Argumentation skills are essential for effective communication and critical thinking.... Show more
Sign up to see the contentIt's free!
Access to all documents
Improve your grades
Join milions of students
Knowunity AI
Subjects
Triangle Congruence and Similarity Theorems
Triangle Properties and Classification
Linear Equations and Graphs
Geometric Angle Relationships
Trigonometric Functions and Identities
Equation Solving Techniques
Circle Geometry Fundamentals
Division Operations and Methods
Basic Differentiation Rules
Exponent and Logarithm Properties
Show all topics
Human Organ Systems
Reproductive Cell Cycles
Biological Sciences Subdisciplines
Cellular Energy Metabolism
Autotrophic Energy Processes
Inheritance Patterns and Principles
Biomolecular Structure and Organization
Cell Cycle and Division Mechanics
Cellular Organization and Development
Biological Structural Organization
Show all topics
Chemical Sciences and Applications
Atomic Structure and Composition
Molecular Electron Structure Representation
Atomic Electron Behavior
Matter Properties and Water
Mole Concept and Calculations
Gas Laws and Behavior
Periodic Table Organization
Chemical Thermodynamics Fundamentals
Chemical Bond Types and Properties
Show all topics
European Renaissance and Enlightenment
European Cultural Movements 800-1920
American Revolution Era 1763-1797
American Civil War 1861-1865
Global Imperial Systems
Mongol and Chinese Dynasties
U.S. Presidents and World Leaders
Historical Sources and Documentation
World Wars Era and Impact
World Religious Systems
Show all topics
Classic and Contemporary Novels
Literary Character Analysis
Rhetorical Theory and Practice
Classic Literary Narratives
Reading Analysis and Interpretation
Narrative Structure and Techniques
English Language Components
Influential English-Language Authors
Basic Sentence Structure
Narrative Voice and Perspective
Show all topics
124
•
Updated Feb 17, 2026
•
Kinsey Hryhorchuk
@kinseyhryhorchu
Argumentation skills are essential for effective communication and critical thinking.... Show more






When crafting strong arguments, knowing the right terminology gives you a serious advantage. Analogies compare two things to show similarities (like "Imagination is your staircase to adventure"), while antithesis uses contrasting statements with parallel structure for emphasis.
An assertion is simply a statement presented as true, which you must then defend with evidence. When taking a position (your opinion on an issue), you might need to qualify it with words like "sometimes" or "most" to acknowledge exceptions. If someone challenges your position, you'll need to prepare a rebuttal.
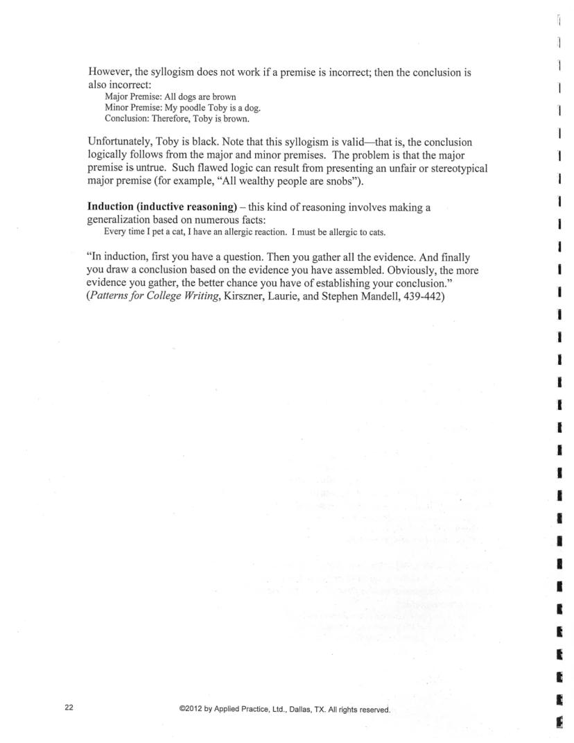
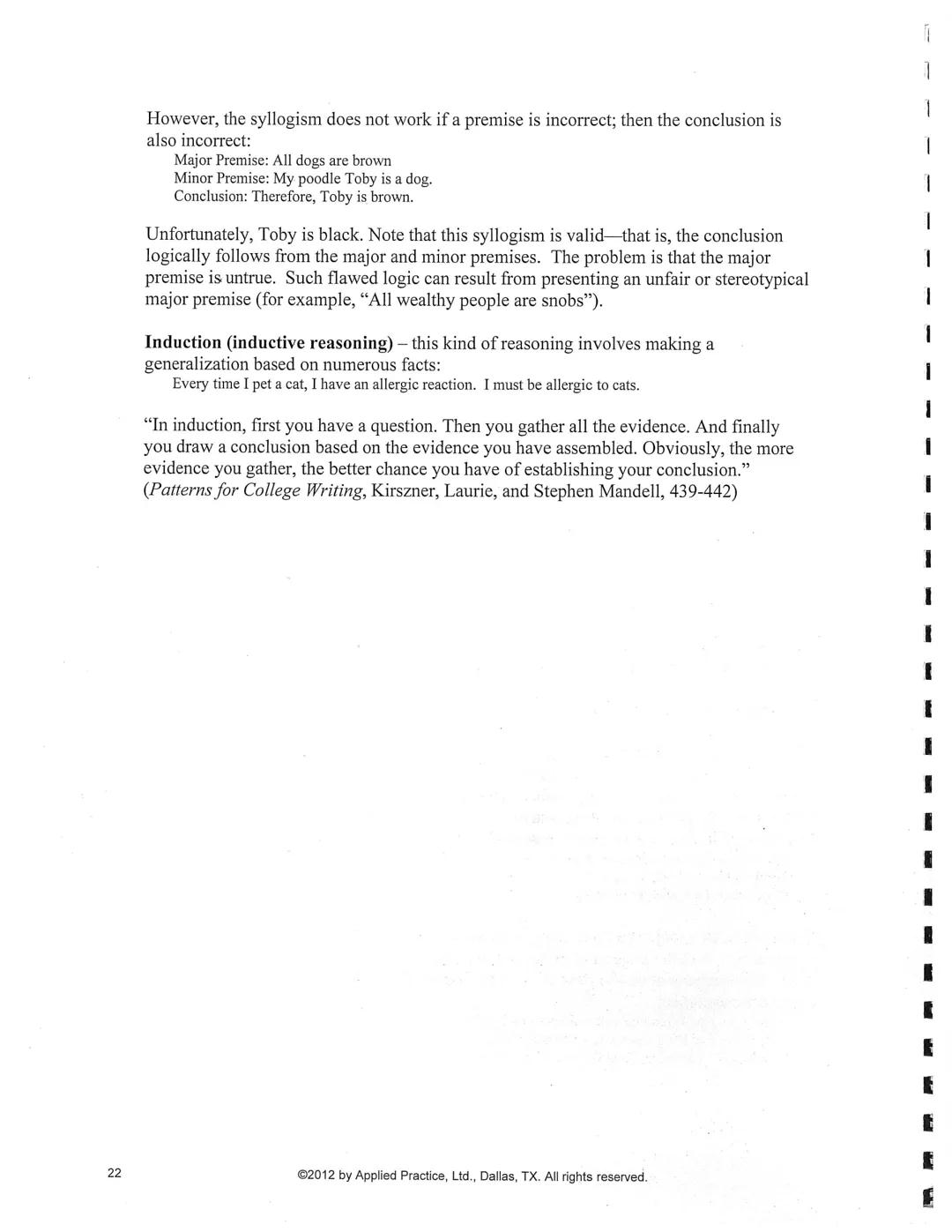
Deductive reasoning starts with a general principle and applies it to specific cases. This often takes the form of a syllogism with a major premise, minor premise, and conclusion. For example: "All tyrannical rulers deserve no loyalty (major). King George is tyrannical (minor). Therefore, King George deserves no loyalty (conclusion)."
💡 The Declaration of Independence uses deductive reasoning at its core! This shows how powerful this logical structure can be when crafted carefully.

Be careful with deductive reasoning—your conclusion is only as good as your premises. If your major premise is flawed (like "All dogs are brown"), your conclusion will be wrong even if your logic is valid. This is why examining assumptions is crucial before accepting conclusions.
Inductive reasoning works differently. Rather than moving from general to specific, it builds generalizations based on numerous specific facts. For instance, if you have an allergic reaction every time you pet a cat, you might reasonably conclude you're allergic to cats.
With induction, you start with a question, gather evidence, and then draw a conclusion. The strength of inductive reasoning depends entirely on the quality and quantity of evidence you collect. The more comprehensive your evidence, the more convincing your conclusion will be.
🔑 Remember this key difference: Deduction applies general rules to specific cases, while induction builds general rules from specific observations.

Recognizing logical fallacies helps you become a better critical thinker and more persuasive writer. Ad hominem attacks target a person's character instead of their argument—like dismissing someone's policy ideas because they're "conceited." This distracts from the real issues at hand.
The ad populum fallacy (or bandwagon appeal) suggests that if many people believe something, it must be true. Just because nine out of ten voters support a candidate doesn't automatically make them the best choice. Similarly, the ad verecundiam fallacy misuses authority figures to support an argument, like showing John Wayne in a cigarette ad to imply his endorsement.
Begging the question involves circular reasoning where your conclusion is already assumed in your premise. Saying "Cheating is bad because it's morally wrong" essentially says "Cheating is bad because it's bad"—offering no real evidence or reasoning.
⚠️ While citing genuine authorities can strengthen your arguments, be careful not to fall for fake authority appeals that use celebrities or respected figures to promote products or ideas outside their expertise.

The either/or fallacy presents only two possible outcomes when more might exist. A politician claiming "elect me or the town goes bankrupt" ignores that other candidates might also handle finances well. This oversimplification limits thinking and manipulates emotions.
Making a hasty generalization means jumping to conclusions with insufficient evidence. One tough geometry assignment doesn't mean you'll fail the entire course! Similarly, a non sequitur ("does not follow") tries to connect unrelated ideas—success in AP Language doesn't necessarily predict success in calculus.
Oversimplification offers easy answers to complex problems, like suggesting that simply banning weapons will eliminate school shootings. The post hoc fallacy assumes that because one event followed another, the first caused the second—like believing washing your car causes rain.
🧠 Spotting fallacies isn't just for English class—it's a life skill! Politicians, advertisers, and media sources often use these techniques to manipulate opinions. Training yourself to identify them helps you make better decisions in all areas.

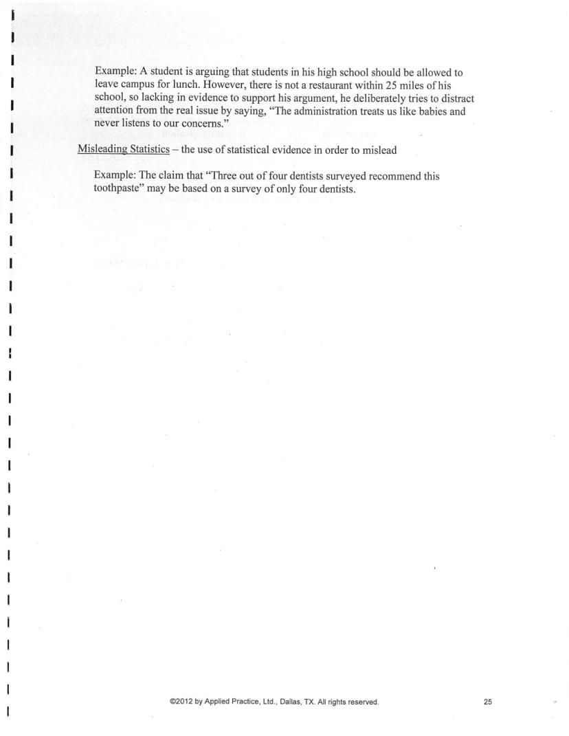
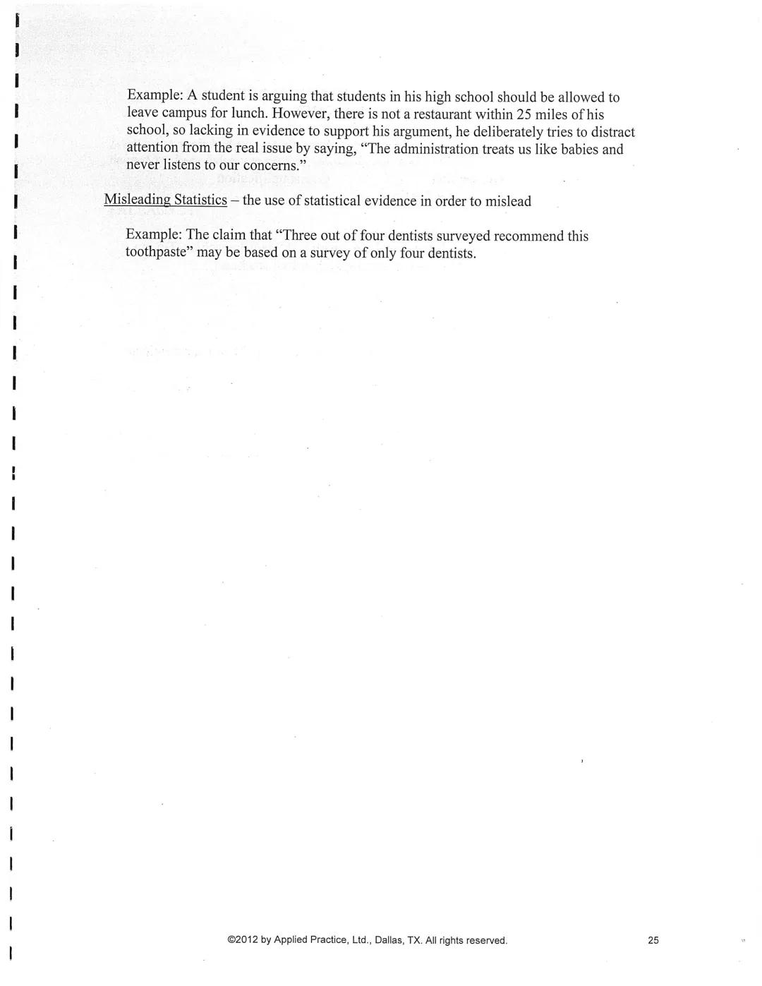
A red herring deliberately distracts from the main issue by introducing an irrelevant topic. When a student argues for off-campus lunch but switches to complaining about administration "treating us like babies," they're avoiding the real problem—there's no restaurant within 25 miles!
Misleading statistics manipulate numbers to create false impressions. The claim that "Three out of four dentists recommend this toothpaste" sounds impressive until you learn only four dentists were surveyed. Always question the sample size, methodology, and source of statistical claims.
Recognizing these fallacies helps you evaluate arguments critically and construct stronger ones yourself. When writing persuasive essays or engaging in debates, check your own reasoning for these common errors—and be ready to identify them in opposing arguments.
🎯 Next time you watch a political debate or read an opinion piece, try identifying at least three logical fallacies. This practice will sharpen your critical thinking skills and make you a more informed citizen.
Our AI companion is specifically built for the needs of students. Based on the millions of content pieces we have on the platform we can provide truly meaningful and relevant answers to students. But its not only about answers, the companion is even more about guiding students through their daily learning challenges, with personalised study plans, quizzes or content pieces in the chat and 100% personalisation based on the students skills and developments.
You can download the app in the Google Play Store and in the Apple App Store.
That's right! Enjoy free access to study content, connect with fellow students, and get instant help – all at your fingertips.
App Store
Google Play
The app is very easy to use and well designed. I have found everything I was looking for so far and have been able to learn a lot from the presentations! I will definitely use the app for a class assignment! And of course it also helps a lot as an inspiration.
Stefan S
iOS user
This app is really great. There are so many study notes and help [...]. My problem subject is French, for example, and the app has so many options for help. Thanks to this app, I have improved my French. I would recommend it to anyone.
Samantha Klich
Android user
Wow, I am really amazed. I just tried the app because I've seen it advertised many times and was absolutely stunned. This app is THE HELP you want for school and above all, it offers so many things, such as workouts and fact sheets, which have been VERY helpful to me personally.
Anna
iOS user
I think it’s very much worth it and you’ll end up using it a lot once you get the hang of it and even after looking at others notes you can still ask your Artificial intelligence buddy the question and ask to simplify it if you still don’t get it!!! In the end I think it’s worth it 😊👍 ⚠️Also DID I MENTION ITS FREEE YOU DON’T HAVE TO PAY FOR ANYTHING AND STILL GET YOUR GRADES IN PERFECTLY❗️❗️⚠️
Thomas R
iOS user
Knowunity is the BEST app I’ve used in a minute. This is not an ai review or anything this is genuinely coming from a 7th grade student (I know 2011 im young) but dude this app is a 10/10 i have maintained a 3.8 gpa and have plenty of time for gaming. I love it and my mom is just happy I got good grades
Brad T
Android user
Not only did it help me find the answer but it also showed me alternative ways to solve it. I was horrible in math and science but now I have an a in both subjects. Thanks for the help🤍🤍
David K
iOS user
The app's just great! All I have to do is enter the topic in the search bar and I get the response real fast. I don't have to watch 10 YouTube videos to understand something, so I'm saving my time. Highly recommended!
Sudenaz Ocak
Android user
In school I was really bad at maths but thanks to the app, I am doing better now. I am so grateful that you made the app.
Greenlight Bonnie
Android user
I found this app a couple years ago and it has only gotten better since then. I really love it because it can help with written questions and photo questions. Also, it can find study guides that other people have made as well as flashcard sets and practice tests. The free version is also amazing for students who might not be able to afford it. Would 100% recommend
Aubrey
iOS user
Best app if you're in Highschool or Junior high. I have been using this app for 2 school years and it's the best, it's good if you don't have anyone to help you with school work.😋🩷🎀
Marco B
iOS user
THE QUIZES AND FLASHCARDS ARE SO USEFUL AND I LOVE Knowunity AI. IT ALSO IS LITREALLY LIKE CHATGPT BUT SMARTER!! HELPED ME WITH MY MASCARA PROBLEMS TOO!! AS WELL AS MY REAL SUBJECTS ! DUHHH 😍😁😲🤑💗✨🎀😮
Elisha
iOS user
This app is phenomenal down to the correct info and the various topics you can study! I greatly recommend it for people who struggle with procrastination and those who need homework help. It has been perfectly accurate for world 1 history as far as I’ve seen! Geometry too!
Paul T
iOS user
The app is very easy to use and well designed. I have found everything I was looking for so far and have been able to learn a lot from the presentations! I will definitely use the app for a class assignment! And of course it also helps a lot as an inspiration.
Stefan S
iOS user
This app is really great. There are so many study notes and help [...]. My problem subject is French, for example, and the app has so many options for help. Thanks to this app, I have improved my French. I would recommend it to anyone.
Samantha Klich
Android user
Wow, I am really amazed. I just tried the app because I've seen it advertised many times and was absolutely stunned. This app is THE HELP you want for school and above all, it offers so many things, such as workouts and fact sheets, which have been VERY helpful to me personally.
Anna
iOS user
I think it’s very much worth it and you’ll end up using it a lot once you get the hang of it and even after looking at others notes you can still ask your Artificial intelligence buddy the question and ask to simplify it if you still don’t get it!!! In the end I think it’s worth it 😊👍 ⚠️Also DID I MENTION ITS FREEE YOU DON’T HAVE TO PAY FOR ANYTHING AND STILL GET YOUR GRADES IN PERFECTLY❗️❗️⚠️
Thomas R
iOS user
Knowunity is the BEST app I’ve used in a minute. This is not an ai review or anything this is genuinely coming from a 7th grade student (I know 2011 im young) but dude this app is a 10/10 i have maintained a 3.8 gpa and have plenty of time for gaming. I love it and my mom is just happy I got good grades
Brad T
Android user
Not only did it help me find the answer but it also showed me alternative ways to solve it. I was horrible in math and science but now I have an a in both subjects. Thanks for the help🤍🤍
David K
iOS user
The app's just great! All I have to do is enter the topic in the search bar and I get the response real fast. I don't have to watch 10 YouTube videos to understand something, so I'm saving my time. Highly recommended!
Sudenaz Ocak
Android user
In school I was really bad at maths but thanks to the app, I am doing better now. I am so grateful that you made the app.
Greenlight Bonnie
Android user
I found this app a couple years ago and it has only gotten better since then. I really love it because it can help with written questions and photo questions. Also, it can find study guides that other people have made as well as flashcard sets and practice tests. The free version is also amazing for students who might not be able to afford it. Would 100% recommend
Aubrey
iOS user
Best app if you're in Highschool or Junior high. I have been using this app for 2 school years and it's the best, it's good if you don't have anyone to help you with school work.😋🩷🎀
Marco B
iOS user
THE QUIZES AND FLASHCARDS ARE SO USEFUL AND I LOVE Knowunity AI. IT ALSO IS LITREALLY LIKE CHATGPT BUT SMARTER!! HELPED ME WITH MY MASCARA PROBLEMS TOO!! AS WELL AS MY REAL SUBJECTS ! DUHHH 😍😁😲🤑💗✨🎀😮
Elisha
iOS user
This app is phenomenal down to the correct info and the various topics you can study! I greatly recommend it for people who struggle with procrastination and those who need homework help. It has been perfectly accurate for world 1 history as far as I’ve seen! Geometry too!
Paul T
iOS user
Kinsey Hryhorchuk
@kinseyhryhorchu
Argumentation skills are essential for effective communication and critical thinking. This guide explores key terminology and common logical fallacies you need to master for persuasive writing and speaking. Understanding these concepts will strengthen your ability to construct solid arguments and... Show more

Access to all documents
Improve your grades
Join milions of students
When crafting strong arguments, knowing the right terminology gives you a serious advantage. Analogies compare two things to show similarities (like "Imagination is your staircase to adventure"), while antithesis uses contrasting statements with parallel structure for emphasis.
An assertion is simply a statement presented as true, which you must then defend with evidence. When taking a position (your opinion on an issue), you might need to qualify it with words like "sometimes" or "most" to acknowledge exceptions. If someone challenges your position, you'll need to prepare a rebuttal.
Deductive reasoning starts with a general principle and applies it to specific cases. This often takes the form of a syllogism with a major premise, minor premise, and conclusion. For example: "All tyrannical rulers deserve no loyalty (major). King George is tyrannical (minor). Therefore, King George deserves no loyalty (conclusion)."
💡 The Declaration of Independence uses deductive reasoning at its core! This shows how powerful this logical structure can be when crafted carefully.

Access to all documents
Improve your grades
Join milions of students
Be careful with deductive reasoning—your conclusion is only as good as your premises. If your major premise is flawed (like "All dogs are brown"), your conclusion will be wrong even if your logic is valid. This is why examining assumptions is crucial before accepting conclusions.
Inductive reasoning works differently. Rather than moving from general to specific, it builds generalizations based on numerous specific facts. For instance, if you have an allergic reaction every time you pet a cat, you might reasonably conclude you're allergic to cats.
With induction, you start with a question, gather evidence, and then draw a conclusion. The strength of inductive reasoning depends entirely on the quality and quantity of evidence you collect. The more comprehensive your evidence, the more convincing your conclusion will be.
🔑 Remember this key difference: Deduction applies general rules to specific cases, while induction builds general rules from specific observations.

Access to all documents
Improve your grades
Join milions of students
Recognizing logical fallacies helps you become a better critical thinker and more persuasive writer. Ad hominem attacks target a person's character instead of their argument—like dismissing someone's policy ideas because they're "conceited." This distracts from the real issues at hand.
The ad populum fallacy (or bandwagon appeal) suggests that if many people believe something, it must be true. Just because nine out of ten voters support a candidate doesn't automatically make them the best choice. Similarly, the ad verecundiam fallacy misuses authority figures to support an argument, like showing John Wayne in a cigarette ad to imply his endorsement.
Begging the question involves circular reasoning where your conclusion is already assumed in your premise. Saying "Cheating is bad because it's morally wrong" essentially says "Cheating is bad because it's bad"—offering no real evidence or reasoning.
⚠️ While citing genuine authorities can strengthen your arguments, be careful not to fall for fake authority appeals that use celebrities or respected figures to promote products or ideas outside their expertise.

Access to all documents
Improve your grades
Join milions of students
The either/or fallacy presents only two possible outcomes when more might exist. A politician claiming "elect me or the town goes bankrupt" ignores that other candidates might also handle finances well. This oversimplification limits thinking and manipulates emotions.
Making a hasty generalization means jumping to conclusions with insufficient evidence. One tough geometry assignment doesn't mean you'll fail the entire course! Similarly, a non sequitur ("does not follow") tries to connect unrelated ideas—success in AP Language doesn't necessarily predict success in calculus.
Oversimplification offers easy answers to complex problems, like suggesting that simply banning weapons will eliminate school shootings. The post hoc fallacy assumes that because one event followed another, the first caused the second—like believing washing your car causes rain.
🧠 Spotting fallacies isn't just for English class—it's a life skill! Politicians, advertisers, and media sources often use these techniques to manipulate opinions. Training yourself to identify them helps you make better decisions in all areas.

Access to all documents
Improve your grades
Join milions of students
A red herring deliberately distracts from the main issue by introducing an irrelevant topic. When a student argues for off-campus lunch but switches to complaining about administration "treating us like babies," they're avoiding the real problem—there's no restaurant within 25 miles!
Misleading statistics manipulate numbers to create false impressions. The claim that "Three out of four dentists recommend this toothpaste" sounds impressive until you learn only four dentists were surveyed. Always question the sample size, methodology, and source of statistical claims.
Recognizing these fallacies helps you evaluate arguments critically and construct stronger ones yourself. When writing persuasive essays or engaging in debates, check your own reasoning for these common errors—and be ready to identify them in opposing arguments.
🎯 Next time you watch a political debate or read an opinion piece, try identifying at least three logical fallacies. This practice will sharpen your critical thinking skills and make you a more informed citizen.
Our AI companion is specifically built for the needs of students. Based on the millions of content pieces we have on the platform we can provide truly meaningful and relevant answers to students. But its not only about answers, the companion is even more about guiding students through their daily learning challenges, with personalised study plans, quizzes or content pieces in the chat and 100% personalisation based on the students skills and developments.
You can download the app in the Google Play Store and in the Apple App Store.
That's right! Enjoy free access to study content, connect with fellow students, and get instant help – all at your fingertips.
2
Smart Tools NEW
Transform this note into: ✓ 50+ Practice Questions ✓ Interactive Flashcards ✓ Full Practice Test ✓ Essay Outlines
App Store
Google Play
The app is very easy to use and well designed. I have found everything I was looking for so far and have been able to learn a lot from the presentations! I will definitely use the app for a class assignment! And of course it also helps a lot as an inspiration.
Stefan S
iOS user
This app is really great. There are so many study notes and help [...]. My problem subject is French, for example, and the app has so many options for help. Thanks to this app, I have improved my French. I would recommend it to anyone.
Samantha Klich
Android user
Wow, I am really amazed. I just tried the app because I've seen it advertised many times and was absolutely stunned. This app is THE HELP you want for school and above all, it offers so many things, such as workouts and fact sheets, which have been VERY helpful to me personally.
Anna
iOS user
I think it’s very much worth it and you’ll end up using it a lot once you get the hang of it and even after looking at others notes you can still ask your Artificial intelligence buddy the question and ask to simplify it if you still don’t get it!!! In the end I think it’s worth it 😊👍 ⚠️Also DID I MENTION ITS FREEE YOU DON’T HAVE TO PAY FOR ANYTHING AND STILL GET YOUR GRADES IN PERFECTLY❗️❗️⚠️
Thomas R
iOS user
Knowunity is the BEST app I’ve used in a minute. This is not an ai review or anything this is genuinely coming from a 7th grade student (I know 2011 im young) but dude this app is a 10/10 i have maintained a 3.8 gpa and have plenty of time for gaming. I love it and my mom is just happy I got good grades
Brad T
Android user
Not only did it help me find the answer but it also showed me alternative ways to solve it. I was horrible in math and science but now I have an a in both subjects. Thanks for the help🤍🤍
David K
iOS user
The app's just great! All I have to do is enter the topic in the search bar and I get the response real fast. I don't have to watch 10 YouTube videos to understand something, so I'm saving my time. Highly recommended!
Sudenaz Ocak
Android user
In school I was really bad at maths but thanks to the app, I am doing better now. I am so grateful that you made the app.
Greenlight Bonnie
Android user
I found this app a couple years ago and it has only gotten better since then. I really love it because it can help with written questions and photo questions. Also, it can find study guides that other people have made as well as flashcard sets and practice tests. The free version is also amazing for students who might not be able to afford it. Would 100% recommend
Aubrey
iOS user
Best app if you're in Highschool or Junior high. I have been using this app for 2 school years and it's the best, it's good if you don't have anyone to help you with school work.😋🩷🎀
Marco B
iOS user
THE QUIZES AND FLASHCARDS ARE SO USEFUL AND I LOVE Knowunity AI. IT ALSO IS LITREALLY LIKE CHATGPT BUT SMARTER!! HELPED ME WITH MY MASCARA PROBLEMS TOO!! AS WELL AS MY REAL SUBJECTS ! DUHHH 😍😁😲🤑💗✨🎀😮
Elisha
iOS user
This app is phenomenal down to the correct info and the various topics you can study! I greatly recommend it for people who struggle with procrastination and those who need homework help. It has been perfectly accurate for world 1 history as far as I’ve seen! Geometry too!
Paul T
iOS user
The app is very easy to use and well designed. I have found everything I was looking for so far and have been able to learn a lot from the presentations! I will definitely use the app for a class assignment! And of course it also helps a lot as an inspiration.
Stefan S
iOS user
This app is really great. There are so many study notes and help [...]. My problem subject is French, for example, and the app has so many options for help. Thanks to this app, I have improved my French. I would recommend it to anyone.
Samantha Klich
Android user
Wow, I am really amazed. I just tried the app because I've seen it advertised many times and was absolutely stunned. This app is THE HELP you want for school and above all, it offers so many things, such as workouts and fact sheets, which have been VERY helpful to me personally.
Anna
iOS user
I think it’s very much worth it and you’ll end up using it a lot once you get the hang of it and even after looking at others notes you can still ask your Artificial intelligence buddy the question and ask to simplify it if you still don’t get it!!! In the end I think it’s worth it 😊👍 ⚠️Also DID I MENTION ITS FREEE YOU DON’T HAVE TO PAY FOR ANYTHING AND STILL GET YOUR GRADES IN PERFECTLY❗️❗️⚠️
Thomas R
iOS user
Knowunity is the BEST app I’ve used in a minute. This is not an ai review or anything this is genuinely coming from a 7th grade student (I know 2011 im young) but dude this app is a 10/10 i have maintained a 3.8 gpa and have plenty of time for gaming. I love it and my mom is just happy I got good grades
Brad T
Android user
Not only did it help me find the answer but it also showed me alternative ways to solve it. I was horrible in math and science but now I have an a in both subjects. Thanks for the help🤍🤍
David K
iOS user
The app's just great! All I have to do is enter the topic in the search bar and I get the response real fast. I don't have to watch 10 YouTube videos to understand something, so I'm saving my time. Highly recommended!
Sudenaz Ocak
Android user
In school I was really bad at maths but thanks to the app, I am doing better now. I am so grateful that you made the app.
Greenlight Bonnie
Android user
I found this app a couple years ago and it has only gotten better since then. I really love it because it can help with written questions and photo questions. Also, it can find study guides that other people have made as well as flashcard sets and practice tests. The free version is also amazing for students who might not be able to afford it. Would 100% recommend
Aubrey
iOS user
Best app if you're in Highschool or Junior high. I have been using this app for 2 school years and it's the best, it's good if you don't have anyone to help you with school work.😋🩷🎀
Marco B
iOS user
THE QUIZES AND FLASHCARDS ARE SO USEFUL AND I LOVE Knowunity AI. IT ALSO IS LITREALLY LIKE CHATGPT BUT SMARTER!! HELPED ME WITH MY MASCARA PROBLEMS TOO!! AS WELL AS MY REAL SUBJECTS ! DUHHH 😍😁😲🤑💗✨🎀😮
Elisha
iOS user
This app is phenomenal down to the correct info and the various topics you can study! I greatly recommend it for people who struggle with procrastination and those who need homework help. It has been perfectly accurate for world 1 history as far as I’ve seen! Geometry too!
Paul T
iOS user