The Chain Rule is a powerful technique in calculus that... Show more
Sign up to see the contentIt's free!
Access to all documents
Improve your grades
Join milions of students
Knowunity AI
Subjects
Triangle Congruence and Similarity Theorems
Triangle Properties and Classification
Linear Equations and Graphs
Geometric Angle Relationships
Trigonometric Functions and Identities
Equation Solving Techniques
Circle Geometry Fundamentals
Division Operations and Methods
Basic Differentiation Rules
Exponent and Logarithm Properties
Show all topics
Human Organ Systems
Reproductive Cell Cycles
Biological Sciences Subdisciplines
Cellular Energy Metabolism
Autotrophic Energy Processes
Inheritance Patterns and Principles
Biomolecular Structure and Organization
Cell Cycle and Division Mechanics
Cellular Organization and Development
Biological Structural Organization
Show all topics
Chemical Sciences and Applications
Atomic Structure and Composition
Molecular Electron Structure Representation
Atomic Electron Behavior
Matter Properties and Water
Mole Concept and Calculations
Gas Laws and Behavior
Periodic Table Organization
Chemical Thermodynamics Fundamentals
Chemical Bond Types and Properties
Show all topics
European Renaissance and Enlightenment
European Cultural Movements 800-1920
American Revolution Era 1763-1797
American Civil War 1861-1865
Global Imperial Systems
Mongol and Chinese Dynasties
U.S. Presidents and World Leaders
Historical Sources and Documentation
World Wars Era and Impact
World Religious Systems
Show all topics
Classic and Contemporary Novels
Literary Character Analysis
Rhetorical Theory and Practice
Classic Literary Narratives
Reading Analysis and Interpretation
Narrative Structure and Techniques
English Language Components
Influential English-Language Authors
Basic Sentence Structure
Narrative Voice and Perspective
Show all topics
187
•
Updated Feb 22, 2026
•
Shreya Bedi
@shreyabedi_oyaa
The Chain Rule is a powerful technique in calculus that... Show more











Ever wonder how to find the derivative when one function is inside another? The Chain Rule is your answer! If F(x) = f(g(x)), then F'(x) = f'(g(x)) · g'(x). Think of it as working from the outside in.
For example, with a function like f(x) = sin(cos(tan(x))), you'd differentiate the outer sine function first, then the cosine, and finally the tangent. This helps break down complex problems into manageable pieces.
When dealing with exponential functions, remember that the derivative of a base b raised to a power is: . This formula will save you tons of time on exams!
Pro Tip: When applying the Chain Rule, identify the "outside" function and the "inside" function first. Differentiate the outside function and evaluate it at the inside function, then multiply by the derivative of the inside function.
Working with the Chain Rule takes practice, but once you master it, you'll be able to differentiate even the most complicated functions with confidence!

Ready to level up your Chain Rule skills? Let's look at some more complex examples. When dealing with nested functions like y = e^, you need to apply the Chain Rule multiple times - once for each layer of the function.
For functions involving multiple operations like F(x) = ^6, identify the outside function (the power of 6) and the inside function , then apply the Chain Rule systematically.
Composite functions like F(x) = f(f(x)) require special attention. Here, the derivative is F'(x) = f'(f(x)) · f'(x). When you have specific values given , you can substitute these values to find the derivative at a point.
For a function h(x) = √, you'd rewrite it as ^(1/2), then apply the Chain Rule to find: h'(x) = (1/2)^(-1/2) · 5f'(x)
Remember: When functions are combined in complex ways, breaking them down into simpler pieces and applying the Chain Rule step by step will help you avoid mistakes.
With practice, you'll start to see patterns in these problems, making them much easier to solve!

Sometimes you'll encounter equations where y isn't explicitly defined in terms of x. That's where implicit differentiation comes in handy! Instead of isolating y, you differentiate both sides of the equation with respect to x.
For example, with x^2 + y^2 = 4, differentiate both sides to get 2x + 2y·y' = 0, then solve for y'. Remember to use the Chain Rule when differentiating terms containing y, since y is a function of x.
When working with composite functions like h(x) = x^2·f(x)·g(x), use the product rule along with the Chain Rule. Break it down step by step, identifying each function and applying the appropriate differentiation rules.
Exponential functions like f(x) = xe^x differentiate to f'(x) = xe^x + e^x = e^x, using both the product rule and knowing that the derivative of e^x is itself.
Quick Trick: For differential equations like y'' - 6y' - 2y = 0, substitute y = e^rx and solve for r to find the general solution. This technique is essential for higher-level calculus and differential equations.
Mastering implicit differentiation gives you a powerful tool for handling complex relationships between variables without having to solve for one variable explicitly.

When two or more related quantities change over time, we use the Chain Rule to establish relationships between their rates of change. This application is called related rates and appears frequently in real-world problems.
For instance, in problems where x and y are related by an equation like x-y^2=4, we can differentiate implicitly to find the relationship between dx/dt and dy/dt. This technique helps solve practical problems about changing volumes, distances, or angles.
The derivative of inverse functions follows a special relationship: if g(x) = f^-1(x), then g'(x) = 1/f'(g(x)). This formula is incredibly useful when working with logarithmic and trigonometric functions.
For trigonometric inverse functions, memorize these derivatives:
Important: When working with implicit differentiation, remember to apply the Chain Rule to every term containing y, since y is a function of x. Then collect all terms with y' and solve for y'.
These techniques may seem challenging at first, but with practice, you'll be able to apply them confidently to a wide range of problems.

Ready to tackle more complex equations? When working with equations like x^2 + y^2 = 4, differentiating both sides gives you 2x + 2yy' = 0, which you can rearrange to find y' = -x/y. This is the slope of the tangent line at any point on the circle.
Equations involving trigonometric functions like x·sin(y) + y·sin(x) = 5 require careful application of both the product rule and Chain Rule. Remember to collect all terms with y' on one side of the equation before solving.
For a practical approach to implicit differentiation:
When working with exponential and logarithmic terms like xe^y = x - y, use both the product rule and Chain Rule, then carefully isolate y' in your final answer.
Challenge Yourself: Try finding the derivative of complex equations like x^2/x+y = y^2 + 9 using implicit differentiation. These problems test your understanding of both the Chain Rule and algebraic manipulation.
Mastering implicit differentiation allows you to find derivatives for relationships that would be difficult or impossible to express as y = f(x).

When working with inverse trigonometric functions, specific derivative formulas make calculations much simpler. For example, the derivative of tan^-1(7x) is 7/, and the derivative of sin^-1 is 2/√.
Some problems require multiple applications of the Chain Rule. For y = 7·tan^-1, you need to find the derivative of the inside expression first, then apply the formula for the derivative of tan^-1.
Remember these key derivative formulas:
For problems like h(t) = 17·cot(t) + 17·cot^-1, apply the derivative formulas for each term, then simplify the resulting expression.
Simplification Tip: After finding derivatives of complex expressions, look for common factors and algebraic simplifications that can make your answer more elegant. In many cases, terms will cancel out completely!
The beauty of these techniques is that they allow you to differentiate highly complex functions by breaking them down into manageable pieces and applying the Chain Rule systematically.

When you have an implicit equation like x^2·y + 2xy = 48 at the point (6,1), you can find the slope of the tangent line using implicit differentiation. This gives you y' = -7/18 at that point.
With the slope and point, you can write the equation of the tangent line using point-slope form: y - 1 = (-7/18). This can be simplified to y = (-7/18) + 1.
For normal lines (perpendicular to tangent lines), you'll use the negative reciprocal of the slope. If a tangent line has slope -7/18, the normal line would have slope 18/7.
When working with equations like 2y = √, use implicit differentiation to find dy/dx. Rewrite as 2y = ^(1/2), then differentiate both sides: 2 = ^(-1/2) ·
Solving for y' gives you the slope at any point on the curve.
Practical Application: Finding tangent and normal lines is essential in physics for understanding motion along curves, in engineering for designing structures, and in computer graphics for rendering smooth surfaces.
The ability to find tangent lines to curves defined implicitly opens up a whole world of applications in both pure and applied mathematics!

When dealing with expressions that involve fractions, like y' = -y/, the quotient rule is your go-to tool. Remember the formula: ' = /.
For implicit equations like xy + 2e^y = 2e, differentiate both sides to get x·y' + y + 2e^y·y' = 0, then solve for y'. If y = 1 where x = 0, you can substitute these values to find y' = -1/.
To find the second derivative (y''), use the quotient rule on y', treating it as a fraction. This involves finding the derivative of the numerator and denominator separately.
For simple equations like x^2 + y = 4, implicit differentiation gives 2x + y' = 0, so y' = -2x. This direct approach works well for less complicated expressions.
Simplification Strategy: After finding y' using implicit differentiation, look for ways to simplify your answer. Sometimes substituting the original equation can lead to elegant simplifications.
These techniques are particularly valuable in calculus applications where you need to analyze how quantities change in relation to each other without explicitly solving for one variable.

Logarithmic differentiation is a powerful technique for differentiating complicated expressions, especially those with variable exponents or multiple products. The key formula to remember is: d/dx(ln x) = 1/x.
For functions like f(x) = ln, apply the Chain Rule: f'(x) = 1/ · = /. Note that the domain is restricted to x < 0 or x > 6, where the expression inside the logarithm is positive.
When differentiating expressions like y = ^ln(x⁴), take the natural logarithm of both sides first: ln y = ln^ln(x⁴) = ln(x⁴) · ln
Then differentiate implicitly with respect to x, and solve for y'.
For products and quotients, logarithmic differentiation simplifies the process. With y = √, take ln of both sides: ln y = (1/2)
Time-Saving Trick: When dealing with expressions that have variable exponents or multiple products and quotients, logarithmic differentiation is often much faster than applying the product, quotient, and power rules directly.
This technique transforms difficult differentiation problems into more manageable ones, making it an essential tool in your calculus toolkit!

Knowing specialized derivative formulas will save you time on tests and help you solve complex problems. For logarithms with different bases, remember: d/dx = 1/(x·ln b).
When differentiating f(x) = log₅, apply the Chain Rule: f'(x) = 1/ · 2x = 2x/.
For expressions with variable exponents like y = x^(4cosx), logarithmic differentiation is your best approach: ln y = 4cosx · ln x y' = 4x^(4cosx) ·
Some logarithmic functions have elegant derivatives. For h(x) = ln, the derivative simplifies beautifully to h'(x) = 1/√.
Remember these key inverse trigonometric derivatives:
Formula Sheet Tip: Create a reference sheet with these specialized derivatives. Having them at your fingertips will make tackling complex differentiation problems much easier.
Mastering these formulas gives you the tools to differentiate virtually any function you'll encounter in your calculus course!
Our AI companion is specifically built for the needs of students. Based on the millions of content pieces we have on the platform we can provide truly meaningful and relevant answers to students. But its not only about answers, the companion is even more about guiding students through their daily learning challenges, with personalised study plans, quizzes or content pieces in the chat and 100% personalisation based on the students skills and developments.
You can download the app in the Google Play Store and in the Apple App Store.
That's right! Enjoy free access to study content, connect with fellow students, and get instant help – all at your fingertips.
App Store
Google Play
The app is very easy to use and well designed. I have found everything I was looking for so far and have been able to learn a lot from the presentations! I will definitely use the app for a class assignment! And of course it also helps a lot as an inspiration.
Stefan S
iOS user
This app is really great. There are so many study notes and help [...]. My problem subject is French, for example, and the app has so many options for help. Thanks to this app, I have improved my French. I would recommend it to anyone.
Samantha Klich
Android user
Wow, I am really amazed. I just tried the app because I've seen it advertised many times and was absolutely stunned. This app is THE HELP you want for school and above all, it offers so many things, such as workouts and fact sheets, which have been VERY helpful to me personally.
Anna
iOS user
I think it’s very much worth it and you’ll end up using it a lot once you get the hang of it and even after looking at others notes you can still ask your Artificial intelligence buddy the question and ask to simplify it if you still don’t get it!!! In the end I think it’s worth it 😊👍 ⚠️Also DID I MENTION ITS FREEE YOU DON’T HAVE TO PAY FOR ANYTHING AND STILL GET YOUR GRADES IN PERFECTLY❗️❗️⚠️
Thomas R
iOS user
Knowunity is the BEST app I’ve used in a minute. This is not an ai review or anything this is genuinely coming from a 7th grade student (I know 2011 im young) but dude this app is a 10/10 i have maintained a 3.8 gpa and have plenty of time for gaming. I love it and my mom is just happy I got good grades
Brad T
Android user
Not only did it help me find the answer but it also showed me alternative ways to solve it. I was horrible in math and science but now I have an a in both subjects. Thanks for the help🤍🤍
David K
iOS user
The app's just great! All I have to do is enter the topic in the search bar and I get the response real fast. I don't have to watch 10 YouTube videos to understand something, so I'm saving my time. Highly recommended!
Sudenaz Ocak
Android user
In school I was really bad at maths but thanks to the app, I am doing better now. I am so grateful that you made the app.
Greenlight Bonnie
Android user
I found this app a couple years ago and it has only gotten better since then. I really love it because it can help with written questions and photo questions. Also, it can find study guides that other people have made as well as flashcard sets and practice tests. The free version is also amazing for students who might not be able to afford it. Would 100% recommend
Aubrey
iOS user
Best app if you're in Highschool or Junior high. I have been using this app for 2 school years and it's the best, it's good if you don't have anyone to help you with school work.😋🩷🎀
Marco B
iOS user
THE QUIZES AND FLASHCARDS ARE SO USEFUL AND I LOVE Knowunity AI. IT ALSO IS LITREALLY LIKE CHATGPT BUT SMARTER!! HELPED ME WITH MY MASCARA PROBLEMS TOO!! AS WELL AS MY REAL SUBJECTS ! DUHHH 😍😁😲🤑💗✨🎀😮
Elisha
iOS user
This app is phenomenal down to the correct info and the various topics you can study! I greatly recommend it for people who struggle with procrastination and those who need homework help. It has been perfectly accurate for world 1 history as far as I’ve seen! Geometry too!
Paul T
iOS user
The app is very easy to use and well designed. I have found everything I was looking for so far and have been able to learn a lot from the presentations! I will definitely use the app for a class assignment! And of course it also helps a lot as an inspiration.
Stefan S
iOS user
This app is really great. There are so many study notes and help [...]. My problem subject is French, for example, and the app has so many options for help. Thanks to this app, I have improved my French. I would recommend it to anyone.
Samantha Klich
Android user
Wow, I am really amazed. I just tried the app because I've seen it advertised many times and was absolutely stunned. This app is THE HELP you want for school and above all, it offers so many things, such as workouts and fact sheets, which have been VERY helpful to me personally.
Anna
iOS user
I think it’s very much worth it and you’ll end up using it a lot once you get the hang of it and even after looking at others notes you can still ask your Artificial intelligence buddy the question and ask to simplify it if you still don’t get it!!! In the end I think it’s worth it 😊👍 ⚠️Also DID I MENTION ITS FREEE YOU DON’T HAVE TO PAY FOR ANYTHING AND STILL GET YOUR GRADES IN PERFECTLY❗️❗️⚠️
Thomas R
iOS user
Knowunity is the BEST app I’ve used in a minute. This is not an ai review or anything this is genuinely coming from a 7th grade student (I know 2011 im young) but dude this app is a 10/10 i have maintained a 3.8 gpa and have plenty of time for gaming. I love it and my mom is just happy I got good grades
Brad T
Android user
Not only did it help me find the answer but it also showed me alternative ways to solve it. I was horrible in math and science but now I have an a in both subjects. Thanks for the help🤍🤍
David K
iOS user
The app's just great! All I have to do is enter the topic in the search bar and I get the response real fast. I don't have to watch 10 YouTube videos to understand something, so I'm saving my time. Highly recommended!
Sudenaz Ocak
Android user
In school I was really bad at maths but thanks to the app, I am doing better now. I am so grateful that you made the app.
Greenlight Bonnie
Android user
I found this app a couple years ago and it has only gotten better since then. I really love it because it can help with written questions and photo questions. Also, it can find study guides that other people have made as well as flashcard sets and practice tests. The free version is also amazing for students who might not be able to afford it. Would 100% recommend
Aubrey
iOS user
Best app if you're in Highschool or Junior high. I have been using this app for 2 school years and it's the best, it's good if you don't have anyone to help you with school work.😋🩷🎀
Marco B
iOS user
THE QUIZES AND FLASHCARDS ARE SO USEFUL AND I LOVE Knowunity AI. IT ALSO IS LITREALLY LIKE CHATGPT BUT SMARTER!! HELPED ME WITH MY MASCARA PROBLEMS TOO!! AS WELL AS MY REAL SUBJECTS ! DUHHH 😍😁😲🤑💗✨🎀😮
Elisha
iOS user
This app is phenomenal down to the correct info and the various topics you can study! I greatly recommend it for people who struggle with procrastination and those who need homework help. It has been perfectly accurate for world 1 history as far as I’ve seen! Geometry too!
Paul T
iOS user
Shreya Bedi
@shreyabedi_oyaa
The Chain Rule is a powerful technique in calculus that helps you find derivatives of composite functions. When functions are nested inside each other, the Chain Rule breaks down the differentiation process into manageable steps, making complex problems much simpler... Show more

Access to all documents
Improve your grades
Join milions of students
Ever wonder how to find the derivative when one function is inside another? The Chain Rule is your answer! If F(x) = f(g(x)), then F'(x) = f'(g(x)) · g'(x). Think of it as working from the outside in.
For example, with a function like f(x) = sin(cos(tan(x))), you'd differentiate the outer sine function first, then the cosine, and finally the tangent. This helps break down complex problems into manageable pieces.
When dealing with exponential functions, remember that the derivative of a base b raised to a power is: . This formula will save you tons of time on exams!
Pro Tip: When applying the Chain Rule, identify the "outside" function and the "inside" function first. Differentiate the outside function and evaluate it at the inside function, then multiply by the derivative of the inside function.
Working with the Chain Rule takes practice, but once you master it, you'll be able to differentiate even the most complicated functions with confidence!

Access to all documents
Improve your grades
Join milions of students
Ready to level up your Chain Rule skills? Let's look at some more complex examples. When dealing with nested functions like y = e^, you need to apply the Chain Rule multiple times - once for each layer of the function.
For functions involving multiple operations like F(x) = ^6, identify the outside function (the power of 6) and the inside function , then apply the Chain Rule systematically.
Composite functions like F(x) = f(f(x)) require special attention. Here, the derivative is F'(x) = f'(f(x)) · f'(x). When you have specific values given , you can substitute these values to find the derivative at a point.
For a function h(x) = √, you'd rewrite it as ^(1/2), then apply the Chain Rule to find: h'(x) = (1/2)^(-1/2) · 5f'(x)
Remember: When functions are combined in complex ways, breaking them down into simpler pieces and applying the Chain Rule step by step will help you avoid mistakes.
With practice, you'll start to see patterns in these problems, making them much easier to solve!

Access to all documents
Improve your grades
Join milions of students
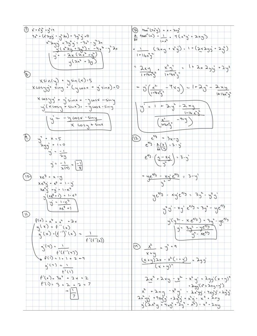
Sometimes you'll encounter equations where y isn't explicitly defined in terms of x. That's where implicit differentiation comes in handy! Instead of isolating y, you differentiate both sides of the equation with respect to x.
For example, with x^2 + y^2 = 4, differentiate both sides to get 2x + 2y·y' = 0, then solve for y'. Remember to use the Chain Rule when differentiating terms containing y, since y is a function of x.
When working with composite functions like h(x) = x^2·f(x)·g(x), use the product rule along with the Chain Rule. Break it down step by step, identifying each function and applying the appropriate differentiation rules.
Exponential functions like f(x) = xe^x differentiate to f'(x) = xe^x + e^x = e^x, using both the product rule and knowing that the derivative of e^x is itself.
Quick Trick: For differential equations like y'' - 6y' - 2y = 0, substitute y = e^rx and solve for r to find the general solution. This technique is essential for higher-level calculus and differential equations.
Mastering implicit differentiation gives you a powerful tool for handling complex relationships between variables without having to solve for one variable explicitly.

Access to all documents
Improve your grades
Join milions of students
When two or more related quantities change over time, we use the Chain Rule to establish relationships between their rates of change. This application is called related rates and appears frequently in real-world problems.
For instance, in problems where x and y are related by an equation like x-y^2=4, we can differentiate implicitly to find the relationship between dx/dt and dy/dt. This technique helps solve practical problems about changing volumes, distances, or angles.
The derivative of inverse functions follows a special relationship: if g(x) = f^-1(x), then g'(x) = 1/f'(g(x)). This formula is incredibly useful when working with logarithmic and trigonometric functions.
For trigonometric inverse functions, memorize these derivatives:
Important: When working with implicit differentiation, remember to apply the Chain Rule to every term containing y, since y is a function of x. Then collect all terms with y' and solve for y'.
These techniques may seem challenging at first, but with practice, you'll be able to apply them confidently to a wide range of problems.

Access to all documents
Improve your grades
Join milions of students
Ready to tackle more complex equations? When working with equations like x^2 + y^2 = 4, differentiating both sides gives you 2x + 2yy' = 0, which you can rearrange to find y' = -x/y. This is the slope of the tangent line at any point on the circle.
Equations involving trigonometric functions like x·sin(y) + y·sin(x) = 5 require careful application of both the product rule and Chain Rule. Remember to collect all terms with y' on one side of the equation before solving.
For a practical approach to implicit differentiation:
When working with exponential and logarithmic terms like xe^y = x - y, use both the product rule and Chain Rule, then carefully isolate y' in your final answer.
Challenge Yourself: Try finding the derivative of complex equations like x^2/x+y = y^2 + 9 using implicit differentiation. These problems test your understanding of both the Chain Rule and algebraic manipulation.
Mastering implicit differentiation allows you to find derivatives for relationships that would be difficult or impossible to express as y = f(x).

Access to all documents
Improve your grades
Join milions of students
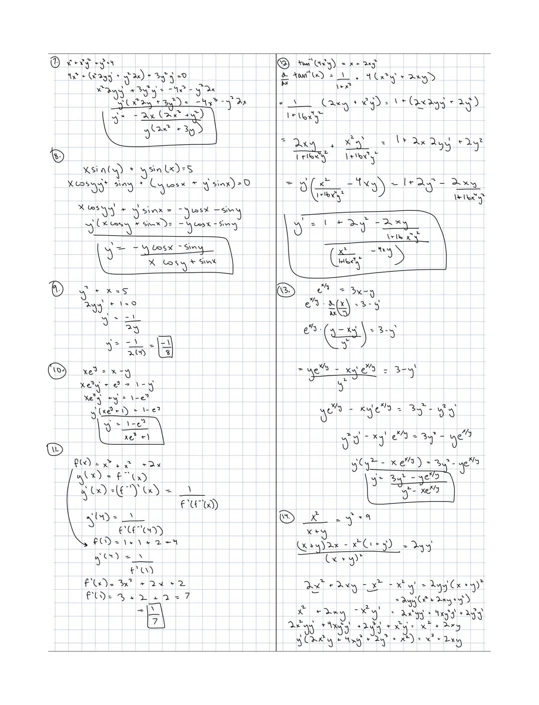
When working with inverse trigonometric functions, specific derivative formulas make calculations much simpler. For example, the derivative of tan^-1(7x) is 7/, and the derivative of sin^-1 is 2/√.
Some problems require multiple applications of the Chain Rule. For y = 7·tan^-1, you need to find the derivative of the inside expression first, then apply the formula for the derivative of tan^-1.
Remember these key derivative formulas:
For problems like h(t) = 17·cot(t) + 17·cot^-1, apply the derivative formulas for each term, then simplify the resulting expression.
Simplification Tip: After finding derivatives of complex expressions, look for common factors and algebraic simplifications that can make your answer more elegant. In many cases, terms will cancel out completely!
The beauty of these techniques is that they allow you to differentiate highly complex functions by breaking them down into manageable pieces and applying the Chain Rule systematically.

Access to all documents
Improve your grades
Join milions of students
When you have an implicit equation like x^2·y + 2xy = 48 at the point (6,1), you can find the slope of the tangent line using implicit differentiation. This gives you y' = -7/18 at that point.
With the slope and point, you can write the equation of the tangent line using point-slope form: y - 1 = (-7/18). This can be simplified to y = (-7/18) + 1.
For normal lines (perpendicular to tangent lines), you'll use the negative reciprocal of the slope. If a tangent line has slope -7/18, the normal line would have slope 18/7.
When working with equations like 2y = √, use implicit differentiation to find dy/dx. Rewrite as 2y = ^(1/2), then differentiate both sides: 2 = ^(-1/2) ·
Solving for y' gives you the slope at any point on the curve.
Practical Application: Finding tangent and normal lines is essential in physics for understanding motion along curves, in engineering for designing structures, and in computer graphics for rendering smooth surfaces.
The ability to find tangent lines to curves defined implicitly opens up a whole world of applications in both pure and applied mathematics!

Access to all documents
Improve your grades
Join milions of students
When dealing with expressions that involve fractions, like y' = -y/, the quotient rule is your go-to tool. Remember the formula: ' = /.
For implicit equations like xy + 2e^y = 2e, differentiate both sides to get x·y' + y + 2e^y·y' = 0, then solve for y'. If y = 1 where x = 0, you can substitute these values to find y' = -1/.
To find the second derivative (y''), use the quotient rule on y', treating it as a fraction. This involves finding the derivative of the numerator and denominator separately.
For simple equations like x^2 + y = 4, implicit differentiation gives 2x + y' = 0, so y' = -2x. This direct approach works well for less complicated expressions.
Simplification Strategy: After finding y' using implicit differentiation, look for ways to simplify your answer. Sometimes substituting the original equation can lead to elegant simplifications.
These techniques are particularly valuable in calculus applications where you need to analyze how quantities change in relation to each other without explicitly solving for one variable.

Access to all documents
Improve your grades
Join milions of students
Logarithmic differentiation is a powerful technique for differentiating complicated expressions, especially those with variable exponents or multiple products. The key formula to remember is: d/dx(ln x) = 1/x.
For functions like f(x) = ln, apply the Chain Rule: f'(x) = 1/ · = /. Note that the domain is restricted to x < 0 or x > 6, where the expression inside the logarithm is positive.
When differentiating expressions like y = ^ln(x⁴), take the natural logarithm of both sides first: ln y = ln^ln(x⁴) = ln(x⁴) · ln
Then differentiate implicitly with respect to x, and solve for y'.
For products and quotients, logarithmic differentiation simplifies the process. With y = √, take ln of both sides: ln y = (1/2)
Time-Saving Trick: When dealing with expressions that have variable exponents or multiple products and quotients, logarithmic differentiation is often much faster than applying the product, quotient, and power rules directly.
This technique transforms difficult differentiation problems into more manageable ones, making it an essential tool in your calculus toolkit!

Access to all documents
Improve your grades
Join milions of students
Knowing specialized derivative formulas will save you time on tests and help you solve complex problems. For logarithms with different bases, remember: d/dx = 1/(x·ln b).
When differentiating f(x) = log₅, apply the Chain Rule: f'(x) = 1/ · 2x = 2x/.
For expressions with variable exponents like y = x^(4cosx), logarithmic differentiation is your best approach: ln y = 4cosx · ln x y' = 4x^(4cosx) ·
Some logarithmic functions have elegant derivatives. For h(x) = ln, the derivative simplifies beautifully to h'(x) = 1/√.
Remember these key inverse trigonometric derivatives:
Formula Sheet Tip: Create a reference sheet with these specialized derivatives. Having them at your fingertips will make tackling complex differentiation problems much easier.
Mastering these formulas gives you the tools to differentiate virtually any function you'll encounter in your calculus course!
Our AI companion is specifically built for the needs of students. Based on the millions of content pieces we have on the platform we can provide truly meaningful and relevant answers to students. But its not only about answers, the companion is even more about guiding students through their daily learning challenges, with personalised study plans, quizzes or content pieces in the chat and 100% personalisation based on the students skills and developments.
You can download the app in the Google Play Store and in the Apple App Store.
That's right! Enjoy free access to study content, connect with fellow students, and get instant help – all at your fingertips.
2
Smart Tools NEW
Transform this note into: ✓ 50+ Practice Questions ✓ Interactive Flashcards ✓ Full Practice Test ✓ Essay Outlines
App Store
Google Play
The app is very easy to use and well designed. I have found everything I was looking for so far and have been able to learn a lot from the presentations! I will definitely use the app for a class assignment! And of course it also helps a lot as an inspiration.
Stefan S
iOS user
This app is really great. There are so many study notes and help [...]. My problem subject is French, for example, and the app has so many options for help. Thanks to this app, I have improved my French. I would recommend it to anyone.
Samantha Klich
Android user
Wow, I am really amazed. I just tried the app because I've seen it advertised many times and was absolutely stunned. This app is THE HELP you want for school and above all, it offers so many things, such as workouts and fact sheets, which have been VERY helpful to me personally.
Anna
iOS user
I think it’s very much worth it and you’ll end up using it a lot once you get the hang of it and even after looking at others notes you can still ask your Artificial intelligence buddy the question and ask to simplify it if you still don’t get it!!! In the end I think it’s worth it 😊👍 ⚠️Also DID I MENTION ITS FREEE YOU DON’T HAVE TO PAY FOR ANYTHING AND STILL GET YOUR GRADES IN PERFECTLY❗️❗️⚠️
Thomas R
iOS user
Knowunity is the BEST app I’ve used in a minute. This is not an ai review or anything this is genuinely coming from a 7th grade student (I know 2011 im young) but dude this app is a 10/10 i have maintained a 3.8 gpa and have plenty of time for gaming. I love it and my mom is just happy I got good grades
Brad T
Android user
Not only did it help me find the answer but it also showed me alternative ways to solve it. I was horrible in math and science but now I have an a in both subjects. Thanks for the help🤍🤍
David K
iOS user
The app's just great! All I have to do is enter the topic in the search bar and I get the response real fast. I don't have to watch 10 YouTube videos to understand something, so I'm saving my time. Highly recommended!
Sudenaz Ocak
Android user
In school I was really bad at maths but thanks to the app, I am doing better now. I am so grateful that you made the app.
Greenlight Bonnie
Android user
I found this app a couple years ago and it has only gotten better since then. I really love it because it can help with written questions and photo questions. Also, it can find study guides that other people have made as well as flashcard sets and practice tests. The free version is also amazing for students who might not be able to afford it. Would 100% recommend
Aubrey
iOS user
Best app if you're in Highschool or Junior high. I have been using this app for 2 school years and it's the best, it's good if you don't have anyone to help you with school work.😋🩷🎀
Marco B
iOS user
THE QUIZES AND FLASHCARDS ARE SO USEFUL AND I LOVE Knowunity AI. IT ALSO IS LITREALLY LIKE CHATGPT BUT SMARTER!! HELPED ME WITH MY MASCARA PROBLEMS TOO!! AS WELL AS MY REAL SUBJECTS ! DUHHH 😍😁😲🤑💗✨🎀😮
Elisha
iOS user
This app is phenomenal down to the correct info and the various topics you can study! I greatly recommend it for people who struggle with procrastination and those who need homework help. It has been perfectly accurate for world 1 history as far as I’ve seen! Geometry too!
Paul T
iOS user
The app is very easy to use and well designed. I have found everything I was looking for so far and have been able to learn a lot from the presentations! I will definitely use the app for a class assignment! And of course it also helps a lot as an inspiration.
Stefan S
iOS user
This app is really great. There are so many study notes and help [...]. My problem subject is French, for example, and the app has so many options for help. Thanks to this app, I have improved my French. I would recommend it to anyone.
Samantha Klich
Android user
Wow, I am really amazed. I just tried the app because I've seen it advertised many times and was absolutely stunned. This app is THE HELP you want for school and above all, it offers so many things, such as workouts and fact sheets, which have been VERY helpful to me personally.
Anna
iOS user
I think it’s very much worth it and you’ll end up using it a lot once you get the hang of it and even after looking at others notes you can still ask your Artificial intelligence buddy the question and ask to simplify it if you still don’t get it!!! In the end I think it’s worth it 😊👍 ⚠️Also DID I MENTION ITS FREEE YOU DON’T HAVE TO PAY FOR ANYTHING AND STILL GET YOUR GRADES IN PERFECTLY❗️❗️⚠️
Thomas R
iOS user
Knowunity is the BEST app I’ve used in a minute. This is not an ai review or anything this is genuinely coming from a 7th grade student (I know 2011 im young) but dude this app is a 10/10 i have maintained a 3.8 gpa and have plenty of time for gaming. I love it and my mom is just happy I got good grades
Brad T
Android user
Not only did it help me find the answer but it also showed me alternative ways to solve it. I was horrible in math and science but now I have an a in both subjects. Thanks for the help🤍🤍
David K
iOS user
The app's just great! All I have to do is enter the topic in the search bar and I get the response real fast. I don't have to watch 10 YouTube videos to understand something, so I'm saving my time. Highly recommended!
Sudenaz Ocak
Android user
In school I was really bad at maths but thanks to the app, I am doing better now. I am so grateful that you made the app.
Greenlight Bonnie
Android user
I found this app a couple years ago and it has only gotten better since then. I really love it because it can help with written questions and photo questions. Also, it can find study guides that other people have made as well as flashcard sets and practice tests. The free version is also amazing for students who might not be able to afford it. Would 100% recommend
Aubrey
iOS user
Best app if you're in Highschool or Junior high. I have been using this app for 2 school years and it's the best, it's good if you don't have anyone to help you with school work.😋🩷🎀
Marco B
iOS user
THE QUIZES AND FLASHCARDS ARE SO USEFUL AND I LOVE Knowunity AI. IT ALSO IS LITREALLY LIKE CHATGPT BUT SMARTER!! HELPED ME WITH MY MASCARA PROBLEMS TOO!! AS WELL AS MY REAL SUBJECTS ! DUHHH 😍😁😲🤑💗✨🎀😮
Elisha
iOS user
This app is phenomenal down to the correct info and the various topics you can study! I greatly recommend it for people who struggle with procrastination and those who need homework help. It has been perfectly accurate for world 1 history as far as I’ve seen! Geometry too!
Paul T
iOS user