The Carbon Cycle Gizmois an interactive educational simulation that... Show more
Sign up to see the contentIt's free!
Access to all documents
Improve your grades
Join milions of students
Knowunity AI
Subjects
Triangle Congruence and Similarity Theorems
Triangle Properties and Classification
Linear Equations and Graphs
Geometric Angle Relationships
Trigonometric Functions and Identities
Equation Solving Techniques
Circle Geometry Fundamentals
Division Operations and Methods
Basic Differentiation Rules
Exponent and Logarithm Properties
Show all topics
Human Organ Systems
Reproductive Cell Cycles
Biological Sciences Subdisciplines
Cellular Energy Metabolism
Autotrophic Energy Processes
Inheritance Patterns and Principles
Biomolecular Structure and Organization
Cell Cycle and Division Mechanics
Cellular Organization and Development
Biological Structural Organization
Show all topics
Chemical Sciences and Applications
Atomic Structure and Composition
Molecular Electron Structure Representation
Atomic Electron Behavior
Matter Properties and Water
Mole Concept and Calculations
Gas Laws and Behavior
Periodic Table Organization
Chemical Thermodynamics Fundamentals
Chemical Bond Types and Properties
Show all topics
European Renaissance and Enlightenment
European Cultural Movements 800-1920
American Revolution Era 1763-1797
American Civil War 1861-1865
Global Imperial Systems
Mongol and Chinese Dynasties
U.S. Presidents and World Leaders
Historical Sources and Documentation
World Wars Era and Impact
World Religious Systems
Show all topics
Classic and Contemporary Novels
Literary Character Analysis
Rhetorical Theory and Practice
Classic Literary Narratives
Reading Analysis and Interpretation
Narrative Structure and Techniques
English Language Components
Influential English-Language Authors
Basic Sentence Structure
Narrative Voice and Perspective
Show all topics
8,334
•
Updated Feb 13, 2026
•
The Carbon Cycle Gizmois an interactive educational simulation that... Show more










This page covers Activity A, which has students explore carbon pathways between Earth's major systems.
Key points:
Definition: Hydrosphere - All of Earth's water, including oceans, lakes, rivers, groundwater, and ice
Definition: Geosphere - The rocky, non-living part of Earth including the crust and mantle
Example: A sample carbon path: Atmospheric CO2 → Oceanic CO2 → Shells/Coral → Limestone → Lithosphere → Volcano → Atmospheric CO2
Highlight: This activity reinforces the cyclical nature of the carbon cycle, showing how carbon atoms can return to their starting point through various processes

This page continues Activity A, having students create additional carbon paths and analyze transitions.
Key points:
Example: A sample carbon path through all systems: Atmosphere → Oceanic CO2 (hydrosphere) → Marine Animals/Plants (biosphere) → Sediments (geosphere)
Highlight: The activity emphasizes the interconnectedness of Earth's systems in the carbon cycle
Vocabulary: Anthroposphere - Everything made or modified by humans, sometimes considered a separate sphere in Earth system science

Page 3: Carbon Pathways Exploration
This page focuses on practical exploration of carbon movement through different Earth systems using the Carbon pathways exploration in Gizmo.
Example: Multiple carbon pathways are illustrated, including:

Page 4: Ocean-Lithosphere Carbon Transfer
This page details the specific pathways of carbon movement between oceans and Earth's crust.
Highlight: Explains how carbon transfers from ocean to lithosphere through processes like shell formation and limestone creation

Page 5: Natural Gas Formation
This page explores the formation of natural gas through different carbon pathways.
Definition: Natural gas is defined as a mixture of methane (CH4), ethane (C₂H), and other gases
Example: Two distinct pathways for natural gas formation are presented, involving marine and land plants

Page 6: Animal Impact on Carbon Cycle
This page examines how animals, particularly livestock, affect the carbon cycle through methane production.
Quote: "Bacteria break down undigested materials in an animal's gut, and then they produce methane gas"

Page 7: Human Impact and Atmospheric Carbon
This page addresses human influence on the carbon cycle, particularly through fossil fuel use.
Highlight: CO₂ levels have increased 40% since 1800 due to human activity

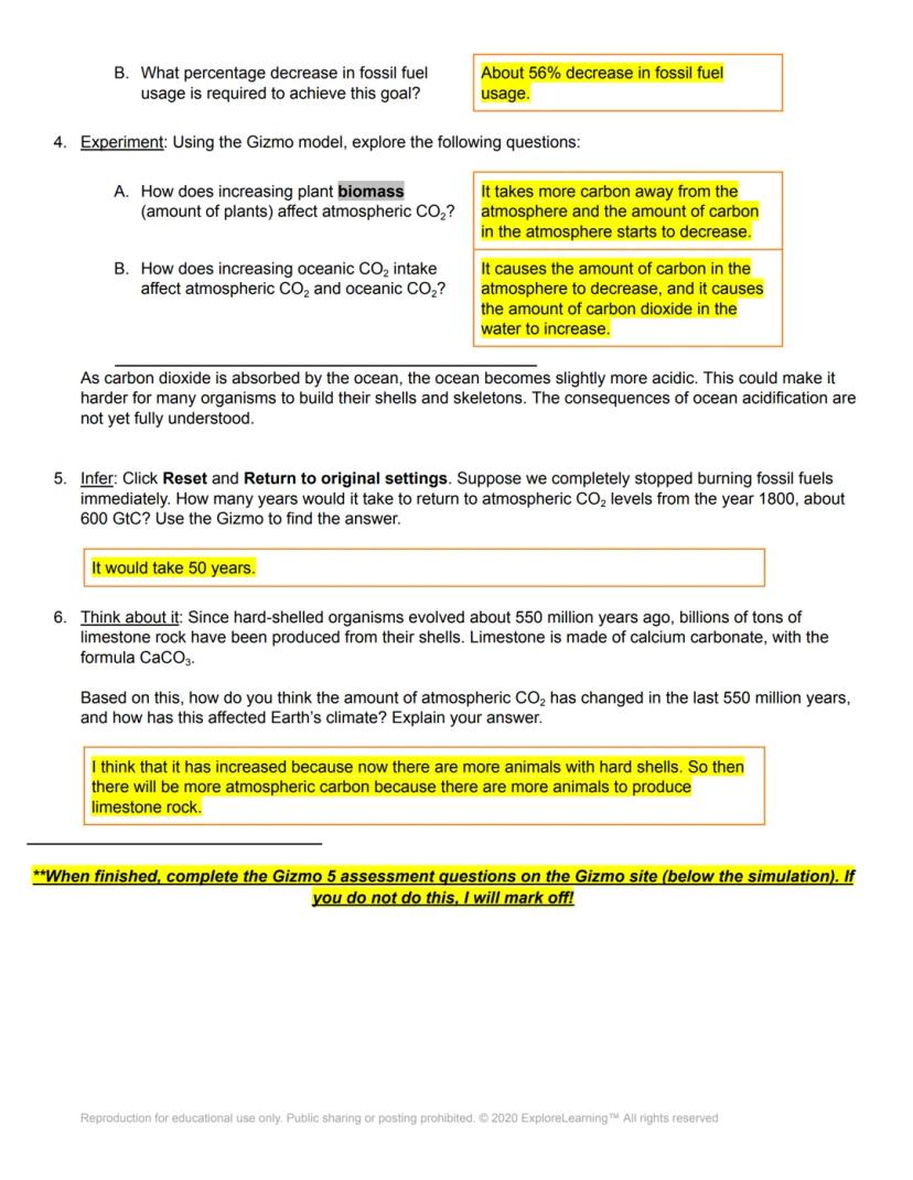
Page 8: Carbon Cycle Modeling
This page focuses on modeling carbon cycle changes and exploring solutions.
Example: Demonstrates how changes in plant biomass and oceanic CO₂ intake affect atmospheric carbon levels

This page introduces the Carbon Cycle Gizmo simulation and provides some background on photosynthesis and carbon dioxide.
Key points:
Vocabulary: Photosynthesis - The process by which plants use sunlight, water and carbon dioxide to produce oxygen and energy in the form of sugar
Highlight: The Carbon Cycle Gizmo visualizes possible carbon atom pathways using glowing blue areas to show potential next locations
Example: From the atmosphere, the carbon atom can move to oceanic CO2 or land plants
Our AI companion is specifically built for the needs of students. Based on the millions of content pieces we have on the platform we can provide truly meaningful and relevant answers to students. But its not only about answers, the companion is even more about guiding students through their daily learning challenges, with personalised study plans, quizzes or content pieces in the chat and 100% personalisation based on the students skills and developments.
You can download the app in the Google Play Store and in the Apple App Store.
That's right! Enjoy free access to study content, connect with fellow students, and get instant help – all at your fingertips.
App Store
Google Play
The app is very easy to use and well designed. I have found everything I was looking for so far and have been able to learn a lot from the presentations! I will definitely use the app for a class assignment! And of course it also helps a lot as an inspiration.
Stefan S
iOS user
This app is really great. There are so many study notes and help [...]. My problem subject is French, for example, and the app has so many options for help. Thanks to this app, I have improved my French. I would recommend it to anyone.
Samantha Klich
Android user
Wow, I am really amazed. I just tried the app because I've seen it advertised many times and was absolutely stunned. This app is THE HELP you want for school and above all, it offers so many things, such as workouts and fact sheets, which have been VERY helpful to me personally.
Anna
iOS user
I think it’s very much worth it and you’ll end up using it a lot once you get the hang of it and even after looking at others notes you can still ask your Artificial intelligence buddy the question and ask to simplify it if you still don’t get it!!! In the end I think it’s worth it 😊👍 ⚠️Also DID I MENTION ITS FREEE YOU DON’T HAVE TO PAY FOR ANYTHING AND STILL GET YOUR GRADES IN PERFECTLY❗️❗️⚠️
Thomas R
iOS user
Knowunity is the BEST app I’ve used in a minute. This is not an ai review or anything this is genuinely coming from a 7th grade student (I know 2011 im young) but dude this app is a 10/10 i have maintained a 3.8 gpa and have plenty of time for gaming. I love it and my mom is just happy I got good grades
Brad T
Android user
Not only did it help me find the answer but it also showed me alternative ways to solve it. I was horrible in math and science but now I have an a in both subjects. Thanks for the help🤍🤍
David K
iOS user
The app's just great! All I have to do is enter the topic in the search bar and I get the response real fast. I don't have to watch 10 YouTube videos to understand something, so I'm saving my time. Highly recommended!
Sudenaz Ocak
Android user
In school I was really bad at maths but thanks to the app, I am doing better now. I am so grateful that you made the app.
Greenlight Bonnie
Android user
I found this app a couple years ago and it has only gotten better since then. I really love it because it can help with written questions and photo questions. Also, it can find study guides that other people have made as well as flashcard sets and practice tests. The free version is also amazing for students who might not be able to afford it. Would 100% recommend
Aubrey
iOS user
Best app if you're in Highschool or Junior high. I have been using this app for 2 school years and it's the best, it's good if you don't have anyone to help you with school work.😋🩷🎀
Marco B
iOS user
THE QUIZES AND FLASHCARDS ARE SO USEFUL AND I LOVE Knowunity AI. IT ALSO IS LITREALLY LIKE CHATGPT BUT SMARTER!! HELPED ME WITH MY MASCARA PROBLEMS TOO!! AS WELL AS MY REAL SUBJECTS ! DUHHH 😍😁😲🤑💗✨🎀😮
Elisha
iOS user
This app is phenomenal down to the correct info and the various topics you can study! I greatly recommend it for people who struggle with procrastination and those who need homework help. It has been perfectly accurate for world 1 history as far as I’ve seen! Geometry too!
Paul T
iOS user
The app is very easy to use and well designed. I have found everything I was looking for so far and have been able to learn a lot from the presentations! I will definitely use the app for a class assignment! And of course it also helps a lot as an inspiration.
Stefan S
iOS user
This app is really great. There are so many study notes and help [...]. My problem subject is French, for example, and the app has so many options for help. Thanks to this app, I have improved my French. I would recommend it to anyone.
Samantha Klich
Android user
Wow, I am really amazed. I just tried the app because I've seen it advertised many times and was absolutely stunned. This app is THE HELP you want for school and above all, it offers so many things, such as workouts and fact sheets, which have been VERY helpful to me personally.
Anna
iOS user
I think it’s very much worth it and you’ll end up using it a lot once you get the hang of it and even after looking at others notes you can still ask your Artificial intelligence buddy the question and ask to simplify it if you still don’t get it!!! In the end I think it’s worth it 😊👍 ⚠️Also DID I MENTION ITS FREEE YOU DON’T HAVE TO PAY FOR ANYTHING AND STILL GET YOUR GRADES IN PERFECTLY❗️❗️⚠️
Thomas R
iOS user
Knowunity is the BEST app I’ve used in a minute. This is not an ai review or anything this is genuinely coming from a 7th grade student (I know 2011 im young) but dude this app is a 10/10 i have maintained a 3.8 gpa and have plenty of time for gaming. I love it and my mom is just happy I got good grades
Brad T
Android user
Not only did it help me find the answer but it also showed me alternative ways to solve it. I was horrible in math and science but now I have an a in both subjects. Thanks for the help🤍🤍
David K
iOS user
The app's just great! All I have to do is enter the topic in the search bar and I get the response real fast. I don't have to watch 10 YouTube videos to understand something, so I'm saving my time. Highly recommended!
Sudenaz Ocak
Android user
In school I was really bad at maths but thanks to the app, I am doing better now. I am so grateful that you made the app.
Greenlight Bonnie
Android user
I found this app a couple years ago and it has only gotten better since then. I really love it because it can help with written questions and photo questions. Also, it can find study guides that other people have made as well as flashcard sets and practice tests. The free version is also amazing for students who might not be able to afford it. Would 100% recommend
Aubrey
iOS user
Best app if you're in Highschool or Junior high. I have been using this app for 2 school years and it's the best, it's good if you don't have anyone to help you with school work.😋🩷🎀
Marco B
iOS user
THE QUIZES AND FLASHCARDS ARE SO USEFUL AND I LOVE Knowunity AI. IT ALSO IS LITREALLY LIKE CHATGPT BUT SMARTER!! HELPED ME WITH MY MASCARA PROBLEMS TOO!! AS WELL AS MY REAL SUBJECTS ! DUHHH 😍😁😲🤑💗✨🎀😮
Elisha
iOS user
This app is phenomenal down to the correct info and the various topics you can study! I greatly recommend it for people who struggle with procrastination and those who need homework help. It has been perfectly accurate for world 1 history as far as I’ve seen! Geometry too!
Paul T
iOS user
The Carbon Cycle Gizmo is an interactive educational simulation that explores carbon movement through Earth's major systems and human impacts on the carbon cycle. The simulation covers photosynthesis, fossil fuels, and atmospheric carbon dioxide levels.
Key points:

Access to all documents
Improve your grades
Join milions of students
This page covers Activity A, which has students explore carbon pathways between Earth's major systems.
Key points:
Definition: Hydrosphere - All of Earth's water, including oceans, lakes, rivers, groundwater, and ice
Definition: Geosphere - The rocky, non-living part of Earth including the crust and mantle
Example: A sample carbon path: Atmospheric CO2 → Oceanic CO2 → Shells/Coral → Limestone → Lithosphere → Volcano → Atmospheric CO2
Highlight: This activity reinforces the cyclical nature of the carbon cycle, showing how carbon atoms can return to their starting point through various processes

Access to all documents
Improve your grades
Join milions of students
This page continues Activity A, having students create additional carbon paths and analyze transitions.
Key points:
Example: A sample carbon path through all systems: Atmosphere → Oceanic CO2 (hydrosphere) → Marine Animals/Plants (biosphere) → Sediments (geosphere)
Highlight: The activity emphasizes the interconnectedness of Earth's systems in the carbon cycle
Vocabulary: Anthroposphere - Everything made or modified by humans, sometimes considered a separate sphere in Earth system science

Access to all documents
Improve your grades
Join milions of students
Page 3: Carbon Pathways Exploration
This page focuses on practical exploration of carbon movement through different Earth systems using the Carbon pathways exploration in Gizmo.
Example: Multiple carbon pathways are illustrated, including:

Access to all documents
Improve your grades
Join milions of students
Page 4: Ocean-Lithosphere Carbon Transfer
This page details the specific pathways of carbon movement between oceans and Earth's crust.
Highlight: Explains how carbon transfers from ocean to lithosphere through processes like shell formation and limestone creation

Access to all documents
Improve your grades
Join milions of students
Page 5: Natural Gas Formation
This page explores the formation of natural gas through different carbon pathways.
Definition: Natural gas is defined as a mixture of methane (CH4), ethane (C₂H), and other gases
Example: Two distinct pathways for natural gas formation are presented, involving marine and land plants

Access to all documents
Improve your grades
Join milions of students
Page 6: Animal Impact on Carbon Cycle
This page examines how animals, particularly livestock, affect the carbon cycle through methane production.
Quote: "Bacteria break down undigested materials in an animal's gut, and then they produce methane gas"

Access to all documents
Improve your grades
Join milions of students
Page 7: Human Impact and Atmospheric Carbon
This page addresses human influence on the carbon cycle, particularly through fossil fuel use.
Highlight: CO₂ levels have increased 40% since 1800 due to human activity

Access to all documents
Improve your grades
Join milions of students
Page 8: Carbon Cycle Modeling
This page focuses on modeling carbon cycle changes and exploring solutions.
Example: Demonstrates how changes in plant biomass and oceanic CO₂ intake affect atmospheric carbon levels

Access to all documents
Improve your grades
Join milions of students
This page introduces the Carbon Cycle Gizmo simulation and provides some background on photosynthesis and carbon dioxide.
Key points:
Vocabulary: Photosynthesis - The process by which plants use sunlight, water and carbon dioxide to produce oxygen and energy in the form of sugar
Highlight: The Carbon Cycle Gizmo visualizes possible carbon atom pathways using glowing blue areas to show potential next locations
Example: From the atmosphere, the carbon atom can move to oceanic CO2 or land plants
Our AI companion is specifically built for the needs of students. Based on the millions of content pieces we have on the platform we can provide truly meaningful and relevant answers to students. But its not only about answers, the companion is even more about guiding students through their daily learning challenges, with personalised study plans, quizzes or content pieces in the chat and 100% personalisation based on the students skills and developments.
You can download the app in the Google Play Store and in the Apple App Store.
That's right! Enjoy free access to study content, connect with fellow students, and get instant help – all at your fingertips.
112
Smart Tools NEW
Transform this note into: ✓ 50+ Practice Questions ✓ Interactive Flashcards ✓ Full Practice Test ✓ Essay Outlines
shows how to covert word problems to calculations of speed, distance, acceleration, time
This is about the general principles of microscopy and the different methods of staining.
Notes on Chapter 7 of Biology: Photosynthesis. Includes notes taken from Chapter 7 - Carbon Dioxide, Glucose, Oxygen, Water, Redox, etc.
Explore the key concepts of cellular respiration, including aerobic and anaerobic processes, and the role of photosynthesis in energy production. This summary covers essential equations and mechanisms involved in ATP production and bioenergetics.
This discusses the different types of bacteria, how they grow and their reproduction.
mitochondria
App Store
Google Play
The app is very easy to use and well designed. I have found everything I was looking for so far and have been able to learn a lot from the presentations! I will definitely use the app for a class assignment! And of course it also helps a lot as an inspiration.
Stefan S
iOS user
This app is really great. There are so many study notes and help [...]. My problem subject is French, for example, and the app has so many options for help. Thanks to this app, I have improved my French. I would recommend it to anyone.
Samantha Klich
Android user
Wow, I am really amazed. I just tried the app because I've seen it advertised many times and was absolutely stunned. This app is THE HELP you want for school and above all, it offers so many things, such as workouts and fact sheets, which have been VERY helpful to me personally.
Anna
iOS user
I think it’s very much worth it and you’ll end up using it a lot once you get the hang of it and even after looking at others notes you can still ask your Artificial intelligence buddy the question and ask to simplify it if you still don’t get it!!! In the end I think it’s worth it 😊👍 ⚠️Also DID I MENTION ITS FREEE YOU DON’T HAVE TO PAY FOR ANYTHING AND STILL GET YOUR GRADES IN PERFECTLY❗️❗️⚠️
Thomas R
iOS user
Knowunity is the BEST app I’ve used in a minute. This is not an ai review or anything this is genuinely coming from a 7th grade student (I know 2011 im young) but dude this app is a 10/10 i have maintained a 3.8 gpa and have plenty of time for gaming. I love it and my mom is just happy I got good grades
Brad T
Android user
Not only did it help me find the answer but it also showed me alternative ways to solve it. I was horrible in math and science but now I have an a in both subjects. Thanks for the help🤍🤍
David K
iOS user
The app's just great! All I have to do is enter the topic in the search bar and I get the response real fast. I don't have to watch 10 YouTube videos to understand something, so I'm saving my time. Highly recommended!
Sudenaz Ocak
Android user
In school I was really bad at maths but thanks to the app, I am doing better now. I am so grateful that you made the app.
Greenlight Bonnie
Android user
I found this app a couple years ago and it has only gotten better since then. I really love it because it can help with written questions and photo questions. Also, it can find study guides that other people have made as well as flashcard sets and practice tests. The free version is also amazing for students who might not be able to afford it. Would 100% recommend
Aubrey
iOS user
Best app if you're in Highschool or Junior high. I have been using this app for 2 school years and it's the best, it's good if you don't have anyone to help you with school work.😋🩷🎀
Marco B
iOS user
THE QUIZES AND FLASHCARDS ARE SO USEFUL AND I LOVE Knowunity AI. IT ALSO IS LITREALLY LIKE CHATGPT BUT SMARTER!! HELPED ME WITH MY MASCARA PROBLEMS TOO!! AS WELL AS MY REAL SUBJECTS ! DUHHH 😍😁😲🤑💗✨🎀😮
Elisha
iOS user
This app is phenomenal down to the correct info and the various topics you can study! I greatly recommend it for people who struggle with procrastination and those who need homework help. It has been perfectly accurate for world 1 history as far as I’ve seen! Geometry too!
Paul T
iOS user
The app is very easy to use and well designed. I have found everything I was looking for so far and have been able to learn a lot from the presentations! I will definitely use the app for a class assignment! And of course it also helps a lot as an inspiration.
Stefan S
iOS user
This app is really great. There are so many study notes and help [...]. My problem subject is French, for example, and the app has so many options for help. Thanks to this app, I have improved my French. I would recommend it to anyone.
Samantha Klich
Android user
Wow, I am really amazed. I just tried the app because I've seen it advertised many times and was absolutely stunned. This app is THE HELP you want for school and above all, it offers so many things, such as workouts and fact sheets, which have been VERY helpful to me personally.
Anna
iOS user
I think it’s very much worth it and you’ll end up using it a lot once you get the hang of it and even after looking at others notes you can still ask your Artificial intelligence buddy the question and ask to simplify it if you still don’t get it!!! In the end I think it’s worth it 😊👍 ⚠️Also DID I MENTION ITS FREEE YOU DON’T HAVE TO PAY FOR ANYTHING AND STILL GET YOUR GRADES IN PERFECTLY❗️❗️⚠️
Thomas R
iOS user
Knowunity is the BEST app I’ve used in a minute. This is not an ai review or anything this is genuinely coming from a 7th grade student (I know 2011 im young) but dude this app is a 10/10 i have maintained a 3.8 gpa and have plenty of time for gaming. I love it and my mom is just happy I got good grades
Brad T
Android user
Not only did it help me find the answer but it also showed me alternative ways to solve it. I was horrible in math and science but now I have an a in both subjects. Thanks for the help🤍🤍
David K
iOS user
The app's just great! All I have to do is enter the topic in the search bar and I get the response real fast. I don't have to watch 10 YouTube videos to understand something, so I'm saving my time. Highly recommended!
Sudenaz Ocak
Android user
In school I was really bad at maths but thanks to the app, I am doing better now. I am so grateful that you made the app.
Greenlight Bonnie
Android user
I found this app a couple years ago and it has only gotten better since then. I really love it because it can help with written questions and photo questions. Also, it can find study guides that other people have made as well as flashcard sets and practice tests. The free version is also amazing for students who might not be able to afford it. Would 100% recommend
Aubrey
iOS user
Best app if you're in Highschool or Junior high. I have been using this app for 2 school years and it's the best, it's good if you don't have anyone to help you with school work.😋🩷🎀
Marco B
iOS user
THE QUIZES AND FLASHCARDS ARE SO USEFUL AND I LOVE Knowunity AI. IT ALSO IS LITREALLY LIKE CHATGPT BUT SMARTER!! HELPED ME WITH MY MASCARA PROBLEMS TOO!! AS WELL AS MY REAL SUBJECTS ! DUHHH 😍😁😲🤑💗✨🎀😮
Elisha
iOS user
This app is phenomenal down to the correct info and the various topics you can study! I greatly recommend it for people who struggle with procrastination and those who need homework help. It has been perfectly accurate for world 1 history as far as I’ve seen! Geometry too!
Paul T
iOS user