The French Revolutionmarked a pivotal turning point in European... Show more
Sign up to see the contentIt's free!
Access to all documents
Improve your grades
Join milions of students
Knowunity AI
Subjects
Triangle Congruence and Similarity Theorems
Triangle Properties and Classification
Linear Equations and Graphs
Geometric Angle Relationships
Trigonometric Functions and Identities
Equation Solving Techniques
Circle Geometry Fundamentals
Division Operations and Methods
Basic Differentiation Rules
Exponent and Logarithm Properties
Show all topics
Human Organ Systems
Reproductive Cell Cycles
Biological Sciences Subdisciplines
Cellular Energy Metabolism
Autotrophic Energy Processes
Inheritance Patterns and Principles
Biomolecular Structure and Organization
Cell Cycle and Division Mechanics
Cellular Organization and Development
Biological Structural Organization
Show all topics
Chemical Sciences and Applications
Atomic Structure and Composition
Molecular Electron Structure Representation
Atomic Electron Behavior
Matter Properties and Water
Mole Concept and Calculations
Gas Laws and Behavior
Periodic Table Organization
Chemical Thermodynamics Fundamentals
Chemical Bond Types and Properties
Show all topics
European Renaissance and Enlightenment
European Cultural Movements 800-1920
American Revolution Era 1763-1797
American Civil War 1861-1865
Global Imperial Systems
Mongol and Chinese Dynasties
U.S. Presidents and World Leaders
Historical Sources and Documentation
World Wars Era and Impact
World Religious Systems
Show all topics
Classic and Contemporary Novels
Literary Character Analysis
Rhetorical Theory and Practice
Classic Literary Narratives
Reading Analysis and Interpretation
Narrative Structure and Techniques
English Language Components
Influential English-Language Authors
Basic Sentence Structure
Narrative Voice and Perspective
Show all topics
314
•
Updated Feb 14, 2026
•
Siri Gowda
@sirigowda_jiau
The French Revolutionmarked a pivotal turning point in European... Show more











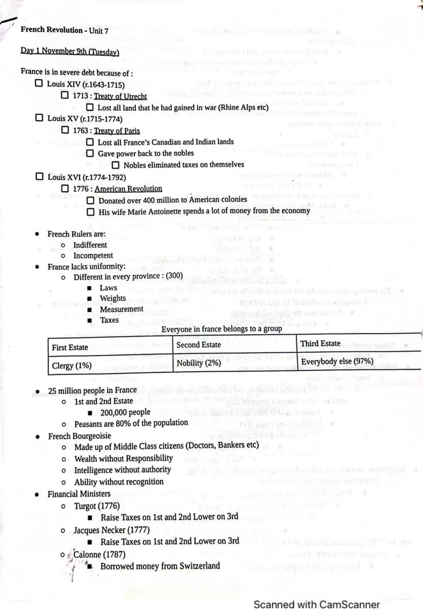
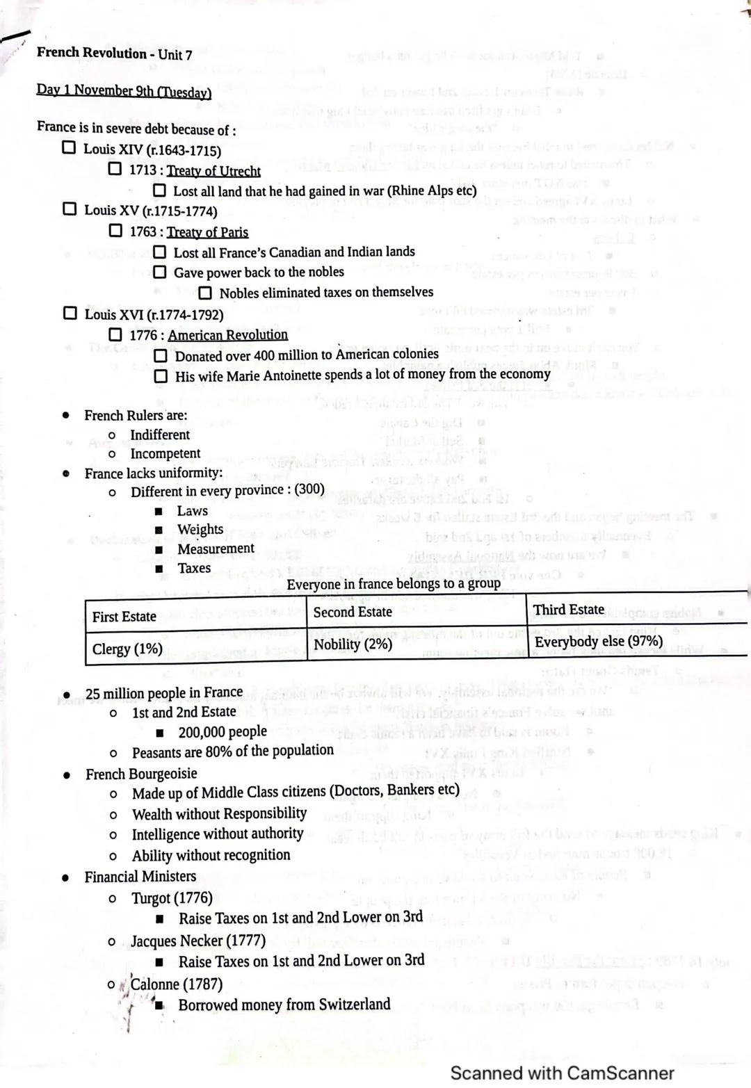
The French financial crisis of 1789 emerged from decades of mismanagement under three key rulers. Louis XVI, who ruled from 1774-1792, inherited a nation already crippled by debt from his predecessors Louis XIV and Louis XV. The crisis deepened due to France's involvement in expensive wars, including the American Revolution which cost over 400 million livres in aid to the colonies.
Was King Louis XVI a good king? Historical evidence suggests his reign was marked by indifference and incompetence. His wife Marie Antoinette was notorious for excessive spending, further straining the treasury. France's financial structure lacked uniformity across its 300 provinces, with different laws, weights, measurements, and tax systems in each region. The privileged First and Second Estates, comprising only 3% of the population, managed to exempt themselves from taxation while the Third Estate bore the primary tax burden.
Definition: The Three Estates System
- First Estate: Clergy (1% of population)
- Second Estate: Nobility (2% of population)
- Third Estate: Everyone else (97% of population)
The French bourgeoisie, consisting of educated middle-class citizens like doctors and bankers, possessed wealth without responsibility and intelligence without authority. Multiple finance ministers attempted reforms - Turgot (1776), Jacques Necker (1777), Calonne (1787), and Brienne (1788) - but faced resistance from nobles when trying to tax the privileged estates. This resistance ultimately led to the calling of the Estates General, which hadn't met since 1614.

Why was the Estates General called? The mounting financial crisis and noble resistance to taxation forced Louis XVI to convene this ancient assembly in May 1789. The role of Estates General in French Revolution was pivotal, though not as intended. While the Third Estate received double representation (600 versus 300 for each other estate), voting remained by estate rather than by head, effectively nullifying their numerical advantage.
Highlight: The Third Estate's frustration with the voting system led to a revolutionary transformation of French governance.
The pamphlet "What is the Third Estate?" by Abbé Sieyès crystallized the grievances of the common people, declaring that the Third Estate was essentially France itself, while the privileged estates were mere parasites. After six weeks of stalemate, members of the Third Estate, joined by some progressive clergy and nobles, declared themselves the National Assembly.
What happened at the meeting of the Estates-General proved transformative when the king locked out the Third Estate delegates, leading to the famous Tennis Court Oath. Why was the Tennis Court Oath important? The delegates pledged to remain assembled until they created a constitution for France, effectively challenging royal authority and establishing France's first constitutional government.

The storming of the Bastille on July 14, 1789, marked Day 1 of the French Revolution. This pivotal event occurred when Parisians, fearing an imminent military crackdown and seeking weapons, attacked the fortress-prison. Though only six prisoners were freed, the symbolic impact was enormous, representing the people's first major victory against royal authority.
Example: The Bastille's fall triggered the "Great Fear" - a wave of peasant uprisings across France where rural communities attacked noble estates and burned feudal documents.
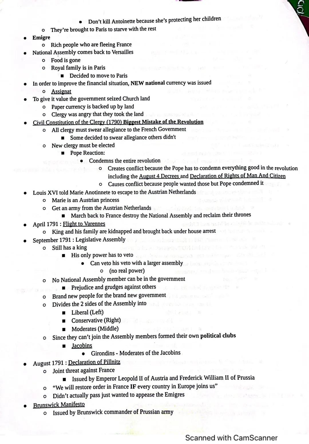
The August 4 Decrees and the Declaration of the Rights of Man and Citizen followed, fundamentally transforming French society by abolishing feudal privileges and establishing basic rights. However, Louis XVI's reluctance to approve these measures and the ongoing food crisis led to the Women's March on Versailles in October 1789, forcing the royal family to relocate to Paris.

The National Assembly attempted to stabilize France through various reforms, including the creation of the assignat currency backed by seized church lands. However, the Civil Constitution of the Clergy (1790) proved deeply divisive, requiring clergy to swear allegiance to the state and creating a rift with the Catholic Church.
Louis XVI's last words would come later, but his fate was essentially sealed by the Flight to Varennes in June 1791, when the royal family attempted to escape Paris. This failed escape attempt destroyed remaining trust in the monarchy and led to the creation of the Legislative Assembly, which limited royal power to a mere veto.
Quote: The Brunswick Manifesto of 1792 threatened: "We will restore order in France IF every country in Europe joins us" - a threat that would help radicalize the revolution.
The emergence of political clubs, particularly the Jacobins and Girondins, reflected growing ideological divisions that would shape the revolution's future course. The Declaration of Pillnitz and Brunswick Manifesto demonstrated growing international opposition to revolutionary France, setting the stage for future conflicts.

The growing tensions in France erupted into open conflict when the Legislative Assembly declared war on Austria in April 1792. This decision was driven by multiple factors, including fear of the émigrés (nobles who had fled France) and growing distrust of the government. The situation became particularly tense when Austria threatened to destroy Paris if any harm came to the royal family.
A pivotal moment occurred on August 10, 1792, with what became known as the Second Revolution. The Jacobins and Liberals, frustrated with the existing government, stormed government buildings and established the National Convention and Paris Commune. George Danton, beloved for his role in writing the August 4 Decrees, emerged as a key figure in creating the new Paris city government.
The September Massacres of 1792 marked a dark turning point. Amid rumors that prisoners would escape and kill civilians, approximately 2,000 prisoners were executed. This led to the implementation of the guillotine, proposed by Dr. Guillotin as a more "humane" method of execution. The most significant execution came on January 21, 1793, when Louis XVI was found guilty of treason by a single vote (361-360) and subsequently executed alongside his wife Marie Antoinette.
Definition: Counter-revolutionary - Anyone opposed to the revolution's progress, typically conservatives, those in contact with émigrés, or clergy who refused to pledge allegiance to the new government.

The Committee of Public Safety, initially created by George Danton but later led by Maximilien Robespierre, became the driving force behind the Reign of Terror. This 13-member committee maintained extensive surveillance over French citizens, seeking to identify and eliminate potential threats to the revolution.
The period from June 1793 to July 1794 saw approximately 40,000 executions under the Reign of Terror. Even George Danton, despite his earlier revolutionary credentials, fell victim to Robespierre's increasing paranoia and was executed as a counter-revolutionary. The situation reached a breaking point in the Thermidorian Reaction of July 1794, when Robespierre himself was arrested and executed.
Highlight: The Thermidorian Reaction marked the end of the Reign of Terror and initiated a shift back toward conservative power, leading to the "White Terror" - a period of conservative reprisals against revolutionaries.

Napoleon Bonaparte's ascent began when he defended the National Convention from Sans-Culottes protesters, famously dispersing them with "a whiff of grapeshot." His military success led to rapid promotion and command of the Army of Italy, where he achieved significant victories against Austria.
The Directory, France's new five-man executive government, faced challenges from various quarters, including Gracchus Babeuf's "Conspiracy of Equals" - an early attempt to establish socialism in France. Napoleon's military successes, particularly in Italy and Egypt, enhanced his political standing despite setbacks like the Battle of the Nile.
Example: Napoleon's famous crossing of the Alps, immortalized in Jacques Louis David's painting, demonstrated his military prowess and growing legendary status.

Through the Coup of Brumaire in 1799, Napoleon established the Consulate, effectively taking control of France. He systematically consolidated power through a series of plebiscites, eventually becoming Emperor. His reforms included reconciliation with the Church, welcoming back émigrés, and establishing the Napoleonic Code.
Napoleon's empire expanded through military victories at Ulm, Austerlitz, and Jena. He reshaped Europe, dissolving the Holy Roman Empire and establishing the Confederation of the Rhine. His Continental System, aimed at isolating Britain economically, led to conflicts in Spain and Portugal, culminating in the bloody Peninsular War.
Quote: "Thank God I have done my duty" - Admiral Horatio Nelson's famous last words at the Battle of Trafalgar, where Britain dealt a decisive blow to French naval power.

The dramatic decline of Napoleon's empire began with a pivotal decision regarding the Continental System in 1811. When Russia withdrew from this economic blockade, Napoleon assembled his legendary Grand Armée - a massive force of 700,000 soldiers from France and allied nations, supported by 300,000 supply carriers. This military campaign would prove to be one of history's most catastrophic military failures.
The Russian campaign was marked by the devastating Battle of Borodino on September 13, 1812 - the bloodiest single-day battle of the Napoleonic Wars with 70,000 casualties. Though Napoleon's forces reached Moscow, they found an abandoned city. The Russians employed their famous "scorched earth" strategy, burning everything in their retreat and leaving Napoleon's army without supplies. In a shocking turn of events, released Russian prisoners set Moscow ablaze, forcing the French to retreat through the brutal Russian winter. Of Napoleon's massive invasion force, only 30,000 soldiers survived the Russian campaign.
Highlight: The Russian Campaign marked the beginning of Napoleon's downfall, with the loss of over 670,000 soldiers due to combat, starvation, and extreme winter conditions.
The defeat in Russia led to the Battle of Leipzig in 1813, where a coalition of European powers finally defeated Napoleon. The subsequent Treaty of Paris in 1814 exiled Napoleon to Elba and restored the French monarchy under Louis XVIII, brother of the executed Louis XVI. However, Napoleon's story wasn't over - he escaped from Elba, returning to France for the famous "Hundred Days." This brief return to power ended at the decisive Battle of Waterloo in June 1815, where British and Prussian forces defeated Napoleon's army. After a failed attempt to flee to America, Napoleon was captured and exiled to the remote island of St. Helena under the Second Treaty of Paris, where he would remain until his death.

The aftermath of Napoleon's final defeat brought significant changes to France's political landscape. The restoration of the Bourbon monarchy under Louis XVIII marked a careful balance between the old regime and revolutionary reforms. While the monarchy was restored, France maintained many Napoleonic institutions, including the influential Napoleonic Code.
Louis XVIII's reign represented a compromise between revolutionary ideals and monarchical authority. He was required to accept constitutional limitations and could not pursue vengeance against those who had supported the revolution (the Regicides). This period demonstrated how France attempted to reconcile its revolutionary past with the desire for stability.
Definition: The Hundred Days refers to the period between Napoleon's return from Elba on March 1, 1815, and his final defeat at Waterloo on June 18, 1815, marking his last attempt to restore his empire.
The Second Treaty of Paris in 1815 imposed harsher terms on France than the first, reflecting the European powers' determination to prevent any future French military resurgence. This treaty redrew France's borders, required war reparations, and established a framework for post-Napoleonic European relations that would influence international politics for decades to come.
Our AI companion is specifically built for the needs of students. Based on the millions of content pieces we have on the platform we can provide truly meaningful and relevant answers to students. But its not only about answers, the companion is even more about guiding students through their daily learning challenges, with personalised study plans, quizzes or content pieces in the chat and 100% personalisation based on the students skills and developments.
You can download the app in the Google Play Store and in the Apple App Store.
That's right! Enjoy free access to study content, connect with fellow students, and get instant help – all at your fingertips.
App Store
Google Play
The app is very easy to use and well designed. I have found everything I was looking for so far and have been able to learn a lot from the presentations! I will definitely use the app for a class assignment! And of course it also helps a lot as an inspiration.
Stefan S
iOS user
This app is really great. There are so many study notes and help [...]. My problem subject is French, for example, and the app has so many options for help. Thanks to this app, I have improved my French. I would recommend it to anyone.
Samantha Klich
Android user
Wow, I am really amazed. I just tried the app because I've seen it advertised many times and was absolutely stunned. This app is THE HELP you want for school and above all, it offers so many things, such as workouts and fact sheets, which have been VERY helpful to me personally.
Anna
iOS user
I think it’s very much worth it and you’ll end up using it a lot once you get the hang of it and even after looking at others notes you can still ask your Artificial intelligence buddy the question and ask to simplify it if you still don’t get it!!! In the end I think it’s worth it 😊👍 ⚠️Also DID I MENTION ITS FREEE YOU DON’T HAVE TO PAY FOR ANYTHING AND STILL GET YOUR GRADES IN PERFECTLY❗️❗️⚠️
Thomas R
iOS user
Knowunity is the BEST app I’ve used in a minute. This is not an ai review or anything this is genuinely coming from a 7th grade student (I know 2011 im young) but dude this app is a 10/10 i have maintained a 3.8 gpa and have plenty of time for gaming. I love it and my mom is just happy I got good grades
Brad T
Android user
Not only did it help me find the answer but it also showed me alternative ways to solve it. I was horrible in math and science but now I have an a in both subjects. Thanks for the help🤍🤍
David K
iOS user
The app's just great! All I have to do is enter the topic in the search bar and I get the response real fast. I don't have to watch 10 YouTube videos to understand something, so I'm saving my time. Highly recommended!
Sudenaz Ocak
Android user
In school I was really bad at maths but thanks to the app, I am doing better now. I am so grateful that you made the app.
Greenlight Bonnie
Android user
I found this app a couple years ago and it has only gotten better since then. I really love it because it can help with written questions and photo questions. Also, it can find study guides that other people have made as well as flashcard sets and practice tests. The free version is also amazing for students who might not be able to afford it. Would 100% recommend
Aubrey
iOS user
Best app if you're in Highschool or Junior high. I have been using this app for 2 school years and it's the best, it's good if you don't have anyone to help you with school work.😋🩷🎀
Marco B
iOS user
THE QUIZES AND FLASHCARDS ARE SO USEFUL AND I LOVE Knowunity AI. IT ALSO IS LITREALLY LIKE CHATGPT BUT SMARTER!! HELPED ME WITH MY MASCARA PROBLEMS TOO!! AS WELL AS MY REAL SUBJECTS ! DUHHH 😍😁😲🤑💗✨🎀😮
Elisha
iOS user
This app is phenomenal down to the correct info and the various topics you can study! I greatly recommend it for people who struggle with procrastination and those who need homework help. It has been perfectly accurate for world 1 history as far as I’ve seen! Geometry too!
Paul T
iOS user
The app is very easy to use and well designed. I have found everything I was looking for so far and have been able to learn a lot from the presentations! I will definitely use the app for a class assignment! And of course it also helps a lot as an inspiration.
Stefan S
iOS user
This app is really great. There are so many study notes and help [...]. My problem subject is French, for example, and the app has so many options for help. Thanks to this app, I have improved my French. I would recommend it to anyone.
Samantha Klich
Android user
Wow, I am really amazed. I just tried the app because I've seen it advertised many times and was absolutely stunned. This app is THE HELP you want for school and above all, it offers so many things, such as workouts and fact sheets, which have been VERY helpful to me personally.
Anna
iOS user
I think it’s very much worth it and you’ll end up using it a lot once you get the hang of it and even after looking at others notes you can still ask your Artificial intelligence buddy the question and ask to simplify it if you still don’t get it!!! In the end I think it’s worth it 😊👍 ⚠️Also DID I MENTION ITS FREEE YOU DON’T HAVE TO PAY FOR ANYTHING AND STILL GET YOUR GRADES IN PERFECTLY❗️❗️⚠️
Thomas R
iOS user
Knowunity is the BEST app I’ve used in a minute. This is not an ai review or anything this is genuinely coming from a 7th grade student (I know 2011 im young) but dude this app is a 10/10 i have maintained a 3.8 gpa and have plenty of time for gaming. I love it and my mom is just happy I got good grades
Brad T
Android user
Not only did it help me find the answer but it also showed me alternative ways to solve it. I was horrible in math and science but now I have an a in both subjects. Thanks for the help🤍🤍
David K
iOS user
The app's just great! All I have to do is enter the topic in the search bar and I get the response real fast. I don't have to watch 10 YouTube videos to understand something, so I'm saving my time. Highly recommended!
Sudenaz Ocak
Android user
In school I was really bad at maths but thanks to the app, I am doing better now. I am so grateful that you made the app.
Greenlight Bonnie
Android user
I found this app a couple years ago and it has only gotten better since then. I really love it because it can help with written questions and photo questions. Also, it can find study guides that other people have made as well as flashcard sets and practice tests. The free version is also amazing for students who might not be able to afford it. Would 100% recommend
Aubrey
iOS user
Best app if you're in Highschool or Junior high. I have been using this app for 2 school years and it's the best, it's good if you don't have anyone to help you with school work.😋🩷🎀
Marco B
iOS user
THE QUIZES AND FLASHCARDS ARE SO USEFUL AND I LOVE Knowunity AI. IT ALSO IS LITREALLY LIKE CHATGPT BUT SMARTER!! HELPED ME WITH MY MASCARA PROBLEMS TOO!! AS WELL AS MY REAL SUBJECTS ! DUHHH 😍😁😲🤑💗✨🎀😮
Elisha
iOS user
This app is phenomenal down to the correct info and the various topics you can study! I greatly recommend it for people who struggle with procrastination and those who need homework help. It has been perfectly accurate for world 1 history as far as I’ve seen! Geometry too!
Paul T
iOS user
Siri Gowda
@sirigowda_jiau
The French Revolution marked a pivotal turning point in European history, largely triggered by a severe financial crisis in 1789 and the ineffective leadership of King Louis XVI.
France faced mounting debt due to its involvement in expensive wars,... Show more

Access to all documents
Improve your grades
Join milions of students
The French financial crisis of 1789 emerged from decades of mismanagement under three key rulers. Louis XVI, who ruled from 1774-1792, inherited a nation already crippled by debt from his predecessors Louis XIV and Louis XV. The crisis deepened due to France's involvement in expensive wars, including the American Revolution which cost over 400 million livres in aid to the colonies.
Was King Louis XVI a good king? Historical evidence suggests his reign was marked by indifference and incompetence. His wife Marie Antoinette was notorious for excessive spending, further straining the treasury. France's financial structure lacked uniformity across its 300 provinces, with different laws, weights, measurements, and tax systems in each region. The privileged First and Second Estates, comprising only 3% of the population, managed to exempt themselves from taxation while the Third Estate bore the primary tax burden.
Definition: The Three Estates System
- First Estate: Clergy (1% of population)
- Second Estate: Nobility (2% of population)
- Third Estate: Everyone else (97% of population)
The French bourgeoisie, consisting of educated middle-class citizens like doctors and bankers, possessed wealth without responsibility and intelligence without authority. Multiple finance ministers attempted reforms - Turgot (1776), Jacques Necker (1777), Calonne (1787), and Brienne (1788) - but faced resistance from nobles when trying to tax the privileged estates. This resistance ultimately led to the calling of the Estates General, which hadn't met since 1614.

Access to all documents
Improve your grades
Join milions of students
Why was the Estates General called? The mounting financial crisis and noble resistance to taxation forced Louis XVI to convene this ancient assembly in May 1789. The role of Estates General in French Revolution was pivotal, though not as intended. While the Third Estate received double representation (600 versus 300 for each other estate), voting remained by estate rather than by head, effectively nullifying their numerical advantage.
Highlight: The Third Estate's frustration with the voting system led to a revolutionary transformation of French governance.
The pamphlet "What is the Third Estate?" by Abbé Sieyès crystallized the grievances of the common people, declaring that the Third Estate was essentially France itself, while the privileged estates were mere parasites. After six weeks of stalemate, members of the Third Estate, joined by some progressive clergy and nobles, declared themselves the National Assembly.
What happened at the meeting of the Estates-General proved transformative when the king locked out the Third Estate delegates, leading to the famous Tennis Court Oath. Why was the Tennis Court Oath important? The delegates pledged to remain assembled until they created a constitution for France, effectively challenging royal authority and establishing France's first constitutional government.

Access to all documents
Improve your grades
Join milions of students
The storming of the Bastille on July 14, 1789, marked Day 1 of the French Revolution. This pivotal event occurred when Parisians, fearing an imminent military crackdown and seeking weapons, attacked the fortress-prison. Though only six prisoners were freed, the symbolic impact was enormous, representing the people's first major victory against royal authority.
Example: The Bastille's fall triggered the "Great Fear" - a wave of peasant uprisings across France where rural communities attacked noble estates and burned feudal documents.
The August 4 Decrees and the Declaration of the Rights of Man and Citizen followed, fundamentally transforming French society by abolishing feudal privileges and establishing basic rights. However, Louis XVI's reluctance to approve these measures and the ongoing food crisis led to the Women's March on Versailles in October 1789, forcing the royal family to relocate to Paris.

Access to all documents
Improve your grades
Join milions of students
The National Assembly attempted to stabilize France through various reforms, including the creation of the assignat currency backed by seized church lands. However, the Civil Constitution of the Clergy (1790) proved deeply divisive, requiring clergy to swear allegiance to the state and creating a rift with the Catholic Church.
Louis XVI's last words would come later, but his fate was essentially sealed by the Flight to Varennes in June 1791, when the royal family attempted to escape Paris. This failed escape attempt destroyed remaining trust in the monarchy and led to the creation of the Legislative Assembly, which limited royal power to a mere veto.
Quote: The Brunswick Manifesto of 1792 threatened: "We will restore order in France IF every country in Europe joins us" - a threat that would help radicalize the revolution.
The emergence of political clubs, particularly the Jacobins and Girondins, reflected growing ideological divisions that would shape the revolution's future course. The Declaration of Pillnitz and Brunswick Manifesto demonstrated growing international opposition to revolutionary France, setting the stage for future conflicts.

Access to all documents
Improve your grades
Join milions of students
The growing tensions in France erupted into open conflict when the Legislative Assembly declared war on Austria in April 1792. This decision was driven by multiple factors, including fear of the émigrés (nobles who had fled France) and growing distrust of the government. The situation became particularly tense when Austria threatened to destroy Paris if any harm came to the royal family.
A pivotal moment occurred on August 10, 1792, with what became known as the Second Revolution. The Jacobins and Liberals, frustrated with the existing government, stormed government buildings and established the National Convention and Paris Commune. George Danton, beloved for his role in writing the August 4 Decrees, emerged as a key figure in creating the new Paris city government.
The September Massacres of 1792 marked a dark turning point. Amid rumors that prisoners would escape and kill civilians, approximately 2,000 prisoners were executed. This led to the implementation of the guillotine, proposed by Dr. Guillotin as a more "humane" method of execution. The most significant execution came on January 21, 1793, when Louis XVI was found guilty of treason by a single vote (361-360) and subsequently executed alongside his wife Marie Antoinette.
Definition: Counter-revolutionary - Anyone opposed to the revolution's progress, typically conservatives, those in contact with émigrés, or clergy who refused to pledge allegiance to the new government.

Access to all documents
Improve your grades
Join milions of students
The Committee of Public Safety, initially created by George Danton but later led by Maximilien Robespierre, became the driving force behind the Reign of Terror. This 13-member committee maintained extensive surveillance over French citizens, seeking to identify and eliminate potential threats to the revolution.
The period from June 1793 to July 1794 saw approximately 40,000 executions under the Reign of Terror. Even George Danton, despite his earlier revolutionary credentials, fell victim to Robespierre's increasing paranoia and was executed as a counter-revolutionary. The situation reached a breaking point in the Thermidorian Reaction of July 1794, when Robespierre himself was arrested and executed.
Highlight: The Thermidorian Reaction marked the end of the Reign of Terror and initiated a shift back toward conservative power, leading to the "White Terror" - a period of conservative reprisals against revolutionaries.

Access to all documents
Improve your grades
Join milions of students
Napoleon Bonaparte's ascent began when he defended the National Convention from Sans-Culottes protesters, famously dispersing them with "a whiff of grapeshot." His military success led to rapid promotion and command of the Army of Italy, where he achieved significant victories against Austria.
The Directory, France's new five-man executive government, faced challenges from various quarters, including Gracchus Babeuf's "Conspiracy of Equals" - an early attempt to establish socialism in France. Napoleon's military successes, particularly in Italy and Egypt, enhanced his political standing despite setbacks like the Battle of the Nile.
Example: Napoleon's famous crossing of the Alps, immortalized in Jacques Louis David's painting, demonstrated his military prowess and growing legendary status.

Access to all documents
Improve your grades
Join milions of students
Through the Coup of Brumaire in 1799, Napoleon established the Consulate, effectively taking control of France. He systematically consolidated power through a series of plebiscites, eventually becoming Emperor. His reforms included reconciliation with the Church, welcoming back émigrés, and establishing the Napoleonic Code.
Napoleon's empire expanded through military victories at Ulm, Austerlitz, and Jena. He reshaped Europe, dissolving the Holy Roman Empire and establishing the Confederation of the Rhine. His Continental System, aimed at isolating Britain economically, led to conflicts in Spain and Portugal, culminating in the bloody Peninsular War.
Quote: "Thank God I have done my duty" - Admiral Horatio Nelson's famous last words at the Battle of Trafalgar, where Britain dealt a decisive blow to French naval power.

Access to all documents
Improve your grades
Join milions of students
The dramatic decline of Napoleon's empire began with a pivotal decision regarding the Continental System in 1811. When Russia withdrew from this economic blockade, Napoleon assembled his legendary Grand Armée - a massive force of 700,000 soldiers from France and allied nations, supported by 300,000 supply carriers. This military campaign would prove to be one of history's most catastrophic military failures.
The Russian campaign was marked by the devastating Battle of Borodino on September 13, 1812 - the bloodiest single-day battle of the Napoleonic Wars with 70,000 casualties. Though Napoleon's forces reached Moscow, they found an abandoned city. The Russians employed their famous "scorched earth" strategy, burning everything in their retreat and leaving Napoleon's army without supplies. In a shocking turn of events, released Russian prisoners set Moscow ablaze, forcing the French to retreat through the brutal Russian winter. Of Napoleon's massive invasion force, only 30,000 soldiers survived the Russian campaign.
Highlight: The Russian Campaign marked the beginning of Napoleon's downfall, with the loss of over 670,000 soldiers due to combat, starvation, and extreme winter conditions.
The defeat in Russia led to the Battle of Leipzig in 1813, where a coalition of European powers finally defeated Napoleon. The subsequent Treaty of Paris in 1814 exiled Napoleon to Elba and restored the French monarchy under Louis XVIII, brother of the executed Louis XVI. However, Napoleon's story wasn't over - he escaped from Elba, returning to France for the famous "Hundred Days." This brief return to power ended at the decisive Battle of Waterloo in June 1815, where British and Prussian forces defeated Napoleon's army. After a failed attempt to flee to America, Napoleon was captured and exiled to the remote island of St. Helena under the Second Treaty of Paris, where he would remain until his death.

Access to all documents
Improve your grades
Join milions of students
The aftermath of Napoleon's final defeat brought significant changes to France's political landscape. The restoration of the Bourbon monarchy under Louis XVIII marked a careful balance between the old regime and revolutionary reforms. While the monarchy was restored, France maintained many Napoleonic institutions, including the influential Napoleonic Code.
Louis XVIII's reign represented a compromise between revolutionary ideals and monarchical authority. He was required to accept constitutional limitations and could not pursue vengeance against those who had supported the revolution (the Regicides). This period demonstrated how France attempted to reconcile its revolutionary past with the desire for stability.
Definition: The Hundred Days refers to the period between Napoleon's return from Elba on March 1, 1815, and his final defeat at Waterloo on June 18, 1815, marking his last attempt to restore his empire.
The Second Treaty of Paris in 1815 imposed harsher terms on France than the first, reflecting the European powers' determination to prevent any future French military resurgence. This treaty redrew France's borders, required war reparations, and established a framework for post-Napoleonic European relations that would influence international politics for decades to come.
Our AI companion is specifically built for the needs of students. Based on the millions of content pieces we have on the platform we can provide truly meaningful and relevant answers to students. But its not only about answers, the companion is even more about guiding students through their daily learning challenges, with personalised study plans, quizzes or content pieces in the chat and 100% personalisation based on the students skills and developments.
You can download the app in the Google Play Store and in the Apple App Store.
That's right! Enjoy free access to study content, connect with fellow students, and get instant help – all at your fingertips.
7
Smart Tools NEW
Transform this note into: ✓ 50+ Practice Questions ✓ Interactive Flashcards ✓ Full Practice Test ✓ Essay Outlines
App Store
Google Play
The app is very easy to use and well designed. I have found everything I was looking for so far and have been able to learn a lot from the presentations! I will definitely use the app for a class assignment! And of course it also helps a lot as an inspiration.
Stefan S
iOS user
This app is really great. There are so many study notes and help [...]. My problem subject is French, for example, and the app has so many options for help. Thanks to this app, I have improved my French. I would recommend it to anyone.
Samantha Klich
Android user
Wow, I am really amazed. I just tried the app because I've seen it advertised many times and was absolutely stunned. This app is THE HELP you want for school and above all, it offers so many things, such as workouts and fact sheets, which have been VERY helpful to me personally.
Anna
iOS user
I think it’s very much worth it and you’ll end up using it a lot once you get the hang of it and even after looking at others notes you can still ask your Artificial intelligence buddy the question and ask to simplify it if you still don’t get it!!! In the end I think it’s worth it 😊👍 ⚠️Also DID I MENTION ITS FREEE YOU DON’T HAVE TO PAY FOR ANYTHING AND STILL GET YOUR GRADES IN PERFECTLY❗️❗️⚠️
Thomas R
iOS user
Knowunity is the BEST app I’ve used in a minute. This is not an ai review or anything this is genuinely coming from a 7th grade student (I know 2011 im young) but dude this app is a 10/10 i have maintained a 3.8 gpa and have plenty of time for gaming. I love it and my mom is just happy I got good grades
Brad T
Android user
Not only did it help me find the answer but it also showed me alternative ways to solve it. I was horrible in math and science but now I have an a in both subjects. Thanks for the help🤍🤍
David K
iOS user
The app's just great! All I have to do is enter the topic in the search bar and I get the response real fast. I don't have to watch 10 YouTube videos to understand something, so I'm saving my time. Highly recommended!
Sudenaz Ocak
Android user
In school I was really bad at maths but thanks to the app, I am doing better now. I am so grateful that you made the app.
Greenlight Bonnie
Android user
I found this app a couple years ago and it has only gotten better since then. I really love it because it can help with written questions and photo questions. Also, it can find study guides that other people have made as well as flashcard sets and practice tests. The free version is also amazing for students who might not be able to afford it. Would 100% recommend
Aubrey
iOS user
Best app if you're in Highschool or Junior high. I have been using this app for 2 school years and it's the best, it's good if you don't have anyone to help you with school work.😋🩷🎀
Marco B
iOS user
THE QUIZES AND FLASHCARDS ARE SO USEFUL AND I LOVE Knowunity AI. IT ALSO IS LITREALLY LIKE CHATGPT BUT SMARTER!! HELPED ME WITH MY MASCARA PROBLEMS TOO!! AS WELL AS MY REAL SUBJECTS ! DUHHH 😍😁😲🤑💗✨🎀😮
Elisha
iOS user
This app is phenomenal down to the correct info and the various topics you can study! I greatly recommend it for people who struggle with procrastination and those who need homework help. It has been perfectly accurate for world 1 history as far as I’ve seen! Geometry too!
Paul T
iOS user
The app is very easy to use and well designed. I have found everything I was looking for so far and have been able to learn a lot from the presentations! I will definitely use the app for a class assignment! And of course it also helps a lot as an inspiration.
Stefan S
iOS user
This app is really great. There are so many study notes and help [...]. My problem subject is French, for example, and the app has so many options for help. Thanks to this app, I have improved my French. I would recommend it to anyone.
Samantha Klich
Android user
Wow, I am really amazed. I just tried the app because I've seen it advertised many times and was absolutely stunned. This app is THE HELP you want for school and above all, it offers so many things, such as workouts and fact sheets, which have been VERY helpful to me personally.
Anna
iOS user
I think it’s very much worth it and you’ll end up using it a lot once you get the hang of it and even after looking at others notes you can still ask your Artificial intelligence buddy the question and ask to simplify it if you still don’t get it!!! In the end I think it’s worth it 😊👍 ⚠️Also DID I MENTION ITS FREEE YOU DON’T HAVE TO PAY FOR ANYTHING AND STILL GET YOUR GRADES IN PERFECTLY❗️❗️⚠️
Thomas R
iOS user
Knowunity is the BEST app I’ve used in a minute. This is not an ai review or anything this is genuinely coming from a 7th grade student (I know 2011 im young) but dude this app is a 10/10 i have maintained a 3.8 gpa and have plenty of time for gaming. I love it and my mom is just happy I got good grades
Brad T
Android user
Not only did it help me find the answer but it also showed me alternative ways to solve it. I was horrible in math and science but now I have an a in both subjects. Thanks for the help🤍🤍
David K
iOS user
The app's just great! All I have to do is enter the topic in the search bar and I get the response real fast. I don't have to watch 10 YouTube videos to understand something, so I'm saving my time. Highly recommended!
Sudenaz Ocak
Android user
In school I was really bad at maths but thanks to the app, I am doing better now. I am so grateful that you made the app.
Greenlight Bonnie
Android user
I found this app a couple years ago and it has only gotten better since then. I really love it because it can help with written questions and photo questions. Also, it can find study guides that other people have made as well as flashcard sets and practice tests. The free version is also amazing for students who might not be able to afford it. Would 100% recommend
Aubrey
iOS user
Best app if you're in Highschool or Junior high. I have been using this app for 2 school years and it's the best, it's good if you don't have anyone to help you with school work.😋🩷🎀
Marco B
iOS user
THE QUIZES AND FLASHCARDS ARE SO USEFUL AND I LOVE Knowunity AI. IT ALSO IS LITREALLY LIKE CHATGPT BUT SMARTER!! HELPED ME WITH MY MASCARA PROBLEMS TOO!! AS WELL AS MY REAL SUBJECTS ! DUHHH 😍😁😲🤑💗✨🎀😮
Elisha
iOS user
This app is phenomenal down to the correct info and the various topics you can study! I greatly recommend it for people who struggle with procrastination and those who need homework help. It has been perfectly accurate for world 1 history as far as I’ve seen! Geometry too!
Paul T
iOS user