The Parts of Speech are the building blocks of English... Show more
Sign up to see the contentIt's free!
Access to all documents
Improve your grades
Join milions of students
Knowunity AI
Subjects
Triangle Congruence and Similarity Theorems
Triangle Properties and Classification
Linear Equations and Graphs
Geometric Angle Relationships
Trigonometric Functions and Identities
Equation Solving Techniques
Circle Geometry Fundamentals
Division Operations and Methods
Basic Differentiation Rules
Exponent and Logarithm Properties
Show all topics
Human Organ Systems
Reproductive Cell Cycles
Biological Sciences Subdisciplines
Cellular Energy Metabolism
Autotrophic Energy Processes
Inheritance Patterns and Principles
Biomolecular Structure and Organization
Cell Cycle and Division Mechanics
Cellular Organization and Development
Biological Structural Organization
Show all topics
Chemical Sciences and Applications
Atomic Structure and Composition
Molecular Electron Structure Representation
Atomic Electron Behavior
Matter Properties and Water
Mole Concept and Calculations
Gas Laws and Behavior
Periodic Table Organization
Chemical Thermodynamics Fundamentals
Chemical Bond Types and Properties
Show all topics
European Renaissance and Enlightenment
European Cultural Movements 800-1920
American Revolution Era 1763-1797
American Civil War 1861-1865
Global Imperial Systems
Mongol and Chinese Dynasties
U.S. Presidents and World Leaders
Historical Sources and Documentation
World Wars Era and Impact
World Religious Systems
Show all topics
Classic and Contemporary Novels
Literary Character Analysis
Rhetorical Theory and Practice
Classic Literary Narratives
Reading Analysis and Interpretation
Narrative Structure and Techniques
English Language Components
Influential English-Language Authors
Basic Sentence Structure
Narrative Voice and Perspective
Show all topics
58
•
Updated May 1, 2026
•
Ivy
@ivy_zbah
The Parts of Speech are the building blocks of English... Show more







Verbs are the powerhouse of sentences, expressing actions or states of being. Every complete sentence needs a verb! There are two main types: action verbs tell what something does (like "bites" or "plant"), while linking verbs tell what something is (like "was" or "become").
When you need to create different tenses, you'll often use verb phrases that combine a main verb with helping verbs (be, am, is, was, have, could, will, etc.). For example, "Giselle will plant tulips" uses the helping verb "will" with the main verb "plant."
Some verbs can function as either action or linking verbs depending on context. Compare "Your homemade chili smells delicious" (linking) with "I can't smell anything with this cold" (action).
Pro Tip: When identifying verbs in sentences, first look for the action or state of being. If you can replace a verb with "is" and the sentence still makes sense, it's likely a linking verb!
Nouns name everything in our world! They can be:
Nouns can also be classified as concrete or abstract. Concrete nouns can be detected through your five senses (judge, dog, house), while abstract nouns name things you can't physically sense (afterthought, justice, nostalgia).
Remember that nouns function as the subjects of sentences or as objects of verbs and prepositions. The ability to identify different types of nouns will help you use them effectively in your writing.

Pronouns keep your writing from becoming repetitive by replacing nouns. The noun being replaced is called the antecedent. There are eight different types of pronouns, each with a specific function:
The most common pronoun mistake students make is confusing "who" (subject) with "whom" (object). Remember: "Who wins the race?" but "Whom did you call?"
Remember: Pronouns must clearly refer to their antecedents. If your reader can't tell which noun your pronoun is replacing, you have an ambiguous reference!

Conjunctions are the glue of language! These handy words connect other words, phrases, or clauses. There are four distinct types of conjunctions, each with its own role:
Coordinating conjunctions connect elements of equal importance. The seven coordinating conjunctions are easy to remember with the acronym FANBOYS: For, And, Nor, But, Or, Yet, So. They can join words ("lilacs and violets"), phrases, or independent clauses.
Subordinating conjunctions introduce dependent clauses and show relationships like time, cause, or condition. Common ones include "after," "because," "if," "when," "although," and "until." They help show which ideas are more important than others.
Correlative conjunctions always work in pairs to connect balanced elements. Examples include "both...and," "either...or," and "not only...but also." Notice how they maintain parallel structure in sentences.
Conjunctive adverbs connect independent clauses but aren't strong enough to do it alone—they need a semicolon before them. Words like "however," "therefore," "meanwhile," and "furthermore" fall into this category.
Quick Trick: If you're trying to join two complete sentences, you either need a coordinating conjunction with a comma, a subordinating conjunction to make one clause dependent, or a semicolon plus a conjunctive adverb!

Conjunctions are surprisingly powerful tools in your writing! They help establish the logical flow of your ideas and show relationships between different parts of your sentences.
Coordinating conjunctions (FANBOYS) join elements that have equal grammatical weight. When joining two independent clauses, remember to use a comma before the conjunction:
Subordinating conjunctions help show which ideas are most important. They introduce dependent clauses, which cannot stand alone as sentences:
Correlative conjunctions work in pairs to maintain balance in your sentences. Make sure the elements they join are grammatically parallel:
Conjunctive adverbs provide transitions between independent clauses. Unlike coordinating conjunctions, they require a semicolon before them and often (but not always) take a comma after them:
Writing Boost: Using a variety of conjunctions can transform your writing from simple, choppy sentences into smooth, complex ideas that show clear relationships. Try upgrading some of your "and" sentences with more specific conjunctions!

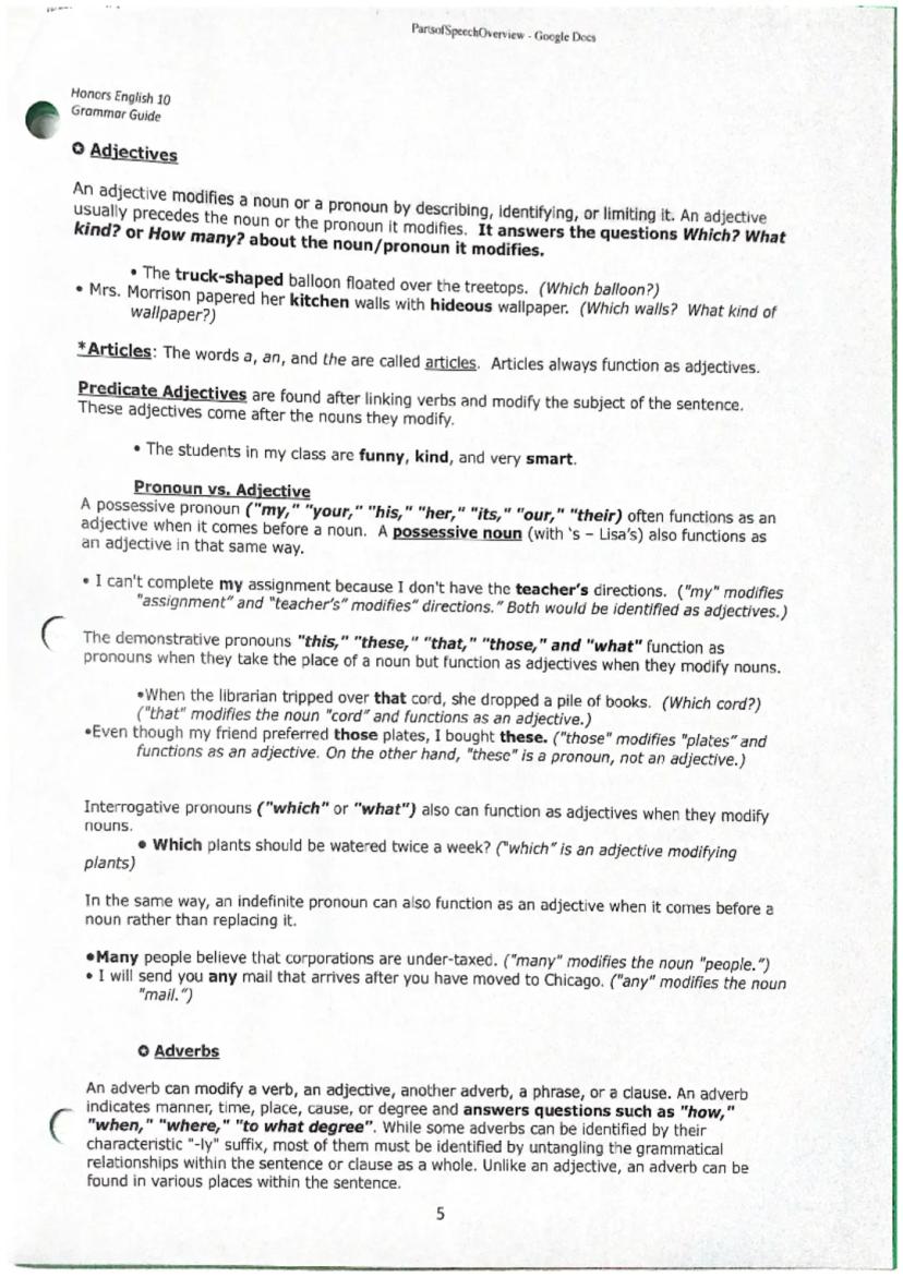
Adjectives add color and detail to your writing by modifying nouns and pronouns. They typically answer questions like "Which one?" "What kind?" or "How many?" Most adjectives come before the nouns they modify, but some follow linking verbs as predicate adjectives.
The three articles (a, an, the) are actually a special type of adjective. "The" is a definite article (specifying a particular item), while "a" and "an" are indefinite articles (referring to any member of a group).
Several words that function as other parts of speech can also work as adjectives:
When identifying adjectives, look for words that describe nouns. Not all descriptive words are adjectives, though—some may be adverbs modifying verbs instead!
Word Choice Tip: Strong, specific adjectives can transform bland writing. Instead of saying "The dog was big," try "The enormous, shaggy dog bounded across the yard." Just don't overuse them—too many adjectives can make your writing feel cluttered!

Adverbs are versatile modifiers that tell how, when, where, or to what degree something happens. Unlike adjectives (which modify nouns), adverbs can modify verbs, adjectives, other adverbs, phrases, or entire clauses.
While many adverbs end in "-ly" (quickly, unfortunately, expeditiously), many don't. Adverbs can appear almost anywhere in a sentence:
Conjunctive adverbs like "consequently," "however," and "furthermore" connect independent clauses but require a semicolon before them. They show relationships between ideas and help with transitions.
Prepositions show relationships involving time, space, or logic. A preposition always appears in a prepositional phrase, which includes the preposition plus its object and any modifiers. Common prepositions include "on," "in," "at," "by," "for," "with," and "about."
Prepositional phrases function as either adjectives or adverbs:
Writing Challenge: Identify all the prepositional phrases in a paragraph from your favorite book. Notice how they add detail about where, when, and how things happen!
Our AI companion is specifically built for the needs of students. Based on the millions of content pieces we have on the platform we can provide truly meaningful and relevant answers to students. But its not only about answers, the companion is even more about guiding students through their daily learning challenges, with personalised study plans, quizzes or content pieces in the chat and 100% personalisation based on the students skills and developments.
You can download the app in the Google Play Store and in the Apple App Store.
That's right! Enjoy free access to study content, connect with fellow students, and get instant help – all at your fingertips.
App Store
Google Play
The app is very easy to use and well designed. I have found everything I was looking for so far and have been able to learn a lot from the presentations! I will definitely use the app for a class assignment! And of course it also helps a lot as an inspiration.
Stefan S
iOS user
This app is really great. There are so many study notes and help [...]. My problem subject is French, for example, and the app has so many options for help. Thanks to this app, I have improved my French. I would recommend it to anyone.
Samantha Klich
Android user
Wow, I am really amazed. I just tried the app because I've seen it advertised many times and was absolutely stunned. This app is THE HELP you want for school and above all, it offers so many things, such as workouts and fact sheets, which have been VERY helpful to me personally.
Anna
iOS user
I think it’s very much worth it and you’ll end up using it a lot once you get the hang of it and even after looking at others notes you can still ask your Artificial intelligence buddy the question and ask to simplify it if you still don’t get it!!! In the end I think it’s worth it 😊👍 ⚠️Also DID I MENTION ITS FREEE YOU DON’T HAVE TO PAY FOR ANYTHING AND STILL GET YOUR GRADES IN PERFECTLY❗️❗️⚠️
Thomas R
iOS user
Knowunity is the BEST app I’ve used in a minute. This is not an ai review or anything this is genuinely coming from a 7th grade student (I know 2011 im young) but dude this app is a 10/10 i have maintained a 3.8 gpa and have plenty of time for gaming. I love it and my mom is just happy I got good grades
Brad T
Android user
Not only did it help me find the answer but it also showed me alternative ways to solve it. I was horrible in math and science but now I have an a in both subjects. Thanks for the help🤍🤍
David K
iOS user
The app's just great! All I have to do is enter the topic in the search bar and I get the response real fast. I don't have to watch 10 YouTube videos to understand something, so I'm saving my time. Highly recommended!
Sudenaz Ocak
Android user
In school I was really bad at maths but thanks to the app, I am doing better now. I am so grateful that you made the app.
Greenlight Bonnie
Android user
I found this app a couple years ago and it has only gotten better since then. I really love it because it can help with written questions and photo questions. Also, it can find study guides that other people have made as well as flashcard sets and practice tests. The free version is also amazing for students who might not be able to afford it. Would 100% recommend
Aubrey
iOS user
Best app if you're in Highschool or Junior high. I have been using this app for 2 school years and it's the best, it's good if you don't have anyone to help you with school work.😋🩷🎀
Marco B
iOS user
THE QUIZES AND FLASHCARDS ARE SO USEFUL AND I LOVE Knowunity AI. IT ALSO IS LITREALLY LIKE CHATGPT BUT SMARTER!! HELPED ME WITH MY MASCARA PROBLEMS TOO!! AS WELL AS MY REAL SUBJECTS ! DUHHH 😍😁😲🤑💗✨🎀😮
Elisha
iOS user
This app is phenomenal down to the correct info and the various topics you can study! I greatly recommend it for people who struggle with procrastination and those who need homework help. It has been perfectly accurate for world 1 history as far as I’ve seen! Geometry too!
Paul T
iOS user
The app is very easy to use and well designed. I have found everything I was looking for so far and have been able to learn a lot from the presentations! I will definitely use the app for a class assignment! And of course it also helps a lot as an inspiration.
Stefan S
iOS user
This app is really great. There are so many study notes and help [...]. My problem subject is French, for example, and the app has so many options for help. Thanks to this app, I have improved my French. I would recommend it to anyone.
Samantha Klich
Android user
Wow, I am really amazed. I just tried the app because I've seen it advertised many times and was absolutely stunned. This app is THE HELP you want for school and above all, it offers so many things, such as workouts and fact sheets, which have been VERY helpful to me personally.
Anna
iOS user
I think it’s very much worth it and you’ll end up using it a lot once you get the hang of it and even after looking at others notes you can still ask your Artificial intelligence buddy the question and ask to simplify it if you still don’t get it!!! In the end I think it’s worth it 😊👍 ⚠️Also DID I MENTION ITS FREEE YOU DON’T HAVE TO PAY FOR ANYTHING AND STILL GET YOUR GRADES IN PERFECTLY❗️❗️⚠️
Thomas R
iOS user
Knowunity is the BEST app I’ve used in a minute. This is not an ai review or anything this is genuinely coming from a 7th grade student (I know 2011 im young) but dude this app is a 10/10 i have maintained a 3.8 gpa and have plenty of time for gaming. I love it and my mom is just happy I got good grades
Brad T
Android user
Not only did it help me find the answer but it also showed me alternative ways to solve it. I was horrible in math and science but now I have an a in both subjects. Thanks for the help🤍🤍
David K
iOS user
The app's just great! All I have to do is enter the topic in the search bar and I get the response real fast. I don't have to watch 10 YouTube videos to understand something, so I'm saving my time. Highly recommended!
Sudenaz Ocak
Android user
In school I was really bad at maths but thanks to the app, I am doing better now. I am so grateful that you made the app.
Greenlight Bonnie
Android user
I found this app a couple years ago and it has only gotten better since then. I really love it because it can help with written questions and photo questions. Also, it can find study guides that other people have made as well as flashcard sets and practice tests. The free version is also amazing for students who might not be able to afford it. Would 100% recommend
Aubrey
iOS user
Best app if you're in Highschool or Junior high. I have been using this app for 2 school years and it's the best, it's good if you don't have anyone to help you with school work.😋🩷🎀
Marco B
iOS user
THE QUIZES AND FLASHCARDS ARE SO USEFUL AND I LOVE Knowunity AI. IT ALSO IS LITREALLY LIKE CHATGPT BUT SMARTER!! HELPED ME WITH MY MASCARA PROBLEMS TOO!! AS WELL AS MY REAL SUBJECTS ! DUHHH 😍😁😲🤑💗✨🎀😮
Elisha
iOS user
This app is phenomenal down to the correct info and the various topics you can study! I greatly recommend it for people who struggle with procrastination and those who need homework help. It has been perfectly accurate for world 1 history as far as I’ve seen! Geometry too!
Paul T
iOS user
Ivy
@ivy_zbah
The Parts of Speech are the building blocks of English language that help us construct meaningful sentences. Understanding these different word types and how they function will make you a stronger writer and help you analyze texts more effectively. Let's... Show more

Access to all documents
Improve your grades
Join milions of students
Verbs are the powerhouse of sentences, expressing actions or states of being. Every complete sentence needs a verb! There are two main types: action verbs tell what something does (like "bites" or "plant"), while linking verbs tell what something is (like "was" or "become").
When you need to create different tenses, you'll often use verb phrases that combine a main verb with helping verbs (be, am, is, was, have, could, will, etc.). For example, "Giselle will plant tulips" uses the helping verb "will" with the main verb "plant."
Some verbs can function as either action or linking verbs depending on context. Compare "Your homemade chili smells delicious" (linking) with "I can't smell anything with this cold" (action).
Pro Tip: When identifying verbs in sentences, first look for the action or state of being. If you can replace a verb with "is" and the sentence still makes sense, it's likely a linking verb!
Nouns name everything in our world! They can be:
Nouns can also be classified as concrete or abstract. Concrete nouns can be detected through your five senses (judge, dog, house), while abstract nouns name things you can't physically sense (afterthought, justice, nostalgia).
Remember that nouns function as the subjects of sentences or as objects of verbs and prepositions. The ability to identify different types of nouns will help you use them effectively in your writing.

Access to all documents
Improve your grades
Join milions of students
Pronouns keep your writing from becoming repetitive by replacing nouns. The noun being replaced is called the antecedent. There are eight different types of pronouns, each with a specific function:
The most common pronoun mistake students make is confusing "who" (subject) with "whom" (object). Remember: "Who wins the race?" but "Whom did you call?"
Remember: Pronouns must clearly refer to their antecedents. If your reader can't tell which noun your pronoun is replacing, you have an ambiguous reference!

Access to all documents
Improve your grades
Join milions of students
Conjunctions are the glue of language! These handy words connect other words, phrases, or clauses. There are four distinct types of conjunctions, each with its own role:
Coordinating conjunctions connect elements of equal importance. The seven coordinating conjunctions are easy to remember with the acronym FANBOYS: For, And, Nor, But, Or, Yet, So. They can join words ("lilacs and violets"), phrases, or independent clauses.
Subordinating conjunctions introduce dependent clauses and show relationships like time, cause, or condition. Common ones include "after," "because," "if," "when," "although," and "until." They help show which ideas are more important than others.
Correlative conjunctions always work in pairs to connect balanced elements. Examples include "both...and," "either...or," and "not only...but also." Notice how they maintain parallel structure in sentences.
Conjunctive adverbs connect independent clauses but aren't strong enough to do it alone—they need a semicolon before them. Words like "however," "therefore," "meanwhile," and "furthermore" fall into this category.
Quick Trick: If you're trying to join two complete sentences, you either need a coordinating conjunction with a comma, a subordinating conjunction to make one clause dependent, or a semicolon plus a conjunctive adverb!

Access to all documents
Improve your grades
Join milions of students
Conjunctions are surprisingly powerful tools in your writing! They help establish the logical flow of your ideas and show relationships between different parts of your sentences.
Coordinating conjunctions (FANBOYS) join elements that have equal grammatical weight. When joining two independent clauses, remember to use a comma before the conjunction:
Subordinating conjunctions help show which ideas are most important. They introduce dependent clauses, which cannot stand alone as sentences:
Correlative conjunctions work in pairs to maintain balance in your sentences. Make sure the elements they join are grammatically parallel:
Conjunctive adverbs provide transitions between independent clauses. Unlike coordinating conjunctions, they require a semicolon before them and often (but not always) take a comma after them:
Writing Boost: Using a variety of conjunctions can transform your writing from simple, choppy sentences into smooth, complex ideas that show clear relationships. Try upgrading some of your "and" sentences with more specific conjunctions!

Access to all documents
Improve your grades
Join milions of students
Adjectives add color and detail to your writing by modifying nouns and pronouns. They typically answer questions like "Which one?" "What kind?" or "How many?" Most adjectives come before the nouns they modify, but some follow linking verbs as predicate adjectives.
The three articles (a, an, the) are actually a special type of adjective. "The" is a definite article (specifying a particular item), while "a" and "an" are indefinite articles (referring to any member of a group).
Several words that function as other parts of speech can also work as adjectives:
When identifying adjectives, look for words that describe nouns. Not all descriptive words are adjectives, though—some may be adverbs modifying verbs instead!
Word Choice Tip: Strong, specific adjectives can transform bland writing. Instead of saying "The dog was big," try "The enormous, shaggy dog bounded across the yard." Just don't overuse them—too many adjectives can make your writing feel cluttered!

Access to all documents
Improve your grades
Join milions of students
Adverbs are versatile modifiers that tell how, when, where, or to what degree something happens. Unlike adjectives (which modify nouns), adverbs can modify verbs, adjectives, other adverbs, phrases, or entire clauses.
While many adverbs end in "-ly" (quickly, unfortunately, expeditiously), many don't. Adverbs can appear almost anywhere in a sentence:
Conjunctive adverbs like "consequently," "however," and "furthermore" connect independent clauses but require a semicolon before them. They show relationships between ideas and help with transitions.
Prepositions show relationships involving time, space, or logic. A preposition always appears in a prepositional phrase, which includes the preposition plus its object and any modifiers. Common prepositions include "on," "in," "at," "by," "for," "with," and "about."
Prepositional phrases function as either adjectives or adverbs:
Writing Challenge: Identify all the prepositional phrases in a paragraph from your favorite book. Notice how they add detail about where, when, and how things happen!
Our AI companion is specifically built for the needs of students. Based on the millions of content pieces we have on the platform we can provide truly meaningful and relevant answers to students. But its not only about answers, the companion is even more about guiding students through their daily learning challenges, with personalised study plans, quizzes or content pieces in the chat and 100% personalisation based on the students skills and developments.
You can download the app in the Google Play Store and in the Apple App Store.
That's right! Enjoy free access to study content, connect with fellow students, and get instant help – all at your fingertips.
2
Smart Tools NEW
Transform this note into: ✓ 50+ Practice Questions ✓ Interactive Flashcards ✓ Full Practice Test ✓ Essay Outlines
What are the different parts of speech?
Word Choice. In your own words. sentence structure. tone. effective intro. link
Learn about the persuasive techniques of ethos, pathos, and logos and how they are used in advertising and writing to influence opinions and emotions.
Vocabulary
These are my notes on sentence structure and my examples. Hopefully these can help you with your essay writing.
Exploring critical analysis, independent reading, and research skills in literature studies.
App Store
Google Play
The app is very easy to use and well designed. I have found everything I was looking for so far and have been able to learn a lot from the presentations! I will definitely use the app for a class assignment! And of course it also helps a lot as an inspiration.
Stefan S
iOS user
This app is really great. There are so many study notes and help [...]. My problem subject is French, for example, and the app has so many options for help. Thanks to this app, I have improved my French. I would recommend it to anyone.
Samantha Klich
Android user
Wow, I am really amazed. I just tried the app because I've seen it advertised many times and was absolutely stunned. This app is THE HELP you want for school and above all, it offers so many things, such as workouts and fact sheets, which have been VERY helpful to me personally.
Anna
iOS user
I think it’s very much worth it and you’ll end up using it a lot once you get the hang of it and even after looking at others notes you can still ask your Artificial intelligence buddy the question and ask to simplify it if you still don’t get it!!! In the end I think it’s worth it 😊👍 ⚠️Also DID I MENTION ITS FREEE YOU DON’T HAVE TO PAY FOR ANYTHING AND STILL GET YOUR GRADES IN PERFECTLY❗️❗️⚠️
Thomas R
iOS user
Knowunity is the BEST app I’ve used in a minute. This is not an ai review or anything this is genuinely coming from a 7th grade student (I know 2011 im young) but dude this app is a 10/10 i have maintained a 3.8 gpa and have plenty of time for gaming. I love it and my mom is just happy I got good grades
Brad T
Android user
Not only did it help me find the answer but it also showed me alternative ways to solve it. I was horrible in math and science but now I have an a in both subjects. Thanks for the help🤍🤍
David K
iOS user
The app's just great! All I have to do is enter the topic in the search bar and I get the response real fast. I don't have to watch 10 YouTube videos to understand something, so I'm saving my time. Highly recommended!
Sudenaz Ocak
Android user
In school I was really bad at maths but thanks to the app, I am doing better now. I am so grateful that you made the app.
Greenlight Bonnie
Android user
I found this app a couple years ago and it has only gotten better since then. I really love it because it can help with written questions and photo questions. Also, it can find study guides that other people have made as well as flashcard sets and practice tests. The free version is also amazing for students who might not be able to afford it. Would 100% recommend
Aubrey
iOS user
Best app if you're in Highschool or Junior high. I have been using this app for 2 school years and it's the best, it's good if you don't have anyone to help you with school work.😋🩷🎀
Marco B
iOS user
THE QUIZES AND FLASHCARDS ARE SO USEFUL AND I LOVE Knowunity AI. IT ALSO IS LITREALLY LIKE CHATGPT BUT SMARTER!! HELPED ME WITH MY MASCARA PROBLEMS TOO!! AS WELL AS MY REAL SUBJECTS ! DUHHH 😍😁😲🤑💗✨🎀😮
Elisha
iOS user
This app is phenomenal down to the correct info and the various topics you can study! I greatly recommend it for people who struggle with procrastination and those who need homework help. It has been perfectly accurate for world 1 history as far as I’ve seen! Geometry too!
Paul T
iOS user
The app is very easy to use and well designed. I have found everything I was looking for so far and have been able to learn a lot from the presentations! I will definitely use the app for a class assignment! And of course it also helps a lot as an inspiration.
Stefan S
iOS user
This app is really great. There are so many study notes and help [...]. My problem subject is French, for example, and the app has so many options for help. Thanks to this app, I have improved my French. I would recommend it to anyone.
Samantha Klich
Android user
Wow, I am really amazed. I just tried the app because I've seen it advertised many times and was absolutely stunned. This app is THE HELP you want for school and above all, it offers so many things, such as workouts and fact sheets, which have been VERY helpful to me personally.
Anna
iOS user
I think it’s very much worth it and you’ll end up using it a lot once you get the hang of it and even after looking at others notes you can still ask your Artificial intelligence buddy the question and ask to simplify it if you still don’t get it!!! In the end I think it’s worth it 😊👍 ⚠️Also DID I MENTION ITS FREEE YOU DON’T HAVE TO PAY FOR ANYTHING AND STILL GET YOUR GRADES IN PERFECTLY❗️❗️⚠️
Thomas R
iOS user
Knowunity is the BEST app I’ve used in a minute. This is not an ai review or anything this is genuinely coming from a 7th grade student (I know 2011 im young) but dude this app is a 10/10 i have maintained a 3.8 gpa and have plenty of time for gaming. I love it and my mom is just happy I got good grades
Brad T
Android user
Not only did it help me find the answer but it also showed me alternative ways to solve it. I was horrible in math and science but now I have an a in both subjects. Thanks for the help🤍🤍
David K
iOS user
The app's just great! All I have to do is enter the topic in the search bar and I get the response real fast. I don't have to watch 10 YouTube videos to understand something, so I'm saving my time. Highly recommended!
Sudenaz Ocak
Android user
In school I was really bad at maths but thanks to the app, I am doing better now. I am so grateful that you made the app.
Greenlight Bonnie
Android user
I found this app a couple years ago and it has only gotten better since then. I really love it because it can help with written questions and photo questions. Also, it can find study guides that other people have made as well as flashcard sets and practice tests. The free version is also amazing for students who might not be able to afford it. Would 100% recommend
Aubrey
iOS user
Best app if you're in Highschool or Junior high. I have been using this app for 2 school years and it's the best, it's good if you don't have anyone to help you with school work.😋🩷🎀
Marco B
iOS user
THE QUIZES AND FLASHCARDS ARE SO USEFUL AND I LOVE Knowunity AI. IT ALSO IS LITREALLY LIKE CHATGPT BUT SMARTER!! HELPED ME WITH MY MASCARA PROBLEMS TOO!! AS WELL AS MY REAL SUBJECTS ! DUHHH 😍😁😲🤑💗✨🎀😮
Elisha
iOS user
This app is phenomenal down to the correct info and the various topics you can study! I greatly recommend it for people who struggle with procrastination and those who need homework help. It has been perfectly accurate for world 1 history as far as I’ve seen! Geometry too!
Paul T
iOS user