Differential equations are mathematical tools that describe how quantities change... Show more
Sign up to see the contentIt's free!
Access to all documents
Improve your grades
Join milions of students
Knowunity AI
Subjects
Triangle Congruence and Similarity Theorems
Triangle Properties and Classification
Linear Equations and Graphs
Geometric Angle Relationships
Trigonometric Functions and Identities
Equation Solving Techniques
Circle Geometry Fundamentals
Division Operations and Methods
Basic Differentiation Rules
Exponent and Logarithm Properties
Show all topics
Human Organ Systems
Reproductive Cell Cycles
Biological Sciences Subdisciplines
Cellular Energy Metabolism
Autotrophic Energy Processes
Inheritance Patterns and Principles
Biomolecular Structure and Organization
Cell Cycle and Division Mechanics
Cellular Organization and Development
Biological Structural Organization
Show all topics
Chemical Sciences and Applications
Atomic Structure and Composition
Molecular Electron Structure Representation
Atomic Electron Behavior
Matter Properties and Water
Mole Concept and Calculations
Gas Laws and Behavior
Periodic Table Organization
Chemical Thermodynamics Fundamentals
Chemical Bond Types and Properties
Show all topics
European Renaissance and Enlightenment
European Cultural Movements 800-1920
American Revolution Era 1763-1797
American Civil War 1861-1865
Global Imperial Systems
Mongol and Chinese Dynasties
U.S. Presidents and World Leaders
Historical Sources and Documentation
World Wars Era and Impact
World Religious Systems
Show all topics
Classic and Contemporary Novels
Literary Character Analysis
Rhetorical Theory and Practice
Classic Literary Narratives
Reading Analysis and Interpretation
Narrative Structure and Techniques
English Language Components
Influential English-Language Authors
Basic Sentence Structure
Narrative Voice and Perspective
Show all topics
30
•
Updated Feb 12, 2026
•
Benjamin Arguelles
@benjaminarguelles_ysur
Differential equations are mathematical tools that describe how quantities change... Show more









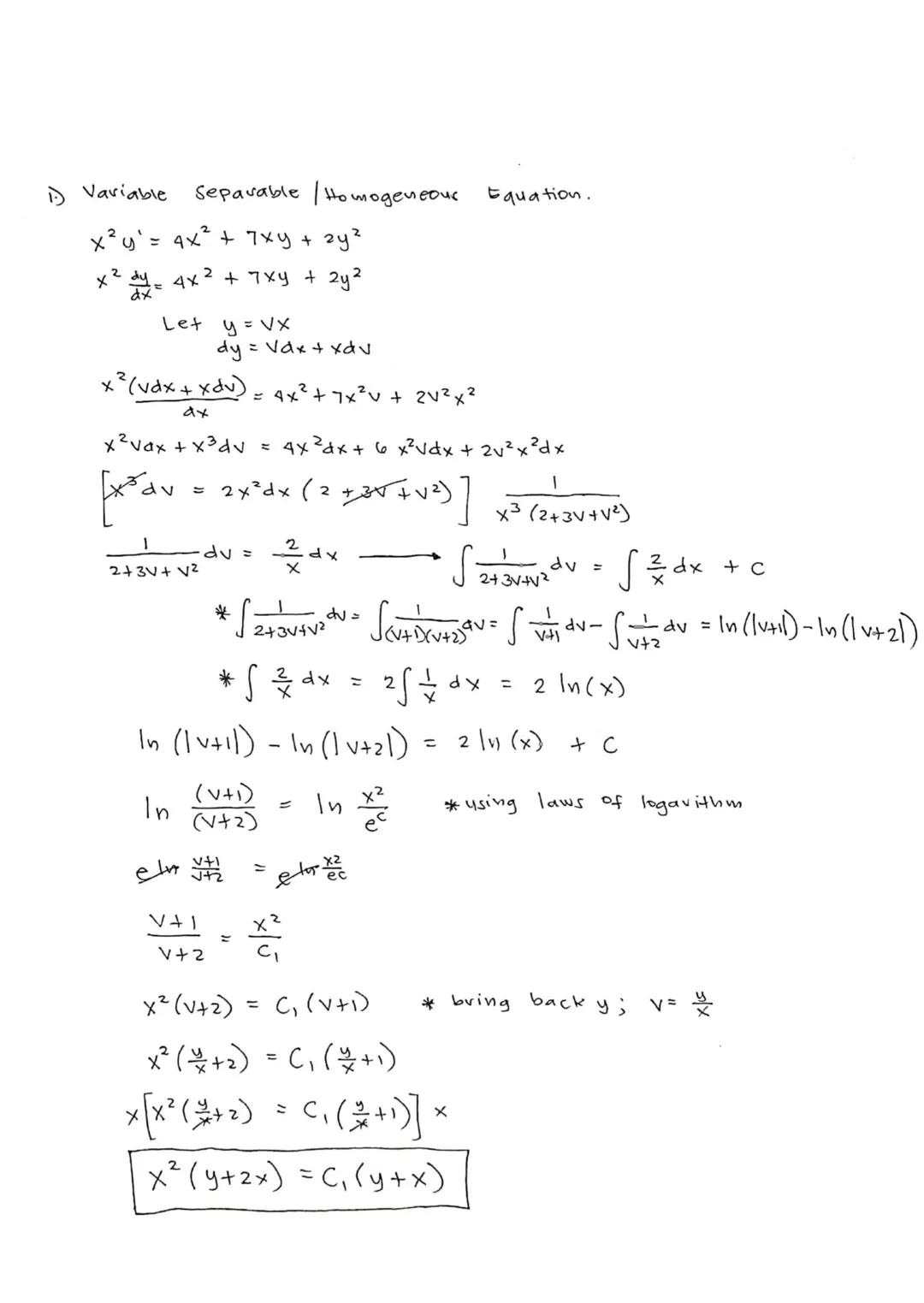
When solving differential equations, we often need to transform complex equations into simpler forms. One powerful approach involves substitution methods.
For homogeneous equations like , we can use the substitution y = vx (where v is a new variable). This transforms our equation by replacing y with vx and dy with vdx + xdv. Through careful algebraic manipulation, we separate the variables v and x.
After separating, we can integrate both sides of the equation. The solution often takes the form of logarithmic expressions that can be simplified using properties of logarithms. Eventually, we substitute back to find the relationship between x and y.
💡 When you see terms with similar degrees (like x²y' and x²), try the substitution y = vx. This often turns messy equations into manageable ones!

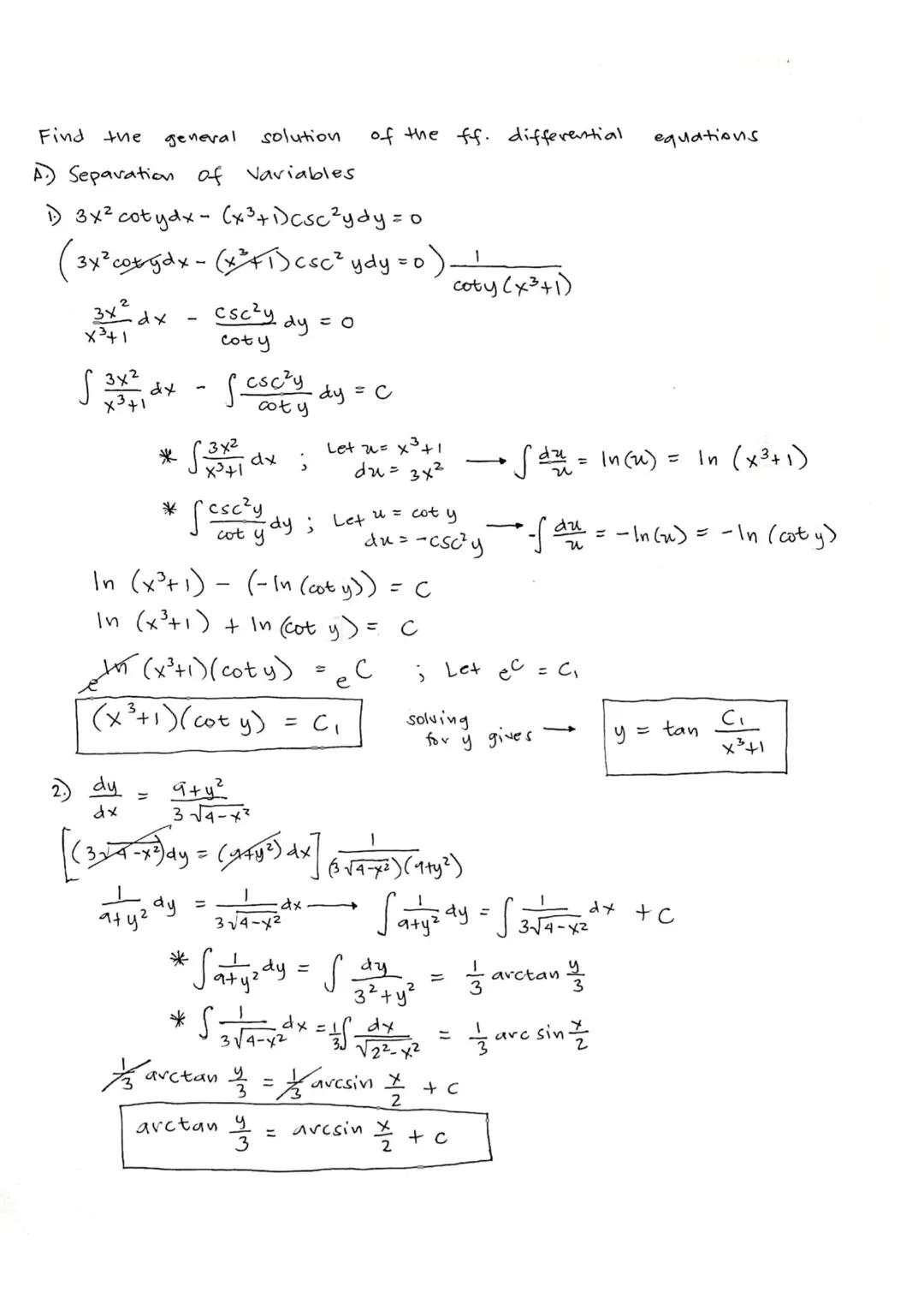
Separable differential equations let us move all terms with one variable to one side, and all terms with the other variable to the other side. Let's see how this works!
For equations like $3x^2cot y dx - csc^2y dy = 0\frac{3x^2}{x^3+1}dx = \frac{csc^2y}{coty}dy$. Then integrate both sides and simplify using substitution techniques when helpful.
The second example, , follows a similar approach. Rearranging gives . When integrating, recognize standard forms like and .
⚡ Look for patterns in integrals! Expressions like and appear frequently and have standard solutions.

Tackling complex differential equations requires patience and strategic substitutions. Let's continue with more challenging examples.
In the equation , our first step is rearranging to separate variables: . We then integrate each term separately. For integrals like , substituting transforms it into a simpler form.
The equation requires similar separation techniques. After dividing by , we get . When integrating , integration by parts helps us handle the product of y and .
After solving both sides, we combine the results and solve for the relationship between x and y, often yielding implicit solutions that can't be directly expressed as y = f(x).
🔍 When integrating rational expressions like , try partial fraction decomposition to break it into simpler terms.

Sometimes differential equations require specific algebraic techniques to solve efficiently. Let's examine a classic case.
For the equation , notice both terms have similar forms. We can rewrite them using partial fraction decomposition: and similarly for the y-term.
After decomposing, we integrate both sides: . These integrate to logarithmic expressions: .
Using logarithm properties, we can simplify to: . After exponentiation and algebraic manipulation, we arrive at the elegant solution , which we can solve for y.
💫 Many differential equations yield solutions with a form of . This pattern appears frequently, so learn to recognize it!

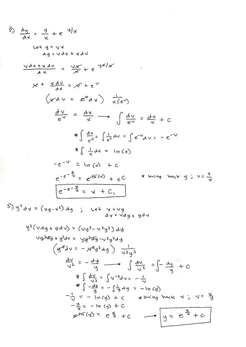
Homogeneous differential equations have a special property: when you replace x with tx and y with ty, the equation remains the same except for a power of t. The substitution y = vx is our key strategy here.
For , we substitute x = vy, which means dx = vdy + ydv. After substitution and rearranging, we get .
Integrating both sides: . We simplify using logarithm properties, eventually getting . Substituting back v = x/y gives us the final solution $3xy^2-y^3 = C_1$.
The beauty of this method is how it transforms a complex equation into a separable one, making it much easier to solve step by step.
🌟 To check if an equation is homogeneous, see if all terms have the same degree when counting x and y together. For example, xy and x² + y² are both degree 2.

Homogeneous equations can look intimidating at first, but our substitution method makes them manageable. Let's tackle a few more examples.
For , we use the substitution y = vx, which gives dy = vdx + xdv. After substituting and simplifying, we get . Integrating both sides yields . Substituting back v = y/x gives us .
For , we use x = vy, leading to . After integration and substitution, our solution becomes .
These solutions may look complex, but they follow from the systematic application of our substitution method and careful integration. The pattern becomes clearer with practice.
🔮 When solving homogeneous equations, after substituting y = vx, watch for terms that can be factored out, making the separation of variables possible.

Even the most complicated-looking homogeneous equations yield to our substitution approach. Let's see how to handle one with square roots.
For , we substitute x = vy, transforming it to . This rearranges to .
The integral requires a trigonometric substitution. Setting v = tan(u) transforms it into , which equals . Combined with , we get .
After substituting back v = x/y and simplifying, our final solution is , which can be further simplified to .
📐 Trigonometric substitutions are powerful for integrals containing , , or . Remember that v = tan(u) works well for .

Let's conclude with a differential equation that combines several techniques we've learned.
For , we use the substitution y = vx, giving dy = vdx + xdv. After substituting and collecting like terms, we get $2x^2dx - x^3vdv = 0$.
Rearranging to separate variables: . We integrate and for the other term, we use substitution u = 2-v² to get .
Combining results and using logarithm properties leads to , which simplifies to .
Solving for y gives us the explicit solution , showing how our homogeneous equation approach leads to a clear final answer.
🧩 When the final form involves y², you can often get an explicit solution by taking the square root of both sides. Just remember to consider both positive and negative solutions if needed.
Our AI companion is specifically built for the needs of students. Based on the millions of content pieces we have on the platform we can provide truly meaningful and relevant answers to students. But its not only about answers, the companion is even more about guiding students through their daily learning challenges, with personalised study plans, quizzes or content pieces in the chat and 100% personalisation based on the students skills and developments.
You can download the app in the Google Play Store and in the Apple App Store.
That's right! Enjoy free access to study content, connect with fellow students, and get instant help – all at your fingertips.
App Store
Google Play
The app is very easy to use and well designed. I have found everything I was looking for so far and have been able to learn a lot from the presentations! I will definitely use the app for a class assignment! And of course it also helps a lot as an inspiration.
Stefan S
iOS user
This app is really great. There are so many study notes and help [...]. My problem subject is French, for example, and the app has so many options for help. Thanks to this app, I have improved my French. I would recommend it to anyone.
Samantha Klich
Android user
Wow, I am really amazed. I just tried the app because I've seen it advertised many times and was absolutely stunned. This app is THE HELP you want for school and above all, it offers so many things, such as workouts and fact sheets, which have been VERY helpful to me personally.
Anna
iOS user
I think it’s very much worth it and you’ll end up using it a lot once you get the hang of it and even after looking at others notes you can still ask your Artificial intelligence buddy the question and ask to simplify it if you still don’t get it!!! In the end I think it’s worth it 😊👍 ⚠️Also DID I MENTION ITS FREEE YOU DON’T HAVE TO PAY FOR ANYTHING AND STILL GET YOUR GRADES IN PERFECTLY❗️❗️⚠️
Thomas R
iOS user
Knowunity is the BEST app I’ve used in a minute. This is not an ai review or anything this is genuinely coming from a 7th grade student (I know 2011 im young) but dude this app is a 10/10 i have maintained a 3.8 gpa and have plenty of time for gaming. I love it and my mom is just happy I got good grades
Brad T
Android user
Not only did it help me find the answer but it also showed me alternative ways to solve it. I was horrible in math and science but now I have an a in both subjects. Thanks for the help🤍🤍
David K
iOS user
The app's just great! All I have to do is enter the topic in the search bar and I get the response real fast. I don't have to watch 10 YouTube videos to understand something, so I'm saving my time. Highly recommended!
Sudenaz Ocak
Android user
In school I was really bad at maths but thanks to the app, I am doing better now. I am so grateful that you made the app.
Greenlight Bonnie
Android user
I found this app a couple years ago and it has only gotten better since then. I really love it because it can help with written questions and photo questions. Also, it can find study guides that other people have made as well as flashcard sets and practice tests. The free version is also amazing for students who might not be able to afford it. Would 100% recommend
Aubrey
iOS user
Best app if you're in Highschool or Junior high. I have been using this app for 2 school years and it's the best, it's good if you don't have anyone to help you with school work.😋🩷🎀
Marco B
iOS user
THE QUIZES AND FLASHCARDS ARE SO USEFUL AND I LOVE Knowunity AI. IT ALSO IS LITREALLY LIKE CHATGPT BUT SMARTER!! HELPED ME WITH MY MASCARA PROBLEMS TOO!! AS WELL AS MY REAL SUBJECTS ! DUHHH 😍😁😲🤑💗✨🎀😮
Elisha
iOS user
This app is phenomenal down to the correct info and the various topics you can study! I greatly recommend it for people who struggle with procrastination and those who need homework help. It has been perfectly accurate for world 1 history as far as I’ve seen! Geometry too!
Paul T
iOS user
The app is very easy to use and well designed. I have found everything I was looking for so far and have been able to learn a lot from the presentations! I will definitely use the app for a class assignment! And of course it also helps a lot as an inspiration.
Stefan S
iOS user
This app is really great. There are so many study notes and help [...]. My problem subject is French, for example, and the app has so many options for help. Thanks to this app, I have improved my French. I would recommend it to anyone.
Samantha Klich
Android user
Wow, I am really amazed. I just tried the app because I've seen it advertised many times and was absolutely stunned. This app is THE HELP you want for school and above all, it offers so many things, such as workouts and fact sheets, which have been VERY helpful to me personally.
Anna
iOS user
I think it’s very much worth it and you’ll end up using it a lot once you get the hang of it and even after looking at others notes you can still ask your Artificial intelligence buddy the question and ask to simplify it if you still don’t get it!!! In the end I think it’s worth it 😊👍 ⚠️Also DID I MENTION ITS FREEE YOU DON’T HAVE TO PAY FOR ANYTHING AND STILL GET YOUR GRADES IN PERFECTLY❗️❗️⚠️
Thomas R
iOS user
Knowunity is the BEST app I’ve used in a minute. This is not an ai review or anything this is genuinely coming from a 7th grade student (I know 2011 im young) but dude this app is a 10/10 i have maintained a 3.8 gpa and have plenty of time for gaming. I love it and my mom is just happy I got good grades
Brad T
Android user
Not only did it help me find the answer but it also showed me alternative ways to solve it. I was horrible in math and science but now I have an a in both subjects. Thanks for the help🤍🤍
David K
iOS user
The app's just great! All I have to do is enter the topic in the search bar and I get the response real fast. I don't have to watch 10 YouTube videos to understand something, so I'm saving my time. Highly recommended!
Sudenaz Ocak
Android user
In school I was really bad at maths but thanks to the app, I am doing better now. I am so grateful that you made the app.
Greenlight Bonnie
Android user
I found this app a couple years ago and it has only gotten better since then. I really love it because it can help with written questions and photo questions. Also, it can find study guides that other people have made as well as flashcard sets and practice tests. The free version is also amazing for students who might not be able to afford it. Would 100% recommend
Aubrey
iOS user
Best app if you're in Highschool or Junior high. I have been using this app for 2 school years and it's the best, it's good if you don't have anyone to help you with school work.😋🩷🎀
Marco B
iOS user
THE QUIZES AND FLASHCARDS ARE SO USEFUL AND I LOVE Knowunity AI. IT ALSO IS LITREALLY LIKE CHATGPT BUT SMARTER!! HELPED ME WITH MY MASCARA PROBLEMS TOO!! AS WELL AS MY REAL SUBJECTS ! DUHHH 😍😁😲🤑💗✨🎀😮
Elisha
iOS user
This app is phenomenal down to the correct info and the various topics you can study! I greatly recommend it for people who struggle with procrastination and those who need homework help. It has been perfectly accurate for world 1 history as far as I’ve seen! Geometry too!
Paul T
iOS user
Benjamin Arguelles
@benjaminarguelles_ysur
Differential equations are mathematical tools that describe how quantities change in relation to each other. These equations appear everywhere in science and engineering, from modeling population growth to describing the motion of objects. In this summary, we'll explore two main... Show more

Access to all documents
Improve your grades
Join milions of students
When solving differential equations, we often need to transform complex equations into simpler forms. One powerful approach involves substitution methods.
For homogeneous equations like , we can use the substitution y = vx (where v is a new variable). This transforms our equation by replacing y with vx and dy with vdx + xdv. Through careful algebraic manipulation, we separate the variables v and x.
After separating, we can integrate both sides of the equation. The solution often takes the form of logarithmic expressions that can be simplified using properties of logarithms. Eventually, we substitute back to find the relationship between x and y.
💡 When you see terms with similar degrees (like x²y' and x²), try the substitution y = vx. This often turns messy equations into manageable ones!

Access to all documents
Improve your grades
Join milions of students
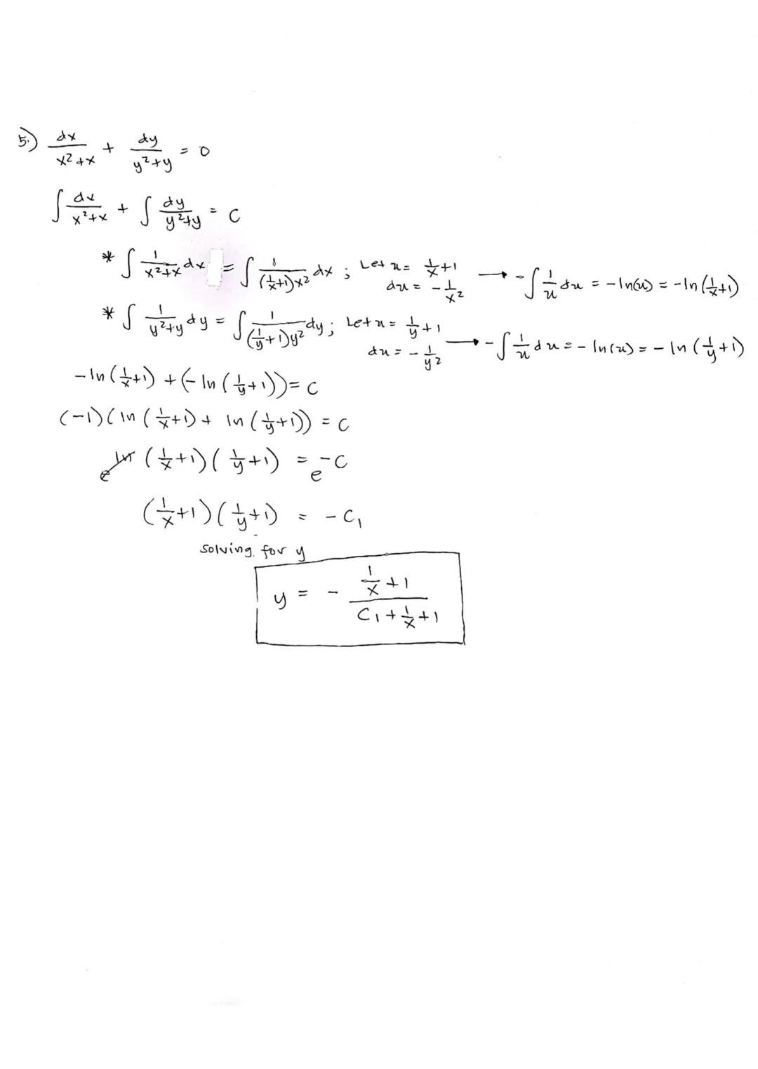
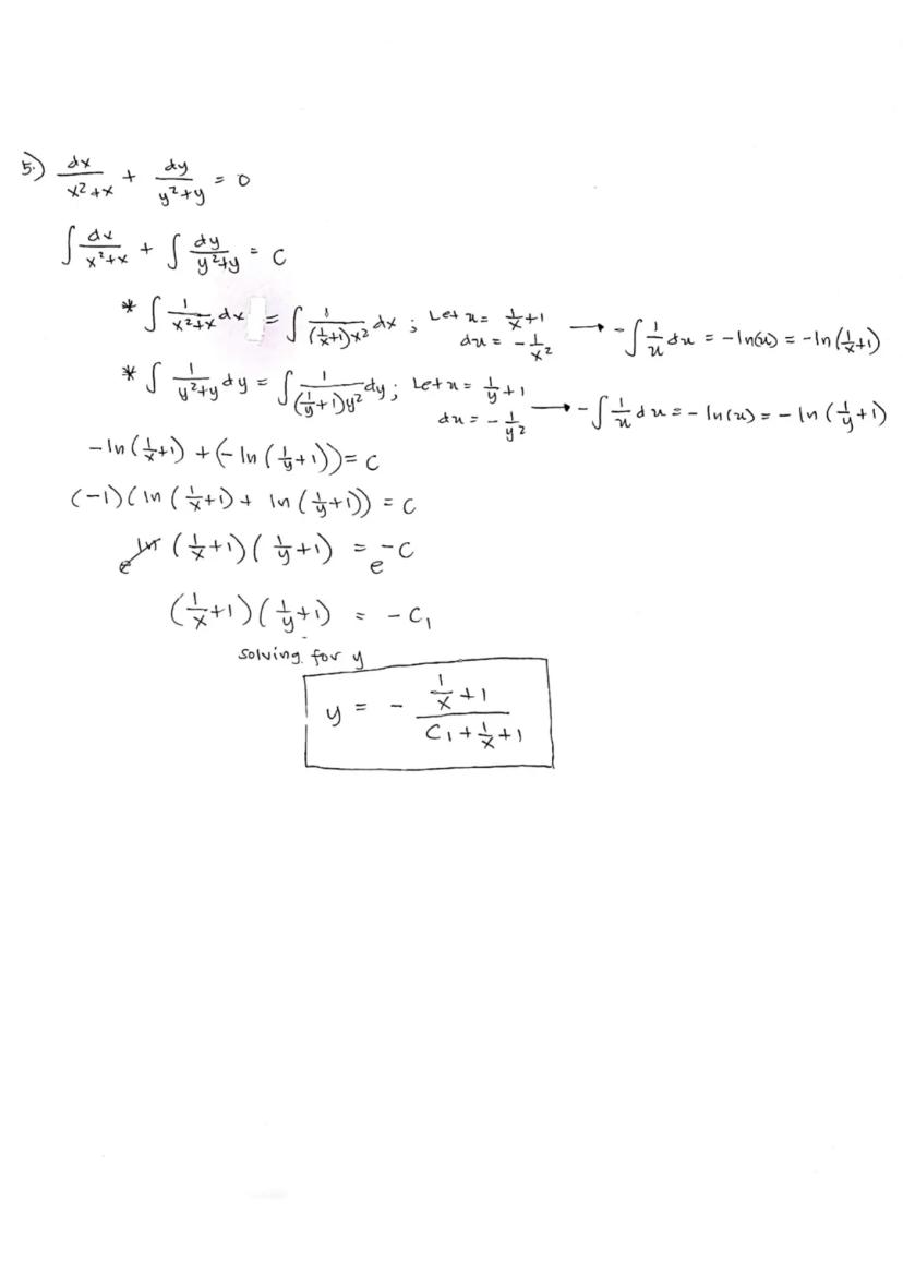
Separable differential equations let us move all terms with one variable to one side, and all terms with the other variable to the other side. Let's see how this works!
For equations like $3x^2cot y dx - csc^2y dy = 0\frac{3x^2}{x^3+1}dx = \frac{csc^2y}{coty}dy$. Then integrate both sides and simplify using substitution techniques when helpful.
The second example, , follows a similar approach. Rearranging gives . When integrating, recognize standard forms like and .
⚡ Look for patterns in integrals! Expressions like and appear frequently and have standard solutions.

Access to all documents
Improve your grades
Join milions of students
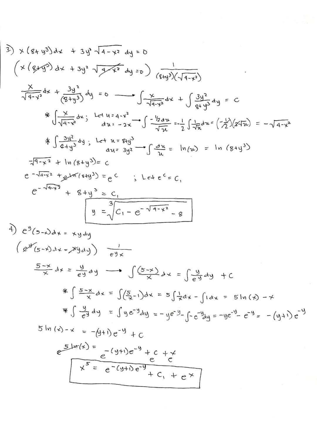
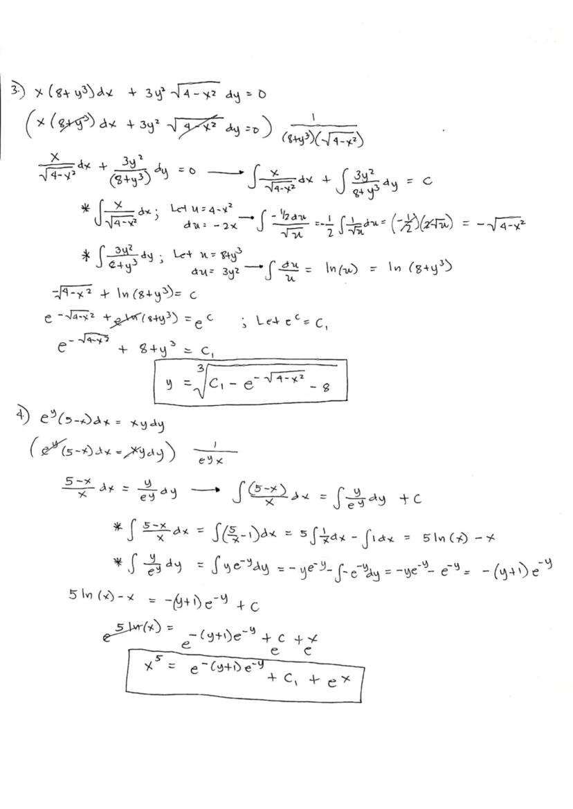
Tackling complex differential equations requires patience and strategic substitutions. Let's continue with more challenging examples.
In the equation , our first step is rearranging to separate variables: . We then integrate each term separately. For integrals like , substituting transforms it into a simpler form.
The equation requires similar separation techniques. After dividing by , we get . When integrating , integration by parts helps us handle the product of y and .
After solving both sides, we combine the results and solve for the relationship between x and y, often yielding implicit solutions that can't be directly expressed as y = f(x).
🔍 When integrating rational expressions like , try partial fraction decomposition to break it into simpler terms.

Access to all documents
Improve your grades
Join milions of students
Sometimes differential equations require specific algebraic techniques to solve efficiently. Let's examine a classic case.
For the equation , notice both terms have similar forms. We can rewrite them using partial fraction decomposition: and similarly for the y-term.
After decomposing, we integrate both sides: . These integrate to logarithmic expressions: .
Using logarithm properties, we can simplify to: . After exponentiation and algebraic manipulation, we arrive at the elegant solution , which we can solve for y.
💫 Many differential equations yield solutions with a form of . This pattern appears frequently, so learn to recognize it!

Access to all documents
Improve your grades
Join milions of students
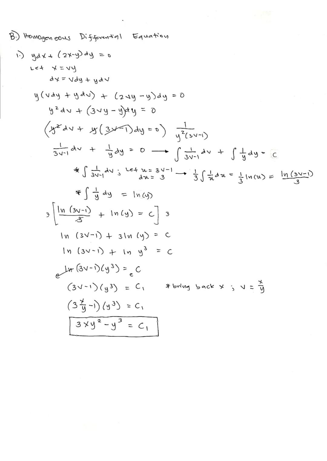
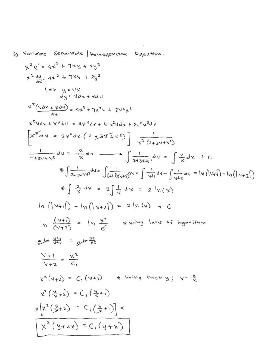
Homogeneous differential equations have a special property: when you replace x with tx and y with ty, the equation remains the same except for a power of t. The substitution y = vx is our key strategy here.
For , we substitute x = vy, which means dx = vdy + ydv. After substitution and rearranging, we get .
Integrating both sides: . We simplify using logarithm properties, eventually getting . Substituting back v = x/y gives us the final solution $3xy^2-y^3 = C_1$.
The beauty of this method is how it transforms a complex equation into a separable one, making it much easier to solve step by step.
🌟 To check if an equation is homogeneous, see if all terms have the same degree when counting x and y together. For example, xy and x² + y² are both degree 2.

Access to all documents
Improve your grades
Join milions of students
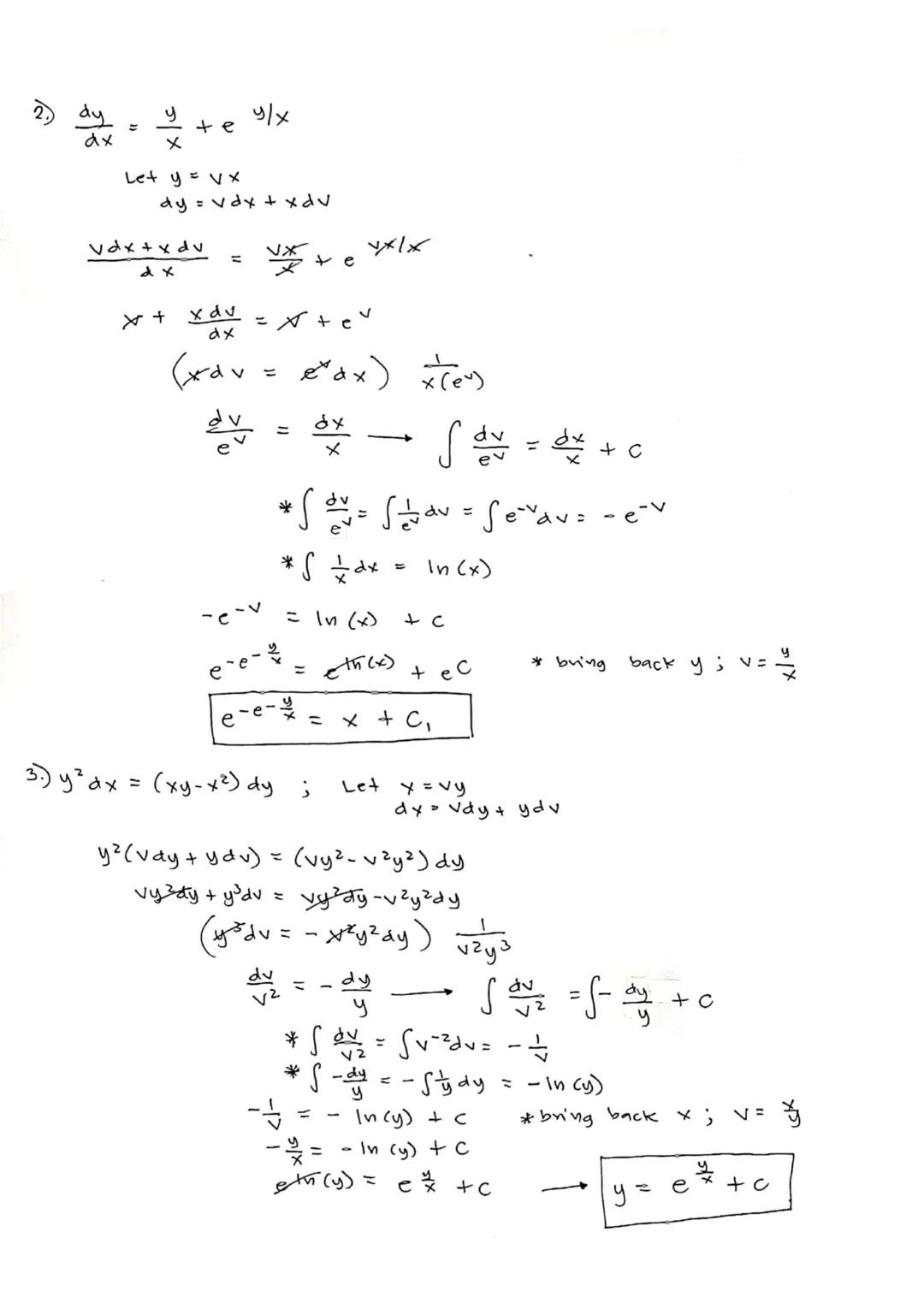
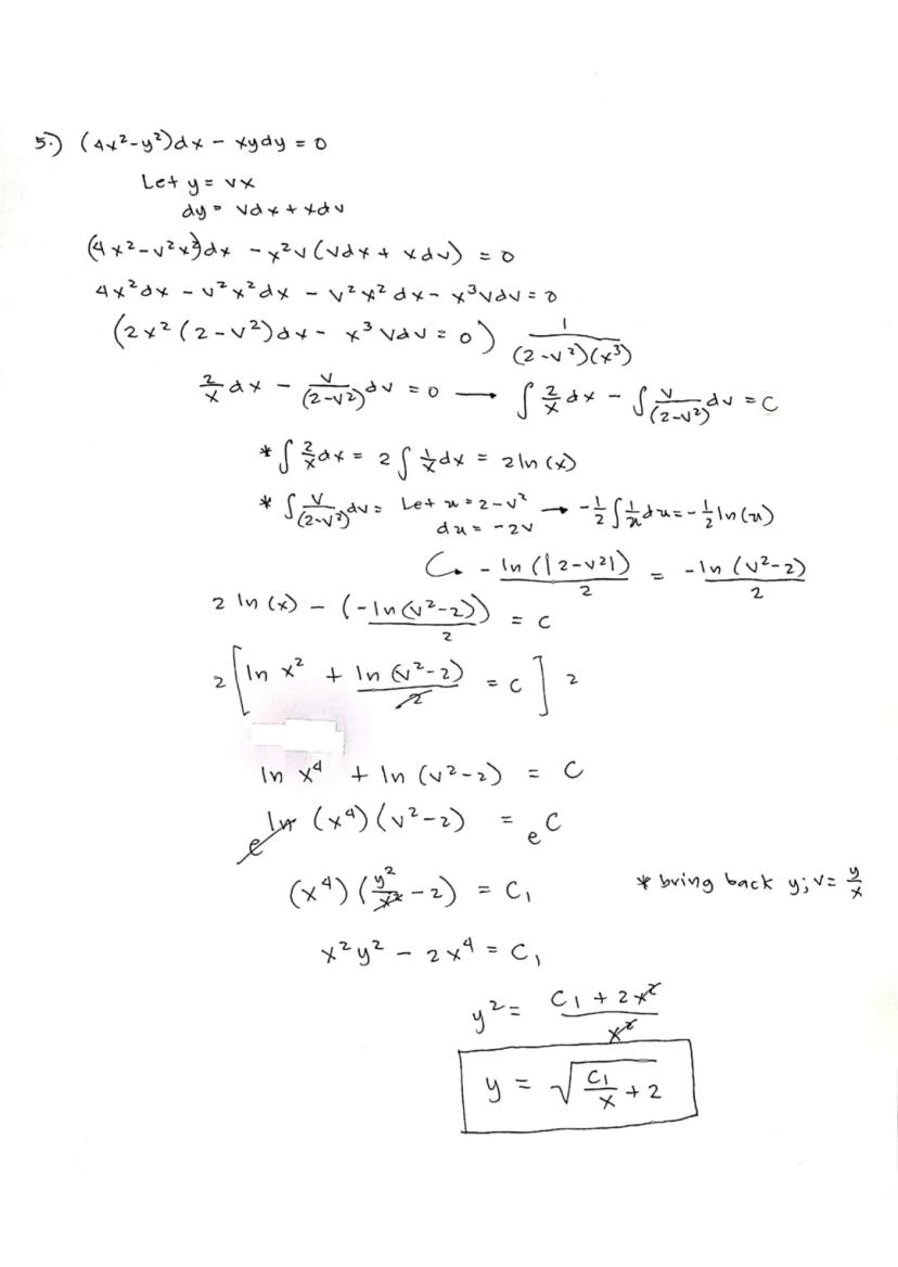
Homogeneous equations can look intimidating at first, but our substitution method makes them manageable. Let's tackle a few more examples.
For , we use the substitution y = vx, which gives dy = vdx + xdv. After substituting and simplifying, we get . Integrating both sides yields . Substituting back v = y/x gives us .
For , we use x = vy, leading to . After integration and substitution, our solution becomes .
These solutions may look complex, but they follow from the systematic application of our substitution method and careful integration. The pattern becomes clearer with practice.
🔮 When solving homogeneous equations, after substituting y = vx, watch for terms that can be factored out, making the separation of variables possible.

Access to all documents
Improve your grades
Join milions of students
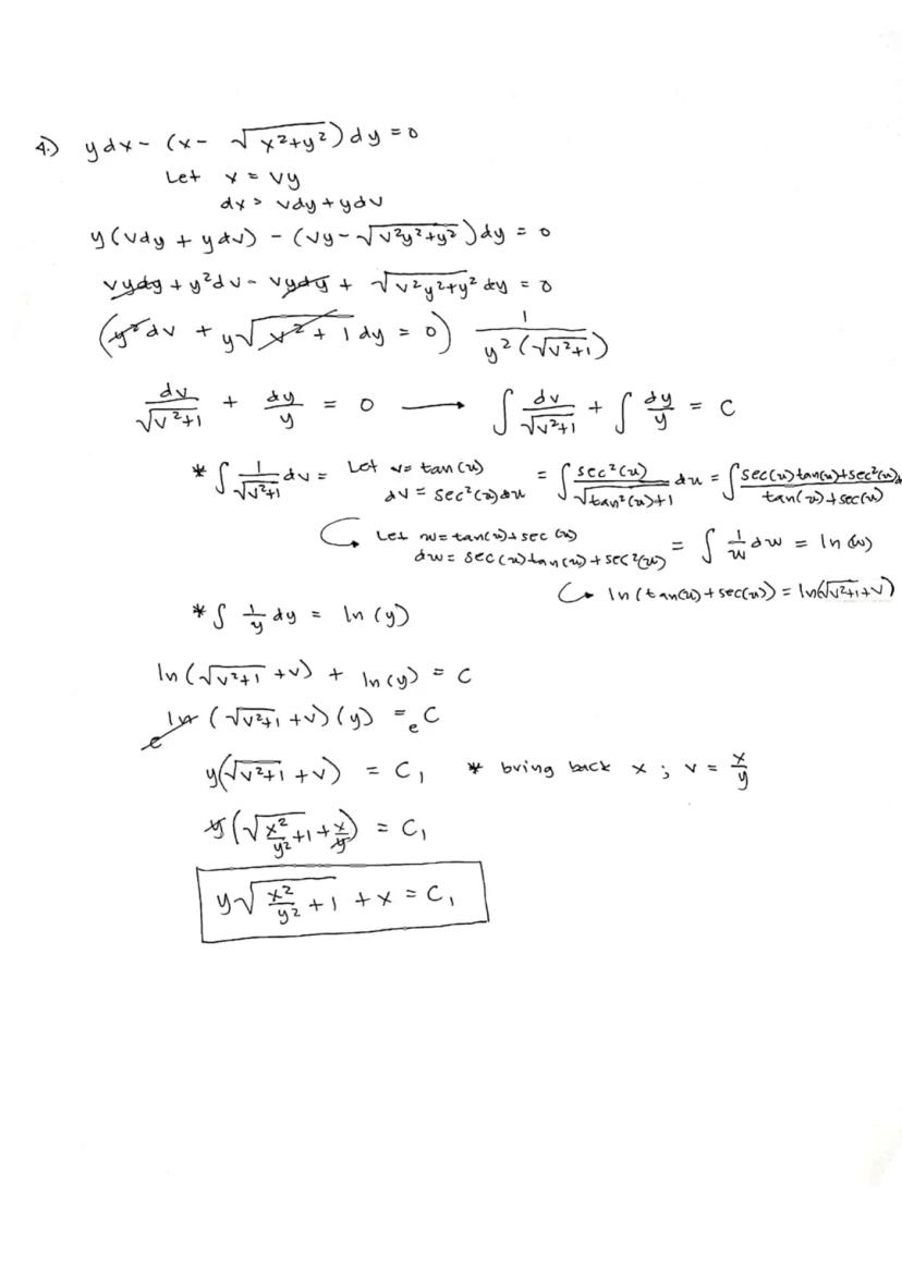
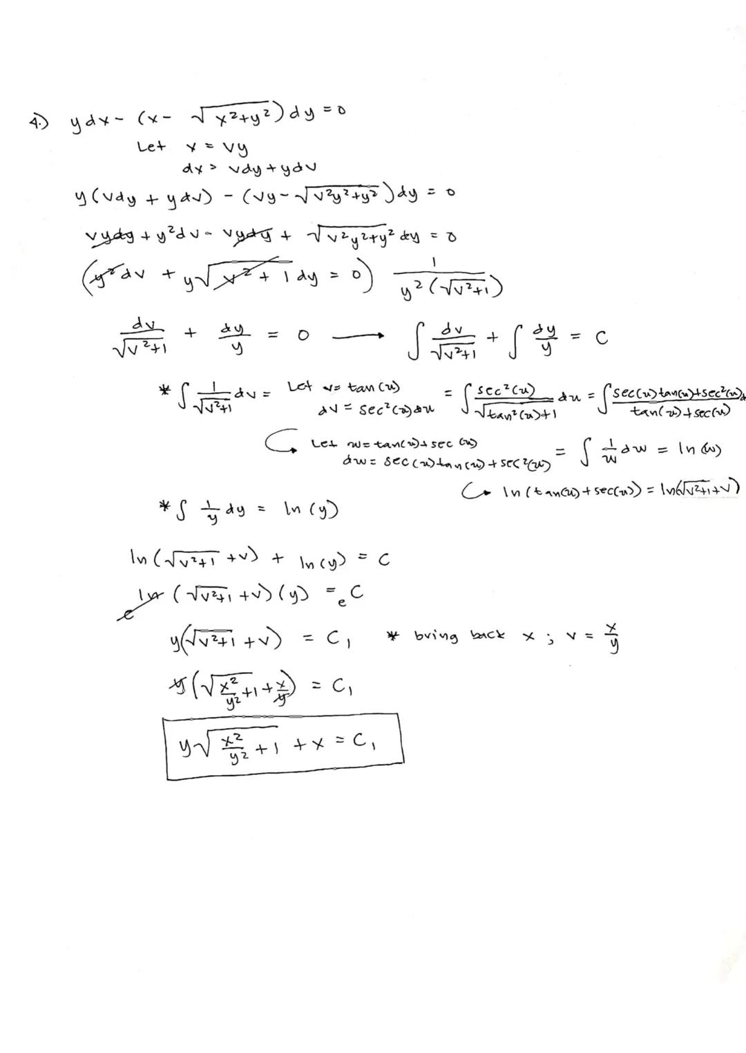
Even the most complicated-looking homogeneous equations yield to our substitution approach. Let's see how to handle one with square roots.
For , we substitute x = vy, transforming it to . This rearranges to .
The integral requires a trigonometric substitution. Setting v = tan(u) transforms it into , which equals . Combined with , we get .
After substituting back v = x/y and simplifying, our final solution is , which can be further simplified to .
📐 Trigonometric substitutions are powerful for integrals containing , , or . Remember that v = tan(u) works well for .

Access to all documents
Improve your grades
Join milions of students
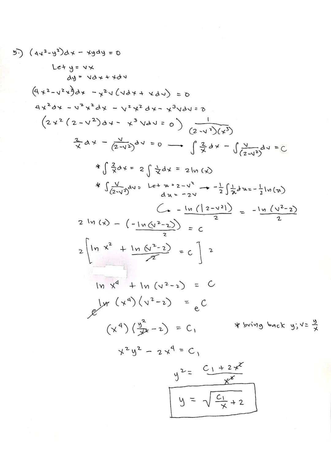
Let's conclude with a differential equation that combines several techniques we've learned.
For , we use the substitution y = vx, giving dy = vdx + xdv. After substituting and collecting like terms, we get $2x^2dx - x^3vdv = 0$.
Rearranging to separate variables: . We integrate and for the other term, we use substitution u = 2-v² to get .
Combining results and using logarithm properties leads to , which simplifies to .
Solving for y gives us the explicit solution , showing how our homogeneous equation approach leads to a clear final answer.
🧩 When the final form involves y², you can often get an explicit solution by taking the square root of both sides. Just remember to consider both positive and negative solutions if needed.
Our AI companion is specifically built for the needs of students. Based on the millions of content pieces we have on the platform we can provide truly meaningful and relevant answers to students. But its not only about answers, the companion is even more about guiding students through their daily learning challenges, with personalised study plans, quizzes or content pieces in the chat and 100% personalisation based on the students skills and developments.
You can download the app in the Google Play Store and in the Apple App Store.
That's right! Enjoy free access to study content, connect with fellow students, and get instant help – all at your fingertips.
1
Smart Tools NEW
Transform this note into: ✓ 50+ Practice Questions ✓ Interactive Flashcards ✓ Full Practice Test ✓ Essay Outlines
App Store
Google Play
The app is very easy to use and well designed. I have found everything I was looking for so far and have been able to learn a lot from the presentations! I will definitely use the app for a class assignment! And of course it also helps a lot as an inspiration.
Stefan S
iOS user
This app is really great. There are so many study notes and help [...]. My problem subject is French, for example, and the app has so many options for help. Thanks to this app, I have improved my French. I would recommend it to anyone.
Samantha Klich
Android user
Wow, I am really amazed. I just tried the app because I've seen it advertised many times and was absolutely stunned. This app is THE HELP you want for school and above all, it offers so many things, such as workouts and fact sheets, which have been VERY helpful to me personally.
Anna
iOS user
I think it’s very much worth it and you’ll end up using it a lot once you get the hang of it and even after looking at others notes you can still ask your Artificial intelligence buddy the question and ask to simplify it if you still don’t get it!!! In the end I think it’s worth it 😊👍 ⚠️Also DID I MENTION ITS FREEE YOU DON’T HAVE TO PAY FOR ANYTHING AND STILL GET YOUR GRADES IN PERFECTLY❗️❗️⚠️
Thomas R
iOS user
Knowunity is the BEST app I’ve used in a minute. This is not an ai review or anything this is genuinely coming from a 7th grade student (I know 2011 im young) but dude this app is a 10/10 i have maintained a 3.8 gpa and have plenty of time for gaming. I love it and my mom is just happy I got good grades
Brad T
Android user
Not only did it help me find the answer but it also showed me alternative ways to solve it. I was horrible in math and science but now I have an a in both subjects. Thanks for the help🤍🤍
David K
iOS user
The app's just great! All I have to do is enter the topic in the search bar and I get the response real fast. I don't have to watch 10 YouTube videos to understand something, so I'm saving my time. Highly recommended!
Sudenaz Ocak
Android user
In school I was really bad at maths but thanks to the app, I am doing better now. I am so grateful that you made the app.
Greenlight Bonnie
Android user
I found this app a couple years ago and it has only gotten better since then. I really love it because it can help with written questions and photo questions. Also, it can find study guides that other people have made as well as flashcard sets and practice tests. The free version is also amazing for students who might not be able to afford it. Would 100% recommend
Aubrey
iOS user
Best app if you're in Highschool or Junior high. I have been using this app for 2 school years and it's the best, it's good if you don't have anyone to help you with school work.😋🩷🎀
Marco B
iOS user
THE QUIZES AND FLASHCARDS ARE SO USEFUL AND I LOVE Knowunity AI. IT ALSO IS LITREALLY LIKE CHATGPT BUT SMARTER!! HELPED ME WITH MY MASCARA PROBLEMS TOO!! AS WELL AS MY REAL SUBJECTS ! DUHHH 😍😁😲🤑💗✨🎀😮
Elisha
iOS user
This app is phenomenal down to the correct info and the various topics you can study! I greatly recommend it for people who struggle with procrastination and those who need homework help. It has been perfectly accurate for world 1 history as far as I’ve seen! Geometry too!
Paul T
iOS user
The app is very easy to use and well designed. I have found everything I was looking for so far and have been able to learn a lot from the presentations! I will definitely use the app for a class assignment! And of course it also helps a lot as an inspiration.
Stefan S
iOS user
This app is really great. There are so many study notes and help [...]. My problem subject is French, for example, and the app has so many options for help. Thanks to this app, I have improved my French. I would recommend it to anyone.
Samantha Klich
Android user
Wow, I am really amazed. I just tried the app because I've seen it advertised many times and was absolutely stunned. This app is THE HELP you want for school and above all, it offers so many things, such as workouts and fact sheets, which have been VERY helpful to me personally.
Anna
iOS user
I think it’s very much worth it and you’ll end up using it a lot once you get the hang of it and even after looking at others notes you can still ask your Artificial intelligence buddy the question and ask to simplify it if you still don’t get it!!! In the end I think it’s worth it 😊👍 ⚠️Also DID I MENTION ITS FREEE YOU DON’T HAVE TO PAY FOR ANYTHING AND STILL GET YOUR GRADES IN PERFECTLY❗️❗️⚠️
Thomas R
iOS user
Knowunity is the BEST app I’ve used in a minute. This is not an ai review or anything this is genuinely coming from a 7th grade student (I know 2011 im young) but dude this app is a 10/10 i have maintained a 3.8 gpa and have plenty of time for gaming. I love it and my mom is just happy I got good grades
Brad T
Android user
Not only did it help me find the answer but it also showed me alternative ways to solve it. I was horrible in math and science but now I have an a in both subjects. Thanks for the help🤍🤍
David K
iOS user
The app's just great! All I have to do is enter the topic in the search bar and I get the response real fast. I don't have to watch 10 YouTube videos to understand something, so I'm saving my time. Highly recommended!
Sudenaz Ocak
Android user
In school I was really bad at maths but thanks to the app, I am doing better now. I am so grateful that you made the app.
Greenlight Bonnie
Android user
I found this app a couple years ago and it has only gotten better since then. I really love it because it can help with written questions and photo questions. Also, it can find study guides that other people have made as well as flashcard sets and practice tests. The free version is also amazing for students who might not be able to afford it. Would 100% recommend
Aubrey
iOS user
Best app if you're in Highschool or Junior high. I have been using this app for 2 school years and it's the best, it's good if you don't have anyone to help you with school work.😋🩷🎀
Marco B
iOS user
THE QUIZES AND FLASHCARDS ARE SO USEFUL AND I LOVE Knowunity AI. IT ALSO IS LITREALLY LIKE CHATGPT BUT SMARTER!! HELPED ME WITH MY MASCARA PROBLEMS TOO!! AS WELL AS MY REAL SUBJECTS ! DUHHH 😍😁😲🤑💗✨🎀😮
Elisha
iOS user
This app is phenomenal down to the correct info and the various topics you can study! I greatly recommend it for people who struggle with procrastination and those who need homework help. It has been perfectly accurate for world 1 history as far as I’ve seen! Geometry too!
Paul T
iOS user