Rates of change are everywhere in our world - from... Show more
Sign up to see the contentIt's free!
Access to all documents
Improve your grades
Join milions of students
Knowunity AI
Subjects
Triangle Congruence and Similarity Theorems
Triangle Properties and Classification
Linear Equations and Graphs
Geometric Angle Relationships
Trigonometric Functions and Identities
Equation Solving Techniques
Circle Geometry Fundamentals
Division Operations and Methods
Basic Differentiation Rules
Exponent and Logarithm Properties
Show all topics
Human Organ Systems
Reproductive Cell Cycles
Biological Sciences Subdisciplines
Cellular Energy Metabolism
Autotrophic Energy Processes
Inheritance Patterns and Principles
Biomolecular Structure and Organization
Cell Cycle and Division Mechanics
Cellular Organization and Development
Biological Structural Organization
Show all topics
Chemical Sciences and Applications
Atomic Structure and Composition
Molecular Electron Structure Representation
Atomic Electron Behavior
Matter Properties and Water
Mole Concept and Calculations
Gas Laws and Behavior
Periodic Table Organization
Chemical Thermodynamics Fundamentals
Chemical Bond Types and Properties
Show all topics
European Renaissance and Enlightenment
European Cultural Movements 800-1920
American Revolution Era 1763-1797
American Civil War 1861-1865
Global Imperial Systems
Mongol and Chinese Dynasties
U.S. Presidents and World Leaders
Historical Sources and Documentation
World Wars Era and Impact
World Religious Systems
Show all topics
Classic and Contemporary Novels
Literary Character Analysis
Rhetorical Theory and Practice
Classic Literary Narratives
Reading Analysis and Interpretation
Narrative Structure and Techniques
English Language Components
Influential English-Language Authors
Basic Sentence Structure
Narrative Voice and Perspective
Show all topics
53
•
Updated Feb 22, 2026
•
Dj
@dj_inmy
Rates of change are everywhere in our world - from... Show more






Ever wonder how scientists calculate exactly how fast something is moving at a specific moment? That's what this section is all about!
Rate of change measures how quickly one variable changes compared to another. When we talk about average speed, we're looking at total distance traveled divided by time elapsed. But real-world motion is more complex - that's where instantaneous speed comes in, telling us exactly how fast something is moving at a precise moment.
There's an important distinction between speed and velocity. Average velocity includes direction (displacement ÷ time), while instantaneous velocity gives us both speed and direction at a specific moment. If you're moving in a straight line without changing direction, your average speed and velocity will be the same.
Quick Example: If you drive north for three hours and cover 270 km, your average speed and average velocity are both 90 km/h. Simple math, big concept!
Let's see this in action with a falling object. If a ball drops from the CN Tower (450m high), we can calculate its velocity after 3 seconds using position function s(t) = -4.9t². By looking at small time intervals and using limits, we find the ball is falling at 29.4 m/s after 3 seconds.

When calculating instantaneous velocity, we're essentially asking: "How fast is something moving at an exact moment?" This requires a clever approach using limits.
Looking at the falling ball example, we can create a table of average velocities over smaller and smaller time intervals. As the intervals get tiny (approaching zero), the average velocities converge to -29.4 m/s. This is our instantaneous velocity at exactly t = 3 seconds.
The mathematical approach uses this formula: v = lim(h→0) /h. By substituting our position function s(t) = -4.9t² and working through the algebra, we get -29.4 m/s.
This process connects directly to finding the slope of a tangent line on a graph. The average velocity equals the slope of a secant line connecting two points on the position graph. As the time interval shrinks to zero, this secant becomes a tangent line, giving us the instantaneous velocity.
Math Connection: Instantaneous velocity isn't just about motion - it's the slope of the tangent line to the position graph at a specific point. This fundamental connection between motion and graphs is what makes calculus so powerful!

Now that we understand the concept, let's see how to calculate velocity for any position function. The general formula for instantaneous velocity at time t = a is:
v(a) = lim(h→0) /h
This formula works for any straight-line motion described by a position function s(t). The steps are always the same: find the change in position over a tiny time interval, divide by that interval, and take the limit as the interval approaches zero.
Let's try an example: If a particle moves according to s(t) = t² + 2t, what's its velocity after 3 seconds?
Study Tip: When solving these problems, always expand everything first, then look for terms that can be factored out. The h in the denominator needs to be canceled by factoring the numerator, otherwise the limit won't work!

Rate of change isn't just about motion - it applies to any two related variables. If y = f(x), the average rate of change of y with respect to x is:
Average rate of change = /
And just like with velocity, we can find the instantaneous rate of change by taking the limit as the interval approaches zero:
Instantaneous rate of change = lim(Δx→0) Δy/Δx = lim(x₂→x₁) /
Let's see this in action with temperature change. Imagine taking a thermometer from a 20°C room to 5°C outdoors and recording temperatures every 30 seconds. To find the average rate of temperature change between t = 2 min and t = 4 min, we calculate:
ΔT/Δt = / = -2.6°C/2 min = -1.3°C/min
The negative sign tells us the temperature is decreasing. As we calculate this over smaller intervals (2 min to 3.5 min, 2 min to 3 min, 2 min to 2.5 min), the rates get closer to -2.2°C/min, which approximates the instantaneous rate.
Real-world Application: This same concept applies to anything that changes over time - population growth, drug concentration in blood, or cost fluctuations. The units tell the story: °C/min, people/year, or dollars/month!

Rates of change become especially useful when dealing with objects that change in multiple dimensions. Let's look at an inflating balloon to see this in action.
For a spherical balloon, the volume formula is V(r) = (4/3)πr³. To find how quickly the volume changes with respect to radius when r = 10 cm, we calculate:
Rate of change of volume = lim(Δr→0) ΔV/Δr = lim(r→10) /
Working through the calculation:
This tells us that when the radius is exactly 10 cm, the volume increases by about 1257 cubic centimeters for each additional centimeter of radius. The rate gets larger as the balloon grows!
Important Note: Don't cancel units in rate of change problems! The units tell us what we're measuring - in this case, cm³/cm shows volume change per radius change.
Mastering rates of change gives you the power to analyze how anything changes in relation to something else - a fundamental skill in calculus and science.
Our AI companion is specifically built for the needs of students. Based on the millions of content pieces we have on the platform we can provide truly meaningful and relevant answers to students. But its not only about answers, the companion is even more about guiding students through their daily learning challenges, with personalised study plans, quizzes or content pieces in the chat and 100% personalisation based on the students skills and developments.
You can download the app in the Google Play Store and in the Apple App Store.
That's right! Enjoy free access to study content, connect with fellow students, and get instant help – all at your fingertips.
App Store
Google Play
The app is very easy to use and well designed. I have found everything I was looking for so far and have been able to learn a lot from the presentations! I will definitely use the app for a class assignment! And of course it also helps a lot as an inspiration.
Stefan S
iOS user
This app is really great. There are so many study notes and help [...]. My problem subject is French, for example, and the app has so many options for help. Thanks to this app, I have improved my French. I would recommend it to anyone.
Samantha Klich
Android user
Wow, I am really amazed. I just tried the app because I've seen it advertised many times and was absolutely stunned. This app is THE HELP you want for school and above all, it offers so many things, such as workouts and fact sheets, which have been VERY helpful to me personally.
Anna
iOS user
I think it’s very much worth it and you’ll end up using it a lot once you get the hang of it and even after looking at others notes you can still ask your Artificial intelligence buddy the question and ask to simplify it if you still don’t get it!!! In the end I think it’s worth it 😊👍 ⚠️Also DID I MENTION ITS FREEE YOU DON’T HAVE TO PAY FOR ANYTHING AND STILL GET YOUR GRADES IN PERFECTLY❗️❗️⚠️
Thomas R
iOS user
Knowunity is the BEST app I’ve used in a minute. This is not an ai review or anything this is genuinely coming from a 7th grade student (I know 2011 im young) but dude this app is a 10/10 i have maintained a 3.8 gpa and have plenty of time for gaming. I love it and my mom is just happy I got good grades
Brad T
Android user
Not only did it help me find the answer but it also showed me alternative ways to solve it. I was horrible in math and science but now I have an a in both subjects. Thanks for the help🤍🤍
David K
iOS user
The app's just great! All I have to do is enter the topic in the search bar and I get the response real fast. I don't have to watch 10 YouTube videos to understand something, so I'm saving my time. Highly recommended!
Sudenaz Ocak
Android user
In school I was really bad at maths but thanks to the app, I am doing better now. I am so grateful that you made the app.
Greenlight Bonnie
Android user
I found this app a couple years ago and it has only gotten better since then. I really love it because it can help with written questions and photo questions. Also, it can find study guides that other people have made as well as flashcard sets and practice tests. The free version is also amazing for students who might not be able to afford it. Would 100% recommend
Aubrey
iOS user
Best app if you're in Highschool or Junior high. I have been using this app for 2 school years and it's the best, it's good if you don't have anyone to help you with school work.😋🩷🎀
Marco B
iOS user
THE QUIZES AND FLASHCARDS ARE SO USEFUL AND I LOVE Knowunity AI. IT ALSO IS LITREALLY LIKE CHATGPT BUT SMARTER!! HELPED ME WITH MY MASCARA PROBLEMS TOO!! AS WELL AS MY REAL SUBJECTS ! DUHHH 😍😁😲🤑💗✨🎀😮
Elisha
iOS user
This app is phenomenal down to the correct info and the various topics you can study! I greatly recommend it for people who struggle with procrastination and those who need homework help. It has been perfectly accurate for world 1 history as far as I’ve seen! Geometry too!
Paul T
iOS user
The app is very easy to use and well designed. I have found everything I was looking for so far and have been able to learn a lot from the presentations! I will definitely use the app for a class assignment! And of course it also helps a lot as an inspiration.
Stefan S
iOS user
This app is really great. There are so many study notes and help [...]. My problem subject is French, for example, and the app has so many options for help. Thanks to this app, I have improved my French. I would recommend it to anyone.
Samantha Klich
Android user
Wow, I am really amazed. I just tried the app because I've seen it advertised many times and was absolutely stunned. This app is THE HELP you want for school and above all, it offers so many things, such as workouts and fact sheets, which have been VERY helpful to me personally.
Anna
iOS user
I think it’s very much worth it and you’ll end up using it a lot once you get the hang of it and even after looking at others notes you can still ask your Artificial intelligence buddy the question and ask to simplify it if you still don’t get it!!! In the end I think it’s worth it 😊👍 ⚠️Also DID I MENTION ITS FREEE YOU DON’T HAVE TO PAY FOR ANYTHING AND STILL GET YOUR GRADES IN PERFECTLY❗️❗️⚠️
Thomas R
iOS user
Knowunity is the BEST app I’ve used in a minute. This is not an ai review or anything this is genuinely coming from a 7th grade student (I know 2011 im young) but dude this app is a 10/10 i have maintained a 3.8 gpa and have plenty of time for gaming. I love it and my mom is just happy I got good grades
Brad T
Android user
Not only did it help me find the answer but it also showed me alternative ways to solve it. I was horrible in math and science but now I have an a in both subjects. Thanks for the help🤍🤍
David K
iOS user
The app's just great! All I have to do is enter the topic in the search bar and I get the response real fast. I don't have to watch 10 YouTube videos to understand something, so I'm saving my time. Highly recommended!
Sudenaz Ocak
Android user
In school I was really bad at maths but thanks to the app, I am doing better now. I am so grateful that you made the app.
Greenlight Bonnie
Android user
I found this app a couple years ago and it has only gotten better since then. I really love it because it can help with written questions and photo questions. Also, it can find study guides that other people have made as well as flashcard sets and practice tests. The free version is also amazing for students who might not be able to afford it. Would 100% recommend
Aubrey
iOS user
Best app if you're in Highschool or Junior high. I have been using this app for 2 school years and it's the best, it's good if you don't have anyone to help you with school work.😋🩷🎀
Marco B
iOS user
THE QUIZES AND FLASHCARDS ARE SO USEFUL AND I LOVE Knowunity AI. IT ALSO IS LITREALLY LIKE CHATGPT BUT SMARTER!! HELPED ME WITH MY MASCARA PROBLEMS TOO!! AS WELL AS MY REAL SUBJECTS ! DUHHH 😍😁😲🤑💗✨🎀😮
Elisha
iOS user
This app is phenomenal down to the correct info and the various topics you can study! I greatly recommend it for people who struggle with procrastination and those who need homework help. It has been perfectly accurate for world 1 history as far as I’ve seen! Geometry too!
Paul T
iOS user
Dj
@dj_inmy
Rates of change are everywhere in our world - from how fast you're driving to how quickly a balloon inflates. In Calculus, we use these concepts to understand motion, speed, and how things change over time. This powerful tool helps... Show more

Access to all documents
Improve your grades
Join milions of students
Ever wonder how scientists calculate exactly how fast something is moving at a specific moment? That's what this section is all about!
Rate of change measures how quickly one variable changes compared to another. When we talk about average speed, we're looking at total distance traveled divided by time elapsed. But real-world motion is more complex - that's where instantaneous speed comes in, telling us exactly how fast something is moving at a precise moment.
There's an important distinction between speed and velocity. Average velocity includes direction (displacement ÷ time), while instantaneous velocity gives us both speed and direction at a specific moment. If you're moving in a straight line without changing direction, your average speed and velocity will be the same.
Quick Example: If you drive north for three hours and cover 270 km, your average speed and average velocity are both 90 km/h. Simple math, big concept!
Let's see this in action with a falling object. If a ball drops from the CN Tower (450m high), we can calculate its velocity after 3 seconds using position function s(t) = -4.9t². By looking at small time intervals and using limits, we find the ball is falling at 29.4 m/s after 3 seconds.

Access to all documents
Improve your grades
Join milions of students
When calculating instantaneous velocity, we're essentially asking: "How fast is something moving at an exact moment?" This requires a clever approach using limits.
Looking at the falling ball example, we can create a table of average velocities over smaller and smaller time intervals. As the intervals get tiny (approaching zero), the average velocities converge to -29.4 m/s. This is our instantaneous velocity at exactly t = 3 seconds.
The mathematical approach uses this formula: v = lim(h→0) /h. By substituting our position function s(t) = -4.9t² and working through the algebra, we get -29.4 m/s.
This process connects directly to finding the slope of a tangent line on a graph. The average velocity equals the slope of a secant line connecting two points on the position graph. As the time interval shrinks to zero, this secant becomes a tangent line, giving us the instantaneous velocity.
Math Connection: Instantaneous velocity isn't just about motion - it's the slope of the tangent line to the position graph at a specific point. This fundamental connection between motion and graphs is what makes calculus so powerful!

Access to all documents
Improve your grades
Join milions of students
Now that we understand the concept, let's see how to calculate velocity for any position function. The general formula for instantaneous velocity at time t = a is:
v(a) = lim(h→0) /h
This formula works for any straight-line motion described by a position function s(t). The steps are always the same: find the change in position over a tiny time interval, divide by that interval, and take the limit as the interval approaches zero.
Let's try an example: If a particle moves according to s(t) = t² + 2t, what's its velocity after 3 seconds?
Study Tip: When solving these problems, always expand everything first, then look for terms that can be factored out. The h in the denominator needs to be canceled by factoring the numerator, otherwise the limit won't work!

Access to all documents
Improve your grades
Join milions of students
Rate of change isn't just about motion - it applies to any two related variables. If y = f(x), the average rate of change of y with respect to x is:
Average rate of change = /
And just like with velocity, we can find the instantaneous rate of change by taking the limit as the interval approaches zero:
Instantaneous rate of change = lim(Δx→0) Δy/Δx = lim(x₂→x₁) /
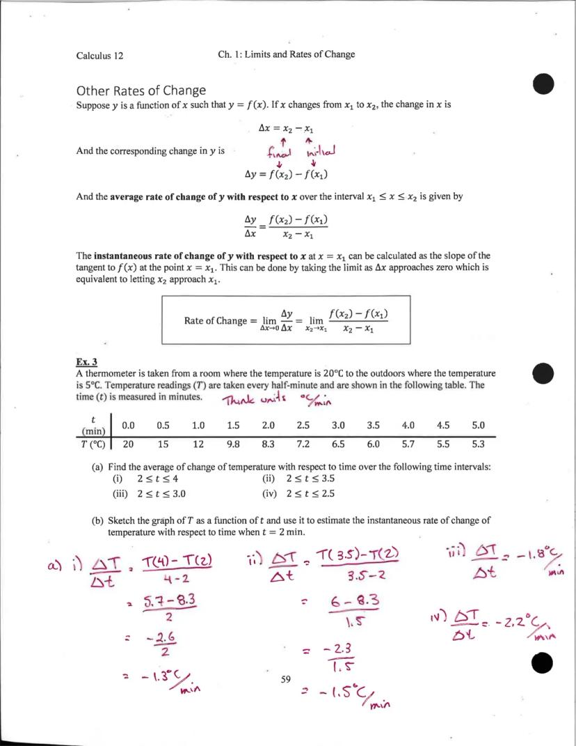
Let's see this in action with temperature change. Imagine taking a thermometer from a 20°C room to 5°C outdoors and recording temperatures every 30 seconds. To find the average rate of temperature change between t = 2 min and t = 4 min, we calculate:
ΔT/Δt = / = -2.6°C/2 min = -1.3°C/min
The negative sign tells us the temperature is decreasing. As we calculate this over smaller intervals (2 min to 3.5 min, 2 min to 3 min, 2 min to 2.5 min), the rates get closer to -2.2°C/min, which approximates the instantaneous rate.
Real-world Application: This same concept applies to anything that changes over time - population growth, drug concentration in blood, or cost fluctuations. The units tell the story: °C/min, people/year, or dollars/month!

Access to all documents
Improve your grades
Join milions of students
Rates of change become especially useful when dealing with objects that change in multiple dimensions. Let's look at an inflating balloon to see this in action.
For a spherical balloon, the volume formula is V(r) = (4/3)πr³. To find how quickly the volume changes with respect to radius when r = 10 cm, we calculate:
Rate of change of volume = lim(Δr→0) ΔV/Δr = lim(r→10) /
Working through the calculation:
This tells us that when the radius is exactly 10 cm, the volume increases by about 1257 cubic centimeters for each additional centimeter of radius. The rate gets larger as the balloon grows!
Important Note: Don't cancel units in rate of change problems! The units tell us what we're measuring - in this case, cm³/cm shows volume change per radius change.
Mastering rates of change gives you the power to analyze how anything changes in relation to something else - a fundamental skill in calculus and science.
Our AI companion is specifically built for the needs of students. Based on the millions of content pieces we have on the platform we can provide truly meaningful and relevant answers to students. But its not only about answers, the companion is even more about guiding students through their daily learning challenges, with personalised study plans, quizzes or content pieces in the chat and 100% personalisation based on the students skills and developments.
You can download the app in the Google Play Store and in the Apple App Store.
That's right! Enjoy free access to study content, connect with fellow students, and get instant help – all at your fingertips.
3
Smart Tools NEW
Transform this note into: ✓ 50+ Practice Questions ✓ Interactive Flashcards ✓ Full Practice Test ✓ Essay Outlines
App Store
Google Play
The app is very easy to use and well designed. I have found everything I was looking for so far and have been able to learn a lot from the presentations! I will definitely use the app for a class assignment! And of course it also helps a lot as an inspiration.
Stefan S
iOS user
This app is really great. There are so many study notes and help [...]. My problem subject is French, for example, and the app has so many options for help. Thanks to this app, I have improved my French. I would recommend it to anyone.
Samantha Klich
Android user
Wow, I am really amazed. I just tried the app because I've seen it advertised many times and was absolutely stunned. This app is THE HELP you want for school and above all, it offers so many things, such as workouts and fact sheets, which have been VERY helpful to me personally.
Anna
iOS user
I think it’s very much worth it and you’ll end up using it a lot once you get the hang of it and even after looking at others notes you can still ask your Artificial intelligence buddy the question and ask to simplify it if you still don’t get it!!! In the end I think it’s worth it 😊👍 ⚠️Also DID I MENTION ITS FREEE YOU DON’T HAVE TO PAY FOR ANYTHING AND STILL GET YOUR GRADES IN PERFECTLY❗️❗️⚠️
Thomas R
iOS user
Knowunity is the BEST app I’ve used in a minute. This is not an ai review or anything this is genuinely coming from a 7th grade student (I know 2011 im young) but dude this app is a 10/10 i have maintained a 3.8 gpa and have plenty of time for gaming. I love it and my mom is just happy I got good grades
Brad T
Android user
Not only did it help me find the answer but it also showed me alternative ways to solve it. I was horrible in math and science but now I have an a in both subjects. Thanks for the help🤍🤍
David K
iOS user
The app's just great! All I have to do is enter the topic in the search bar and I get the response real fast. I don't have to watch 10 YouTube videos to understand something, so I'm saving my time. Highly recommended!
Sudenaz Ocak
Android user
In school I was really bad at maths but thanks to the app, I am doing better now. I am so grateful that you made the app.
Greenlight Bonnie
Android user
I found this app a couple years ago and it has only gotten better since then. I really love it because it can help with written questions and photo questions. Also, it can find study guides that other people have made as well as flashcard sets and practice tests. The free version is also amazing for students who might not be able to afford it. Would 100% recommend
Aubrey
iOS user
Best app if you're in Highschool or Junior high. I have been using this app for 2 school years and it's the best, it's good if you don't have anyone to help you with school work.😋🩷🎀
Marco B
iOS user
THE QUIZES AND FLASHCARDS ARE SO USEFUL AND I LOVE Knowunity AI. IT ALSO IS LITREALLY LIKE CHATGPT BUT SMARTER!! HELPED ME WITH MY MASCARA PROBLEMS TOO!! AS WELL AS MY REAL SUBJECTS ! DUHHH 😍😁😲🤑💗✨🎀😮
Elisha
iOS user
This app is phenomenal down to the correct info and the various topics you can study! I greatly recommend it for people who struggle with procrastination and those who need homework help. It has been perfectly accurate for world 1 history as far as I’ve seen! Geometry too!
Paul T
iOS user
The app is very easy to use and well designed. I have found everything I was looking for so far and have been able to learn a lot from the presentations! I will definitely use the app for a class assignment! And of course it also helps a lot as an inspiration.
Stefan S
iOS user
This app is really great. There are so many study notes and help [...]. My problem subject is French, for example, and the app has so many options for help. Thanks to this app, I have improved my French. I would recommend it to anyone.
Samantha Klich
Android user
Wow, I am really amazed. I just tried the app because I've seen it advertised many times and was absolutely stunned. This app is THE HELP you want for school and above all, it offers so many things, such as workouts and fact sheets, which have been VERY helpful to me personally.
Anna
iOS user
I think it’s very much worth it and you’ll end up using it a lot once you get the hang of it and even after looking at others notes you can still ask your Artificial intelligence buddy the question and ask to simplify it if you still don’t get it!!! In the end I think it’s worth it 😊👍 ⚠️Also DID I MENTION ITS FREEE YOU DON’T HAVE TO PAY FOR ANYTHING AND STILL GET YOUR GRADES IN PERFECTLY❗️❗️⚠️
Thomas R
iOS user
Knowunity is the BEST app I’ve used in a minute. This is not an ai review or anything this is genuinely coming from a 7th grade student (I know 2011 im young) but dude this app is a 10/10 i have maintained a 3.8 gpa and have plenty of time for gaming. I love it and my mom is just happy I got good grades
Brad T
Android user
Not only did it help me find the answer but it also showed me alternative ways to solve it. I was horrible in math and science but now I have an a in both subjects. Thanks for the help🤍🤍
David K
iOS user
The app's just great! All I have to do is enter the topic in the search bar and I get the response real fast. I don't have to watch 10 YouTube videos to understand something, so I'm saving my time. Highly recommended!
Sudenaz Ocak
Android user
In school I was really bad at maths but thanks to the app, I am doing better now. I am so grateful that you made the app.
Greenlight Bonnie
Android user
I found this app a couple years ago and it has only gotten better since then. I really love it because it can help with written questions and photo questions. Also, it can find study guides that other people have made as well as flashcard sets and practice tests. The free version is also amazing for students who might not be able to afford it. Would 100% recommend
Aubrey
iOS user
Best app if you're in Highschool or Junior high. I have been using this app for 2 school years and it's the best, it's good if you don't have anyone to help you with school work.😋🩷🎀
Marco B
iOS user
THE QUIZES AND FLASHCARDS ARE SO USEFUL AND I LOVE Knowunity AI. IT ALSO IS LITREALLY LIKE CHATGPT BUT SMARTER!! HELPED ME WITH MY MASCARA PROBLEMS TOO!! AS WELL AS MY REAL SUBJECTS ! DUHHH 😍😁😲🤑💗✨🎀😮
Elisha
iOS user
This app is phenomenal down to the correct info and the various topics you can study! I greatly recommend it for people who struggle with procrastination and those who need homework help. It has been perfectly accurate for world 1 history as far as I’ve seen! Geometry too!
Paul T
iOS user