve seen! Geometry too!
Paul T
iOS user
Clo
@cloxry
Learning algebra 1 topics requires understanding core mathematical concepts and building strong foundations.
Order of operations in pemdasis a fundamental principle that guides how we solve complex mathematical expressions. PEMDAS stands for Parentheses, Exponents, Multiplication/Division (from left to right),... Show more

Access to all documents
Improve your grades
Join milions of students
Understanding the fundamentals of algebra requires mastering key concepts like expressions, equations, and mathematical operations. This detailed algebra review will help students build a strong foundation in algebraic principles.
Definition: An expression is a mathematical phrase containing numbers and variables without an equal sign, while an equation includes an equal sign that shows two expressions are equivalent.
When working with algebraic expressions, the primary goal is simplification - reducing terms to their most basic form. This process makes expressions more manageable and easier to work with in complex problems. Let's explore the essential components of simplifying algebraic expressions.
Example: Original expression: x² + 10x - 5x + 4 - 6 Simplified form: x² + 5x - 2

Access to all documents
Improve your grades
Join milions of students
The order of operations in PEMDAS provides the essential framework for solving mathematical problems correctly. This systematic approach ensures consistent results across all types of calculations.
Highlight: Always remember PEMDAS:
When dealing with complex expressions, breaking them down according to PEMDAS helps prevent common mistakes. Consider expressions with multiple operations carefully, paying special attention to negative numbers and exponents.
Example: Simplify: -2[3 - (-2)(6)] Step 1: -2[3 - (-12)] Step 2: -2[3 + 12] Step 3: -2[15] Final answer: -30

Access to all documents
Improve your grades
Join milions of students
Working with more complex algebraic expressions requires careful attention to detail and systematic application of mathematical rules. Understanding how to handle multiple terms, variables, and operations simultaneously is crucial for success in algebra.
Vocabulary:
When simplifying expressions with multiple variables and operations, follow these steps:

Access to all documents
Improve your grades
Join milions of students
Solving equations requires a methodical approach to isolate the variable and find its value. This process involves applying inverse operations in the correct order while maintaining equation balance.
Definition: Solving an equation means finding the value of the variable that makes the equation true.
The key principle in solving equations is performing the same operation on both sides of the equal sign. This maintains the equation's balance while simplifying toward the solution. Work backwards through the order of operations:
Example: Solve: 5x - 7 = 2 Step 1: Add 7 to both sides: 5x = 9 Step 2: Divide both sides by 5: x = 9/5

Access to all documents
Improve your grades
Join milions of students
Understanding how to convert linear equations into slope-intercept form is a fundamental Algebra 1 topic that helps students analyze and graph lines effectively. The process involves strategic use of mathematical operations and algebraic manipulation to transform any linear equation into the standard y = mx + b format.
Let's examine a detailed example of converting 3x - 2y = 4 into slope-intercept form. The process requires careful attention to the order of operations and proper handling of negative terms. First, we isolate all terms containing y on one side of the equation. By subtracting 3x from both sides, we get -2y = -3x + 4. Then, dividing both sides by -2 yields y = (3/2)x - 2, which is now in slope-intercept form.
Definition: Slope-intercept form is a standard way to write linear equations where m represents the slope and b represents the y-intercept.
When working with linear equations, identifying the slope and y-intercept becomes straightforward once the equation is in slope-intercept form. For example, in y = (3/2)x - 2, we can immediately recognize that m = 3/2 is the slope and b = -2 is the y-intercept. This form is particularly useful for simplifying algebraic expressions and graphing lines.

Access to all documents
Improve your grades
Join milions of students
Writing equations of lines using given information is another crucial skill in algebra 1 review problems. When provided with a slope and a point, we can use the slope-intercept form to determine the complete equation of the line through a systematic approach.
Consider finding the equation of a line with slope -2/3 passing through the point (9, 2). The process involves substituting the known values into y = mx + b and solving for the y-intercept. By plugging in the point coordinates and slope, we get 2 = (-2/3)(9) + b, which simplifies to 2 = -6 + b, leading to b = 8.
Example: To find a line's equation:
- Start with y = mx + b
- Substitute known slope for m
- Use point coordinates for x and y
- Solve for b
- Write final equation by combining all parts
The final equation becomes y = (-2/3)x + 8, which represents the unique line satisfying both conditions. This method demonstrates how simplifying algebraic expressions with variables leads to practical solutions in geometry and graphing applications. Understanding this process is essential for success in both algebra 1 review for algebra 2 and more advanced mathematical concepts.

Access to all documents
Improve your grades
Join milions of students
Page 1: Introduction to Basic Algebraic Concepts
This opening chapter introduces fundamental distinctions between expressions and equations in algebra. The content establishes core concepts essential for algebra 1 review problems.
Definition: An expression is a mathematical phrase containing numbers and variables without an equal sign, while an equation contains an equal sign.
Example: Expressions include "5+3" and "x+3", while equations include "5+3=8" and "x+3=8"
Highlight: The chapter emphasizes the importance of simplifying expressions by combining like terms to create more manageable mathematical statements.

Access to all documents
Improve your grades
Join milions of students

Access to all documents
Improve your grades
Join milions of students

Access to all documents
Improve your grades
Join milions of students
Our AI companion is specifically built for the needs of students. Based on the millions of content pieces we have on the platform we can provide truly meaningful and relevant answers to students. But its not only about answers, the companion is even more about guiding students through their daily learning challenges, with personalised study plans, quizzes or content pieces in the chat and 100% personalisation based on the students skills and developments.
You can download the app in the Google Play Store and in the Apple App Store.
That's right! Enjoy free access to study content, connect with fellow students, and get instant help – all at your fingertips.
699
Smart Tools NEW
Transform this note into: ✓ 50+ Practice Questions ✓ Interactive Flashcards ✓ Full Practice Test ✓ Essay Outlines
This is a great way to understand 2 step equations if your are having a hard time understanding it.
These are my notes for 1.3 on the 8th grade Big Ideas Math book. This is an individual lesson, not the entire chapter.
Work problems about the topic
1.5 Math Slide
App Store
Google Play
The app is very easy to use and well designed. I have found everything I was looking for so far and have been able to learn a lot from the presentations! I will definitely use the app for a class assignment! And of course it also helps a lot as an inspiration.
Stefan S
iOS user
This app is really great. There are so many study notes and help [...]. My problem subject is French, for example, and the app has so many options for help. Thanks to this app, I have improved my French. I would recommend it to anyone.
Samantha Klich
Android user
Wow, I am really amazed. I just tried the app because I've seen it advertised many times and was absolutely stunned. This app is THE HELP you want for school and above all, it offers so many things, such as workouts and fact sheets, which have been VERY helpful to me personally.
Anna
iOS user
I think it’s very much worth it and you’ll end up using it a lot once you get the hang of it and even after looking at others notes you can still ask your Artificial intelligence buddy the question and ask to simplify it if you still don’t get it!!! In the end I think it’s worth it 😊👍 ⚠️Also DID I MENTION ITS FREEE YOU DON’T HAVE TO PAY FOR ANYTHING AND STILL GET YOUR GRADES IN PERFECTLY❗️❗️⚠️
Thomas R
iOS user
Knowunity is the BEST app I’ve used in a minute. This is not an ai review or anything this is genuinely coming from a 7th grade student (I know 2011 im young) but dude this app is a 10/10 i have maintained a 3.8 gpa and have plenty of time for gaming. I love it and my mom is just happy I got good grades
Brad T
Android user
Not only did it help me find the answer but it also showed me alternative ways to solve it. I was horrible in math and science but now I have an a in both subjects. Thanks for the help🤍🤍
David K
iOS user
The app's just great! All I have to do is enter the topic in the search bar and I get the response real fast. I don't have to watch 10 YouTube videos to understand something, so I'm saving my time. Highly recommended!
Sudenaz Ocak
Android user
In school I was really bad at maths but thanks to the app, I am doing better now. I am so grateful that you made the app.
Greenlight Bonnie
Android user
I found this app a couple years ago and it has only gotten better since then. I really love it because it can help with written questions and photo questions. Also, it can find study guides that other people have made as well as flashcard sets and practice tests. The free version is also amazing for students who might not be able to afford it. Would 100% recommend
Aubrey
iOS user
Best app if you're in Highschool or Junior high. I have been using this app for 2 school years and it's the best, it's good if you don't have anyone to help you with school work.😋🩷🎀
Marco B
iOS user
THE QUIZES AND FLASHCARDS ARE SO USEFUL AND I LOVE Knowunity AI. IT ALSO IS LITREALLY LIKE CHATGPT BUT SMARTER!! HELPED ME WITH MY MASCARA PROBLEMS TOO!! AS WELL AS MY REAL SUBJECTS ! DUHHH 😍😁😲🤑💗✨🎀😮
Elisha
iOS user
This app is phenomenal down to the correct info and the various topics you can study! I greatly recommend it for people who struggle with procrastination and those who need homework help. It has been perfectly accurate for world 1 history as far as I’ve seen! Geometry too!
Paul T
iOS user
The app is very easy to use and well designed. I have found everything I was looking for so far and have been able to learn a lot from the presentations! I will definitely use the app for a class assignment! And of course it also helps a lot as an inspiration.
Stefan S
iOS user
This app is really great. There are so many study notes and help [...]. My problem subject is French, for example, and the app has so many options for help. Thanks to this app, I have improved my French. I would recommend it to anyone.
Samantha Klich
Android user
Wow, I am really amazed. I just tried the app because I've seen it advertised many times and was absolutely stunned. This app is THE HELP you want for school and above all, it offers so many things, such as workouts and fact sheets, which have been VERY helpful to me personally.
Anna
iOS user
I think it’s very much worth it and you’ll end up using it a lot once you get the hang of it and even after looking at others notes you can still ask your Artificial intelligence buddy the question and ask to simplify it if you still don’t get it!!! In the end I think it’s worth it 😊👍 ⚠️Also DID I MENTION ITS FREEE YOU DON’T HAVE TO PAY FOR ANYTHING AND STILL GET YOUR GRADES IN PERFECTLY❗️❗️⚠️
Thomas R
iOS user
Knowunity is the BEST app I’ve used in a minute. This is not an ai review or anything this is genuinely coming from a 7th grade student (I know 2011 im young) but dude this app is a 10/10 i have maintained a 3.8 gpa and have plenty of time for gaming. I love it and my mom is just happy I got good grades
Brad T
Android user
Not only did it help me find the answer but it also showed me alternative ways to solve it. I was horrible in math and science but now I have an a in both subjects. Thanks for the help🤍🤍
David K
iOS user
The app's just great! All I have to do is enter the topic in the search bar and I get the response real fast. I don't have to watch 10 YouTube videos to understand something, so I'm saving my time. Highly recommended!
Sudenaz Ocak
Android user
In school I was really bad at maths but thanks to the app, I am doing better now. I am so grateful that you made the app.
Greenlight Bonnie
Android user
I found this app a couple years ago and it has only gotten better since then. I really love it because it can help with written questions and photo questions. Also, it can find study guides that other people have made as well as flashcard sets and practice tests. The free version is also amazing for students who might not be able to afford it. Would 100% recommend
Aubrey
iOS user
Best app if you're in Highschool or Junior high. I have been using this app for 2 school years and it's the best, it's good if you don't have anyone to help you with school work.😋🩷🎀
Marco B
iOS user
THE QUIZES AND FLASHCARDS ARE SO USEFUL AND I LOVE Knowunity AI. IT ALSO IS LITREALLY LIKE CHATGPT BUT SMARTER!! HELPED ME WITH MY MASCARA PROBLEMS TOO!! AS WELL AS MY REAL SUBJECTS ! DUHHH 😍😁😲🤑💗✨🎀😮
Elisha
iOS user
This app is phenomenal down to the correct info and the various topics you can study! I greatly recommend it for people who struggle with procrastination and those who need homework help. It has been perfectly accurate for world 1 history as far as I’ve seen! Geometry too!
Paul T
iOS user