Ready to dive into the world of data relationships? Let's... Show more
Sign up to see the contentIt's free!
Access to all documents
Improve your grades
Join milions of students
Knowunity AI
Subjects
Triangle Congruence and Similarity Theorems
Triangle Properties and Classification
Linear Equations and Graphs
Geometric Angle Relationships
Trigonometric Functions and Identities
Equation Solving Techniques
Circle Geometry Fundamentals
Division Operations and Methods
Basic Differentiation Rules
Exponent and Logarithm Properties
Show all topics
Human Organ Systems
Reproductive Cell Cycles
Biological Sciences Subdisciplines
Cellular Energy Metabolism
Autotrophic Energy Processes
Inheritance Patterns and Principles
Biomolecular Structure and Organization
Cell Cycle and Division Mechanics
Cellular Organization and Development
Biological Structural Organization
Show all topics
Chemical Sciences and Applications
Atomic Structure and Composition
Molecular Electron Structure Representation
Atomic Electron Behavior
Matter Properties and Water
Mole Concept and Calculations
Gas Laws and Behavior
Periodic Table Organization
Chemical Thermodynamics Fundamentals
Chemical Bond Types and Properties
Show all topics
European Renaissance and Enlightenment
European Cultural Movements 800-1920
American Revolution Era 1763-1797
American Civil War 1861-1865
Global Imperial Systems
Mongol and Chinese Dynasties
U.S. Presidents and World Leaders
Historical Sources and Documentation
World Wars Era and Impact
World Religious Systems
Show all topics
Classic and Contemporary Novels
Literary Character Analysis
Rhetorical Theory and Practice
Classic Literary Narratives
Reading Analysis and Interpretation
Narrative Structure and Techniques
English Language Components
Influential English-Language Authors
Basic Sentence Structure
Narrative Voice and Perspective
Show all topics
95
•
Updated Feb 24, 2026
•
Ready to dive into the world of data relationships? Let's... Show more









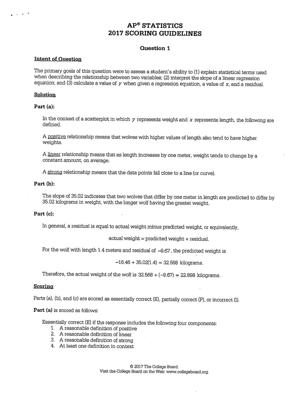
When looking at relationships between variables, it helps to know which one might be influencing the other. An explanatory variable potentially explains or influences changes in another variable, while a response variable measures the outcome we're interested in.
For example, if Pam wants to predict a student's weight based on height, height is the explanatory variable and weight is the response variable. But if Jim just wants to know if there's a relationship between height and weight without predicting one from the other, we can't designate explanatory and response variables.
Creating a scatterplot is the first step in visualizing relationships between two quantitative variables. To make one:
💡 Always remember this rule: the explanatory variable goes on the x-axis and the response variable goes on the y-axis!

Once you've created a scatterplot, you need to analyze what it shows. Look for overall patterns and any unusual points that stand out. Describe the relationship by examining three key characteristics:
Direction: Is the relationship positive (points trend upward), negative (points trend downward), or is there no clear direction?
Form: Do the points roughly follow a straight line (linear), a curve, or are they scattered randomly?
Strength: How closely do the points follow the pattern? Strong relationships have points clustered tightly around a pattern, while weak ones have more scattered points.
You should also look for any outliers (individual points that fall outside the overall pattern) and clusters (groups of points that seem to form their own pattern).
For instance, a scatterplot showing SAT scores and the percentage of students taking the exam might reveal "a moderately strong, negative, curved relationship" with "two distinct clusters and two possible outliers."
Remember that even when two variables show a strong relationship, correlation does not imply causation. Just because two things are associated doesn't mean one causes the other!

When you describe a relationship as positive, linear, and strong, each term has a specific meaning. Let's break it down:
Positive means that as one variable increases, the other tends to increase too. For example, with wolves, longer wolves tend to be heavier.
Linear means that the relationship follows a straight-line pattern. As one variable increases by one unit, the other variable tends to change by a constant amount, on average.
Strong means the data points fall close to a line or pattern, showing a consistent relationship with minimal scatter.
You might notice distinct patterns in your scatterplots. For example, a scatterplot of SAT math scores versus the percentage of students taking the SAT shows a negative relationship - as more students take the test, average scores tend to decrease.
🔍 When analyzing scatterplots in class, practice identifying the direction, form, and strength of relationships. This skill will help you ace questions on tests and understand real data in the world around you.

Correlation (r) measures both the direction and strength of a linear relationship between two quantitative variables. This single number tells us a lot about how two variables relate:
A helpful visual trick: imagine drawing an oval around all points in your scatterplot. A circular shape suggests correlation near 0 (weak), while a long, skinny oval suggests correlation close to ±1 (strong).
Two important limitations to remember about correlation:
Correlation is powerful but has limitations. Always look at your scatterplot first before relying solely on the r-value to understand a relationship.

Correlation has several important properties you should know:
You can calculate correlation using a complex formula that involves standardized values of each variable, but you'll typically use technology like calculators or software to find r in practice.
When interpreting correlation in context, be specific about what the relationship means. For example, "r ≈ 0.9 indicates a strong, positive linear relationship between the number of boats registered in Florida and the number of manatees killed" gives much more information than simply stating the r-value.
🌟 When interpreting correlation, always connect the numbers to the real-world context. This shows deeper understanding than just stating "r equals 0.9."

Let's practice interpreting correlation in different scenarios:
With healing rates in newts, "r ≈ 0.3 indicates a weak, positive linear relationship between the healing rate of limb 1 and limb 2." This means newts that heal quickly in one limb tend to heal somewhat quickly in the other limb, but the relationship isn't very strong.
For stock market returns, "r ≈ -0.1 shows a weak, negative linear relationship between last year's percent return and this year's percent return." This slight negative correlation suggests that good returns last year might slightly predict poorer returns this year, but the relationship is very weak.
Remember to look at the whole picture. Two datasets can have identical correlation values but look completely different when plotted. Correlation is just one tool for understanding relationships, not the complete story.
When describing correlation, include:
This complete description helps you fully understand and communicate what the data is showing.

The AP Statistics exam often asks you to interpret statistical relationships. Here's what they're looking for:
When explaining terms like positive, linear, and strong:
For interpreting slope in a regression equation:
You might also need to calculate values using regression equations and residuals:
📝 On the AP exam, always include context in your answers. Don't just define terms abstractly - refer to the specific variables mentioned in the problem.

The AP exam rewards precise statistical language and contextual understanding. Here's what earns full credit:
When defining terms like positive, linear, and strong:
What doesn't work:
For interpreting slope:
Remember to always connect statistical concepts to the context of the problem. Generic definitions without application to the specific scenario won't earn full credit on the AP exam.
Our AI companion is specifically built for the needs of students. Based on the millions of content pieces we have on the platform we can provide truly meaningful and relevant answers to students. But its not only about answers, the companion is even more about guiding students through their daily learning challenges, with personalised study plans, quizzes or content pieces in the chat and 100% personalisation based on the students skills and developments.
You can download the app in the Google Play Store and in the Apple App Store.
That's right! Enjoy free access to study content, connect with fellow students, and get instant help – all at your fingertips.
App Store
Google Play
The app is very easy to use and well designed. I have found everything I was looking for so far and have been able to learn a lot from the presentations! I will definitely use the app for a class assignment! And of course it also helps a lot as an inspiration.
Stefan S
iOS user
This app is really great. There are so many study notes and help [...]. My problem subject is French, for example, and the app has so many options for help. Thanks to this app, I have improved my French. I would recommend it to anyone.
Samantha Klich
Android user
Wow, I am really amazed. I just tried the app because I've seen it advertised many times and was absolutely stunned. This app is THE HELP you want for school and above all, it offers so many things, such as workouts and fact sheets, which have been VERY helpful to me personally.
Anna
iOS user
I think it’s very much worth it and you’ll end up using it a lot once you get the hang of it and even after looking at others notes you can still ask your Artificial intelligence buddy the question and ask to simplify it if you still don’t get it!!! In the end I think it’s worth it 😊👍 ⚠️Also DID I MENTION ITS FREEE YOU DON’T HAVE TO PAY FOR ANYTHING AND STILL GET YOUR GRADES IN PERFECTLY❗️❗️⚠️
Thomas R
iOS user
Knowunity is the BEST app I’ve used in a minute. This is not an ai review or anything this is genuinely coming from a 7th grade student (I know 2011 im young) but dude this app is a 10/10 i have maintained a 3.8 gpa and have plenty of time for gaming. I love it and my mom is just happy I got good grades
Brad T
Android user
Not only did it help me find the answer but it also showed me alternative ways to solve it. I was horrible in math and science but now I have an a in both subjects. Thanks for the help🤍🤍
David K
iOS user
The app's just great! All I have to do is enter the topic in the search bar and I get the response real fast. I don't have to watch 10 YouTube videos to understand something, so I'm saving my time. Highly recommended!
Sudenaz Ocak
Android user
In school I was really bad at maths but thanks to the app, I am doing better now. I am so grateful that you made the app.
Greenlight Bonnie
Android user
I found this app a couple years ago and it has only gotten better since then. I really love it because it can help with written questions and photo questions. Also, it can find study guides that other people have made as well as flashcard sets and practice tests. The free version is also amazing for students who might not be able to afford it. Would 100% recommend
Aubrey
iOS user
Best app if you're in Highschool or Junior high. I have been using this app for 2 school years and it's the best, it's good if you don't have anyone to help you with school work.😋🩷🎀
Marco B
iOS user
THE QUIZES AND FLASHCARDS ARE SO USEFUL AND I LOVE Knowunity AI. IT ALSO IS LITREALLY LIKE CHATGPT BUT SMARTER!! HELPED ME WITH MY MASCARA PROBLEMS TOO!! AS WELL AS MY REAL SUBJECTS ! DUHHH 😍😁😲🤑💗✨🎀😮
Elisha
iOS user
This app is phenomenal down to the correct info and the various topics you can study! I greatly recommend it for people who struggle with procrastination and those who need homework help. It has been perfectly accurate for world 1 history as far as I’ve seen! Geometry too!
Paul T
iOS user
The app is very easy to use and well designed. I have found everything I was looking for so far and have been able to learn a lot from the presentations! I will definitely use the app for a class assignment! And of course it also helps a lot as an inspiration.
Stefan S
iOS user
This app is really great. There are so many study notes and help [...]. My problem subject is French, for example, and the app has so many options for help. Thanks to this app, I have improved my French. I would recommend it to anyone.
Samantha Klich
Android user
Wow, I am really amazed. I just tried the app because I've seen it advertised many times and was absolutely stunned. This app is THE HELP you want for school and above all, it offers so many things, such as workouts and fact sheets, which have been VERY helpful to me personally.
Anna
iOS user
I think it’s very much worth it and you’ll end up using it a lot once you get the hang of it and even after looking at others notes you can still ask your Artificial intelligence buddy the question and ask to simplify it if you still don’t get it!!! In the end I think it’s worth it 😊👍 ⚠️Also DID I MENTION ITS FREEE YOU DON’T HAVE TO PAY FOR ANYTHING AND STILL GET YOUR GRADES IN PERFECTLY❗️❗️⚠️
Thomas R
iOS user
Knowunity is the BEST app I’ve used in a minute. This is not an ai review or anything this is genuinely coming from a 7th grade student (I know 2011 im young) but dude this app is a 10/10 i have maintained a 3.8 gpa and have plenty of time for gaming. I love it and my mom is just happy I got good grades
Brad T
Android user
Not only did it help me find the answer but it also showed me alternative ways to solve it. I was horrible in math and science but now I have an a in both subjects. Thanks for the help🤍🤍
David K
iOS user
The app's just great! All I have to do is enter the topic in the search bar and I get the response real fast. I don't have to watch 10 YouTube videos to understand something, so I'm saving my time. Highly recommended!
Sudenaz Ocak
Android user
In school I was really bad at maths but thanks to the app, I am doing better now. I am so grateful that you made the app.
Greenlight Bonnie
Android user
I found this app a couple years ago and it has only gotten better since then. I really love it because it can help with written questions and photo questions. Also, it can find study guides that other people have made as well as flashcard sets and practice tests. The free version is also amazing for students who might not be able to afford it. Would 100% recommend
Aubrey
iOS user
Best app if you're in Highschool or Junior high. I have been using this app for 2 school years and it's the best, it's good if you don't have anyone to help you with school work.😋🩷🎀
Marco B
iOS user
THE QUIZES AND FLASHCARDS ARE SO USEFUL AND I LOVE Knowunity AI. IT ALSO IS LITREALLY LIKE CHATGPT BUT SMARTER!! HELPED ME WITH MY MASCARA PROBLEMS TOO!! AS WELL AS MY REAL SUBJECTS ! DUHHH 😍😁😲🤑💗✨🎀😮
Elisha
iOS user
This app is phenomenal down to the correct info and the various topics you can study! I greatly recommend it for people who struggle with procrastination and those who need homework help. It has been perfectly accurate for world 1 history as far as I’ve seen! Geometry too!
Paul T
iOS user
Ready to dive into the world of data relationships? Let's explore scatterplots and correlation - powerful tools that help us visualize and measure how two variables interact with each other. Understanding these concepts will help you analyze real-world data and... Show more

Access to all documents
Improve your grades
Join milions of students
When looking at relationships between variables, it helps to know which one might be influencing the other. An explanatory variable potentially explains or influences changes in another variable, while a response variable measures the outcome we're interested in.
For example, if Pam wants to predict a student's weight based on height, height is the explanatory variable and weight is the response variable. But if Jim just wants to know if there's a relationship between height and weight without predicting one from the other, we can't designate explanatory and response variables.
Creating a scatterplot is the first step in visualizing relationships between two quantitative variables. To make one:
💡 Always remember this rule: the explanatory variable goes on the x-axis and the response variable goes on the y-axis!

Access to all documents
Improve your grades
Join milions of students
Once you've created a scatterplot, you need to analyze what it shows. Look for overall patterns and any unusual points that stand out. Describe the relationship by examining three key characteristics:
Direction: Is the relationship positive (points trend upward), negative (points trend downward), or is there no clear direction?
Form: Do the points roughly follow a straight line (linear), a curve, or are they scattered randomly?
Strength: How closely do the points follow the pattern? Strong relationships have points clustered tightly around a pattern, while weak ones have more scattered points.
You should also look for any outliers (individual points that fall outside the overall pattern) and clusters (groups of points that seem to form their own pattern).
For instance, a scatterplot showing SAT scores and the percentage of students taking the exam might reveal "a moderately strong, negative, curved relationship" with "two distinct clusters and two possible outliers."
Remember that even when two variables show a strong relationship, correlation does not imply causation. Just because two things are associated doesn't mean one causes the other!

Access to all documents
Improve your grades
Join milions of students
When you describe a relationship as positive, linear, and strong, each term has a specific meaning. Let's break it down:
Positive means that as one variable increases, the other tends to increase too. For example, with wolves, longer wolves tend to be heavier.
Linear means that the relationship follows a straight-line pattern. As one variable increases by one unit, the other variable tends to change by a constant amount, on average.
Strong means the data points fall close to a line or pattern, showing a consistent relationship with minimal scatter.
You might notice distinct patterns in your scatterplots. For example, a scatterplot of SAT math scores versus the percentage of students taking the SAT shows a negative relationship - as more students take the test, average scores tend to decrease.
🔍 When analyzing scatterplots in class, practice identifying the direction, form, and strength of relationships. This skill will help you ace questions on tests and understand real data in the world around you.

Access to all documents
Improve your grades
Join milions of students
Correlation (r) measures both the direction and strength of a linear relationship between two quantitative variables. This single number tells us a lot about how two variables relate:
A helpful visual trick: imagine drawing an oval around all points in your scatterplot. A circular shape suggests correlation near 0 (weak), while a long, skinny oval suggests correlation close to ±1 (strong).
Two important limitations to remember about correlation:
Correlation is powerful but has limitations. Always look at your scatterplot first before relying solely on the r-value to understand a relationship.

Access to all documents
Improve your grades
Join milions of students
Correlation has several important properties you should know:
You can calculate correlation using a complex formula that involves standardized values of each variable, but you'll typically use technology like calculators or software to find r in practice.
When interpreting correlation in context, be specific about what the relationship means. For example, "r ≈ 0.9 indicates a strong, positive linear relationship between the number of boats registered in Florida and the number of manatees killed" gives much more information than simply stating the r-value.
🌟 When interpreting correlation, always connect the numbers to the real-world context. This shows deeper understanding than just stating "r equals 0.9."

Access to all documents
Improve your grades
Join milions of students
Let's practice interpreting correlation in different scenarios:
With healing rates in newts, "r ≈ 0.3 indicates a weak, positive linear relationship between the healing rate of limb 1 and limb 2." This means newts that heal quickly in one limb tend to heal somewhat quickly in the other limb, but the relationship isn't very strong.
For stock market returns, "r ≈ -0.1 shows a weak, negative linear relationship between last year's percent return and this year's percent return." This slight negative correlation suggests that good returns last year might slightly predict poorer returns this year, but the relationship is very weak.
Remember to look at the whole picture. Two datasets can have identical correlation values but look completely different when plotted. Correlation is just one tool for understanding relationships, not the complete story.
When describing correlation, include:
This complete description helps you fully understand and communicate what the data is showing.

Access to all documents
Improve your grades
Join milions of students
The AP Statistics exam often asks you to interpret statistical relationships. Here's what they're looking for:
When explaining terms like positive, linear, and strong:
For interpreting slope in a regression equation:
You might also need to calculate values using regression equations and residuals:
📝 On the AP exam, always include context in your answers. Don't just define terms abstractly - refer to the specific variables mentioned in the problem.

Access to all documents
Improve your grades
Join milions of students
The AP exam rewards precise statistical language and contextual understanding. Here's what earns full credit:
When defining terms like positive, linear, and strong:
What doesn't work:
For interpreting slope:
Remember to always connect statistical concepts to the context of the problem. Generic definitions without application to the specific scenario won't earn full credit on the AP exam.
Our AI companion is specifically built for the needs of students. Based on the millions of content pieces we have on the platform we can provide truly meaningful and relevant answers to students. But its not only about answers, the companion is even more about guiding students through their daily learning challenges, with personalised study plans, quizzes or content pieces in the chat and 100% personalisation based on the students skills and developments.
You can download the app in the Google Play Store and in the Apple App Store.
That's right! Enjoy free access to study content, connect with fellow students, and get instant help – all at your fingertips.
2
Smart Tools NEW
Transform this note into: ✓ 50+ Practice Questions ✓ Interactive Flashcards ✓ Full Practice Test ✓ Essay Outlines
App Store
Google Play
The app is very easy to use and well designed. I have found everything I was looking for so far and have been able to learn a lot from the presentations! I will definitely use the app for a class assignment! And of course it also helps a lot as an inspiration.
Stefan S
iOS user
This app is really great. There are so many study notes and help [...]. My problem subject is French, for example, and the app has so many options for help. Thanks to this app, I have improved my French. I would recommend it to anyone.
Samantha Klich
Android user
Wow, I am really amazed. I just tried the app because I've seen it advertised many times and was absolutely stunned. This app is THE HELP you want for school and above all, it offers so many things, such as workouts and fact sheets, which have been VERY helpful to me personally.
Anna
iOS user
I think it’s very much worth it and you’ll end up using it a lot once you get the hang of it and even after looking at others notes you can still ask your Artificial intelligence buddy the question and ask to simplify it if you still don’t get it!!! In the end I think it’s worth it 😊👍 ⚠️Also DID I MENTION ITS FREEE YOU DON’T HAVE TO PAY FOR ANYTHING AND STILL GET YOUR GRADES IN PERFECTLY❗️❗️⚠️
Thomas R
iOS user
Knowunity is the BEST app I’ve used in a minute. This is not an ai review or anything this is genuinely coming from a 7th grade student (I know 2011 im young) but dude this app is a 10/10 i have maintained a 3.8 gpa and have plenty of time for gaming. I love it and my mom is just happy I got good grades
Brad T
Android user
Not only did it help me find the answer but it also showed me alternative ways to solve it. I was horrible in math and science but now I have an a in both subjects. Thanks for the help🤍🤍
David K
iOS user
The app's just great! All I have to do is enter the topic in the search bar and I get the response real fast. I don't have to watch 10 YouTube videos to understand something, so I'm saving my time. Highly recommended!
Sudenaz Ocak
Android user
In school I was really bad at maths but thanks to the app, I am doing better now. I am so grateful that you made the app.
Greenlight Bonnie
Android user
I found this app a couple years ago and it has only gotten better since then. I really love it because it can help with written questions and photo questions. Also, it can find study guides that other people have made as well as flashcard sets and practice tests. The free version is also amazing for students who might not be able to afford it. Would 100% recommend
Aubrey
iOS user
Best app if you're in Highschool or Junior high. I have been using this app for 2 school years and it's the best, it's good if you don't have anyone to help you with school work.😋🩷🎀
Marco B
iOS user
THE QUIZES AND FLASHCARDS ARE SO USEFUL AND I LOVE Knowunity AI. IT ALSO IS LITREALLY LIKE CHATGPT BUT SMARTER!! HELPED ME WITH MY MASCARA PROBLEMS TOO!! AS WELL AS MY REAL SUBJECTS ! DUHHH 😍😁😲🤑💗✨🎀😮
Elisha
iOS user
This app is phenomenal down to the correct info and the various topics you can study! I greatly recommend it for people who struggle with procrastination and those who need homework help. It has been perfectly accurate for world 1 history as far as I’ve seen! Geometry too!
Paul T
iOS user
The app is very easy to use and well designed. I have found everything I was looking for so far and have been able to learn a lot from the presentations! I will definitely use the app for a class assignment! And of course it also helps a lot as an inspiration.
Stefan S
iOS user
This app is really great. There are so many study notes and help [...]. My problem subject is French, for example, and the app has so many options for help. Thanks to this app, I have improved my French. I would recommend it to anyone.
Samantha Klich
Android user
Wow, I am really amazed. I just tried the app because I've seen it advertised many times and was absolutely stunned. This app is THE HELP you want for school and above all, it offers so many things, such as workouts and fact sheets, which have been VERY helpful to me personally.
Anna
iOS user
I think it’s very much worth it and you’ll end up using it a lot once you get the hang of it and even after looking at others notes you can still ask your Artificial intelligence buddy the question and ask to simplify it if you still don’t get it!!! In the end I think it’s worth it 😊👍 ⚠️Also DID I MENTION ITS FREEE YOU DON’T HAVE TO PAY FOR ANYTHING AND STILL GET YOUR GRADES IN PERFECTLY❗️❗️⚠️
Thomas R
iOS user
Knowunity is the BEST app I’ve used in a minute. This is not an ai review or anything this is genuinely coming from a 7th grade student (I know 2011 im young) but dude this app is a 10/10 i have maintained a 3.8 gpa and have plenty of time for gaming. I love it and my mom is just happy I got good grades
Brad T
Android user
Not only did it help me find the answer but it also showed me alternative ways to solve it. I was horrible in math and science but now I have an a in both subjects. Thanks for the help🤍🤍
David K
iOS user
The app's just great! All I have to do is enter the topic in the search bar and I get the response real fast. I don't have to watch 10 YouTube videos to understand something, so I'm saving my time. Highly recommended!
Sudenaz Ocak
Android user
In school I was really bad at maths but thanks to the app, I am doing better now. I am so grateful that you made the app.
Greenlight Bonnie
Android user
I found this app a couple years ago and it has only gotten better since then. I really love it because it can help with written questions and photo questions. Also, it can find study guides that other people have made as well as flashcard sets and practice tests. The free version is also amazing for students who might not be able to afford it. Would 100% recommend
Aubrey
iOS user
Best app if you're in Highschool or Junior high. I have been using this app for 2 school years and it's the best, it's good if you don't have anyone to help you with school work.😋🩷🎀
Marco B
iOS user
THE QUIZES AND FLASHCARDS ARE SO USEFUL AND I LOVE Knowunity AI. IT ALSO IS LITREALLY LIKE CHATGPT BUT SMARTER!! HELPED ME WITH MY MASCARA PROBLEMS TOO!! AS WELL AS MY REAL SUBJECTS ! DUHHH 😍😁😲🤑💗✨🎀😮
Elisha
iOS user
This app is phenomenal down to the correct info and the various topics you can study! I greatly recommend it for people who struggle with procrastination and those who need homework help. It has been perfectly accurate for world 1 history as far as I’ve seen! Geometry too!
Paul T
iOS user