Cell structure and function is all about understanding how the... Show more
Sign up to see the contentIt's free!
Access to all documents
Improve your grades
Join milions of students
Knowunity AI
Subjects
Triangle Congruence and Similarity Theorems
Triangle Properties and Classification
Linear Equations and Graphs
Geometric Angle Relationships
Trigonometric Functions and Identities
Equation Solving Techniques
Circle Geometry Fundamentals
Division Operations and Methods
Basic Differentiation Rules
Exponent and Logarithm Properties
Show all topics
Human Organ Systems
Reproductive Cell Cycles
Biological Sciences Subdisciplines
Cellular Energy Metabolism
Autotrophic Energy Processes
Inheritance Patterns and Principles
Biomolecular Structure and Organization
Cell Cycle and Division Mechanics
Cellular Organization and Development
Biological Structural Organization
Show all topics
Chemical Sciences and Applications
Atomic Structure and Composition
Molecular Electron Structure Representation
Atomic Electron Behavior
Matter Properties and Water
Mole Concept and Calculations
Gas Laws and Behavior
Periodic Table Organization
Chemical Thermodynamics Fundamentals
Chemical Bond Types and Properties
Show all topics
European Renaissance and Enlightenment
European Cultural Movements 800-1920
American Revolution Era 1763-1797
American Civil War 1861-1865
Global Imperial Systems
Mongol and Chinese Dynasties
U.S. Presidents and World Leaders
Historical Sources and Documentation
World Wars Era and Impact
World Religious Systems
Show all topics
Classic and Contemporary Novels
Literary Character Analysis
Rhetorical Theory and Practice
Classic Literary Narratives
Reading Analysis and Interpretation
Narrative Structure and Techniques
English Language Components
Influential English-Language Authors
Basic Sentence Structure
Narrative Voice and Perspective
Show all topics
70
•
Updated Feb 12, 2026
•
Cell structure and function is all about understanding how the... Show more





Ever wondered why cells are so small? It all comes down to surface-to-volume ratio. As cells get larger, their surface area relative to volume decreases, making it harder to transport materials in and out. Smaller cells have a larger surface-to-volume ratio, which is perfect for exchanging molecules efficiently. This is why most cells stay microscopic!
To study these tiny structures, scientists use different types of microscopes. The compound light microscope can resolve objects 500 times better than the human eye. For even greater magnification, scientists use the Transmission Electron Microscope (TEM), while the Scanning Electron Microscope (SEM) creates amazing 3D images.
There are two major cell types: prokaryotic and eukaryotic. Prokaryotic cells lack a membrane-bound nucleus and are smaller and simpler. Eukaryotic cells have a membrane-bound nucleus containing DNA and specialized compartments called organelles. The endosymbiotic theory explains that mitochondria and chloroplasts in eukaryotic cells were once free-living prokaryotes that were engulfed by larger cells.
Fun Fact: Despite their differences, all cells share four essential components: a plasma membrane to protect the cell, cytoplasm (the cell's interior), DNA (genetic material), and ribosomes (for making proteins).

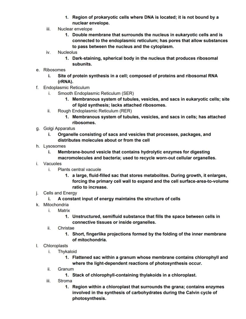
The nucleus is like the cell's command center. In eukaryotes, it's surrounded by a nuclear envelope with pores that allow materials to pass between the nucleus and cytoplasm. Inside the nucleus is the nucleolus, which produces ribosomal subunits, and nucleoplasm, a semifluid medium containing chromatin. Prokaryotes have a nucleoid region where DNA is located, but it's not enclosed by a membrane.
The cell's protein-making factory consists of ribosomes, which are made of proteins and RNA. The endoplasmic reticulum (ER) comes in two forms: rough ER (with attached ribosomes) and smooth ER (without ribosomes, specialized for lipid synthesis). After proteins are made, they're processed and packaged by the Golgi apparatus.
Cellular cleanup and storage is handled by various structures. Lysosomes contain digestive enzymes to break down macromolecules and recycle worn-out organelles. Plant cells have a central vacuole that stores metabolites and helps the cell grow by forcing the cell wall to expand.
Mitochondria are the cell's powerhouses, containing an inner membrane folded into cristae that increases surface area for energy production. Similarly, plant cells have chloroplasts with stacked thylakoids (forming grana) where photosynthesis occurs, surrounded by a fluid-filled region called the stroma where carbohydrates are synthesized.
Remember This: A constant input of energy is needed to maintain cell structure and function. That's why energy-producing organelles like mitochondria are so important!

The cytoskeleton gives cells shape and internal organization. It consists of three main elements: microtubules (hollow tubes made of tubulin), intermediate filaments (ropelike structures that provide strength), and actin filaments (also called microfilaments) that play roles in cell movement and contraction.
Cell division is supported by centrosomes containing centrioles, which help organize the mitotic spindle when chromosomes separate. Some cells have extensions for movement: flagella (long, slender extensions used for locomotion) or cilia (shorter, more numerous projections that can move substances along a cell's surface).
Plant cells have an additional protective layer called the cell wall, which maintains shape and rigidity. Animal cells instead have an extracellular matrix secreted around them, composed of proteins and polysaccharides.
Cells communicate through various junction types. Plant cells have plasmodesmata, channels through cell walls that connect neighboring cells. Animal cells use several types: tight junctions form impermeable barriers, adhesion junctions (like desmosomes) provide structural support, and gap junctions allow small molecules to pass directly between cells.
Check This Out: Specialized organelles called peroxisomes break down fatty acids and amino acids, generating hydrogen peroxide that they then safely convert to harmless products - they create a potential toxin and then neutralize it!

Cells aren't static - they have fascinating ways of moving! Amoeboid movement allows cells to change shape and engulf materials like worn-out red blood cells or viruses. This is how your immune cells track down and capture invaders. It's like having tiny security guards constantly patrolling your body.
Plant cells use cytoplasmic streaming, where actin filaments create tracks for chloroplasts and other organelles to move in specific directions. This process helps distribute materials throughout the cell, especially important in large plant cells where diffusion alone would be too slow.
Understanding cell structure is easier when you visualize the differences between plant and animal cells. Animal cells lack cell walls and chloroplasts but have centrioles. Plant cells have chloroplasts for photosynthesis, a large central vacuole, and a rigid cell wall for support. Both share many organelles like mitochondria, ER, and Golgi apparatus.
Pro Tip: When studying cell structure, draw both plant and animal cells side by side to better understand their unique features and shared components. This visual comparison makes remembering their differences much easier!
Our AI companion is specifically built for the needs of students. Based on the millions of content pieces we have on the platform we can provide truly meaningful and relevant answers to students. But its not only about answers, the companion is even more about guiding students through their daily learning challenges, with personalised study plans, quizzes or content pieces in the chat and 100% personalisation based on the students skills and developments.
You can download the app in the Google Play Store and in the Apple App Store.
That's right! Enjoy free access to study content, connect with fellow students, and get instant help – all at your fingertips.
App Store
Google Play
The app is very easy to use and well designed. I have found everything I was looking for so far and have been able to learn a lot from the presentations! I will definitely use the app for a class assignment! And of course it also helps a lot as an inspiration.
Stefan S
iOS user
This app is really great. There are so many study notes and help [...]. My problem subject is French, for example, and the app has so many options for help. Thanks to this app, I have improved my French. I would recommend it to anyone.
Samantha Klich
Android user
Wow, I am really amazed. I just tried the app because I've seen it advertised many times and was absolutely stunned. This app is THE HELP you want for school and above all, it offers so many things, such as workouts and fact sheets, which have been VERY helpful to me personally.
Anna
iOS user
I think it’s very much worth it and you’ll end up using it a lot once you get the hang of it and even after looking at others notes you can still ask your Artificial intelligence buddy the question and ask to simplify it if you still don’t get it!!! In the end I think it’s worth it 😊👍 ⚠️Also DID I MENTION ITS FREEE YOU DON’T HAVE TO PAY FOR ANYTHING AND STILL GET YOUR GRADES IN PERFECTLY❗️❗️⚠️
Thomas R
iOS user
Knowunity is the BEST app I’ve used in a minute. This is not an ai review or anything this is genuinely coming from a 7th grade student (I know 2011 im young) but dude this app is a 10/10 i have maintained a 3.8 gpa and have plenty of time for gaming. I love it and my mom is just happy I got good grades
Brad T
Android user
Not only did it help me find the answer but it also showed me alternative ways to solve it. I was horrible in math and science but now I have an a in both subjects. Thanks for the help🤍🤍
David K
iOS user
The app's just great! All I have to do is enter the topic in the search bar and I get the response real fast. I don't have to watch 10 YouTube videos to understand something, so I'm saving my time. Highly recommended!
Sudenaz Ocak
Android user
In school I was really bad at maths but thanks to the app, I am doing better now. I am so grateful that you made the app.
Greenlight Bonnie
Android user
I found this app a couple years ago and it has only gotten better since then. I really love it because it can help with written questions and photo questions. Also, it can find study guides that other people have made as well as flashcard sets and practice tests. The free version is also amazing for students who might not be able to afford it. Would 100% recommend
Aubrey
iOS user
Best app if you're in Highschool or Junior high. I have been using this app for 2 school years and it's the best, it's good if you don't have anyone to help you with school work.😋🩷🎀
Marco B
iOS user
THE QUIZES AND FLASHCARDS ARE SO USEFUL AND I LOVE Knowunity AI. IT ALSO IS LITREALLY LIKE CHATGPT BUT SMARTER!! HELPED ME WITH MY MASCARA PROBLEMS TOO!! AS WELL AS MY REAL SUBJECTS ! DUHHH 😍😁😲🤑💗✨🎀😮
Elisha
iOS user
This app is phenomenal down to the correct info and the various topics you can study! I greatly recommend it for people who struggle with procrastination and those who need homework help. It has been perfectly accurate for world 1 history as far as I’ve seen! Geometry too!
Paul T
iOS user
The app is very easy to use and well designed. I have found everything I was looking for so far and have been able to learn a lot from the presentations! I will definitely use the app for a class assignment! And of course it also helps a lot as an inspiration.
Stefan S
iOS user
This app is really great. There are so many study notes and help [...]. My problem subject is French, for example, and the app has so many options for help. Thanks to this app, I have improved my French. I would recommend it to anyone.
Samantha Klich
Android user
Wow, I am really amazed. I just tried the app because I've seen it advertised many times and was absolutely stunned. This app is THE HELP you want for school and above all, it offers so many things, such as workouts and fact sheets, which have been VERY helpful to me personally.
Anna
iOS user
I think it’s very much worth it and you’ll end up using it a lot once you get the hang of it and even after looking at others notes you can still ask your Artificial intelligence buddy the question and ask to simplify it if you still don’t get it!!! In the end I think it’s worth it 😊👍 ⚠️Also DID I MENTION ITS FREEE YOU DON’T HAVE TO PAY FOR ANYTHING AND STILL GET YOUR GRADES IN PERFECTLY❗️❗️⚠️
Thomas R
iOS user
Knowunity is the BEST app I’ve used in a minute. This is not an ai review or anything this is genuinely coming from a 7th grade student (I know 2011 im young) but dude this app is a 10/10 i have maintained a 3.8 gpa and have plenty of time for gaming. I love it and my mom is just happy I got good grades
Brad T
Android user
Not only did it help me find the answer but it also showed me alternative ways to solve it. I was horrible in math and science but now I have an a in both subjects. Thanks for the help🤍🤍
David K
iOS user
The app's just great! All I have to do is enter the topic in the search bar and I get the response real fast. I don't have to watch 10 YouTube videos to understand something, so I'm saving my time. Highly recommended!
Sudenaz Ocak
Android user
In school I was really bad at maths but thanks to the app, I am doing better now. I am so grateful that you made the app.
Greenlight Bonnie
Android user
I found this app a couple years ago and it has only gotten better since then. I really love it because it can help with written questions and photo questions. Also, it can find study guides that other people have made as well as flashcard sets and practice tests. The free version is also amazing for students who might not be able to afford it. Would 100% recommend
Aubrey
iOS user
Best app if you're in Highschool or Junior high. I have been using this app for 2 school years and it's the best, it's good if you don't have anyone to help you with school work.😋🩷🎀
Marco B
iOS user
THE QUIZES AND FLASHCARDS ARE SO USEFUL AND I LOVE Knowunity AI. IT ALSO IS LITREALLY LIKE CHATGPT BUT SMARTER!! HELPED ME WITH MY MASCARA PROBLEMS TOO!! AS WELL AS MY REAL SUBJECTS ! DUHHH 😍😁😲🤑💗✨🎀😮
Elisha
iOS user
This app is phenomenal down to the correct info and the various topics you can study! I greatly recommend it for people who struggle with procrastination and those who need homework help. It has been perfectly accurate for world 1 history as far as I’ve seen! Geometry too!
Paul T
iOS user
Cell structure and function is all about understanding how the tiny building blocks of life work. Cells are incredible microscopic units that perform all the functions necessary for life. The way cells are built, their size, and their components all... Show more

Access to all documents
Improve your grades
Join milions of students
Ever wondered why cells are so small? It all comes down to surface-to-volume ratio. As cells get larger, their surface area relative to volume decreases, making it harder to transport materials in and out. Smaller cells have a larger surface-to-volume ratio, which is perfect for exchanging molecules efficiently. This is why most cells stay microscopic!
To study these tiny structures, scientists use different types of microscopes. The compound light microscope can resolve objects 500 times better than the human eye. For even greater magnification, scientists use the Transmission Electron Microscope (TEM), while the Scanning Electron Microscope (SEM) creates amazing 3D images.
There are two major cell types: prokaryotic and eukaryotic. Prokaryotic cells lack a membrane-bound nucleus and are smaller and simpler. Eukaryotic cells have a membrane-bound nucleus containing DNA and specialized compartments called organelles. The endosymbiotic theory explains that mitochondria and chloroplasts in eukaryotic cells were once free-living prokaryotes that were engulfed by larger cells.
Fun Fact: Despite their differences, all cells share four essential components: a plasma membrane to protect the cell, cytoplasm (the cell's interior), DNA (genetic material), and ribosomes (for making proteins).

Access to all documents
Improve your grades
Join milions of students
The nucleus is like the cell's command center. In eukaryotes, it's surrounded by a nuclear envelope with pores that allow materials to pass between the nucleus and cytoplasm. Inside the nucleus is the nucleolus, which produces ribosomal subunits, and nucleoplasm, a semifluid medium containing chromatin. Prokaryotes have a nucleoid region where DNA is located, but it's not enclosed by a membrane.
The cell's protein-making factory consists of ribosomes, which are made of proteins and RNA. The endoplasmic reticulum (ER) comes in two forms: rough ER (with attached ribosomes) and smooth ER (without ribosomes, specialized for lipid synthesis). After proteins are made, they're processed and packaged by the Golgi apparatus.
Cellular cleanup and storage is handled by various structures. Lysosomes contain digestive enzymes to break down macromolecules and recycle worn-out organelles. Plant cells have a central vacuole that stores metabolites and helps the cell grow by forcing the cell wall to expand.
Mitochondria are the cell's powerhouses, containing an inner membrane folded into cristae that increases surface area for energy production. Similarly, plant cells have chloroplasts with stacked thylakoids (forming grana) where photosynthesis occurs, surrounded by a fluid-filled region called the stroma where carbohydrates are synthesized.
Remember This: A constant input of energy is needed to maintain cell structure and function. That's why energy-producing organelles like mitochondria are so important!

Access to all documents
Improve your grades
Join milions of students
The cytoskeleton gives cells shape and internal organization. It consists of three main elements: microtubules (hollow tubes made of tubulin), intermediate filaments (ropelike structures that provide strength), and actin filaments (also called microfilaments) that play roles in cell movement and contraction.
Cell division is supported by centrosomes containing centrioles, which help organize the mitotic spindle when chromosomes separate. Some cells have extensions for movement: flagella (long, slender extensions used for locomotion) or cilia (shorter, more numerous projections that can move substances along a cell's surface).
Plant cells have an additional protective layer called the cell wall, which maintains shape and rigidity. Animal cells instead have an extracellular matrix secreted around them, composed of proteins and polysaccharides.
Cells communicate through various junction types. Plant cells have plasmodesmata, channels through cell walls that connect neighboring cells. Animal cells use several types: tight junctions form impermeable barriers, adhesion junctions (like desmosomes) provide structural support, and gap junctions allow small molecules to pass directly between cells.
Check This Out: Specialized organelles called peroxisomes break down fatty acids and amino acids, generating hydrogen peroxide that they then safely convert to harmless products - they create a potential toxin and then neutralize it!

Access to all documents
Improve your grades
Join milions of students
Cells aren't static - they have fascinating ways of moving! Amoeboid movement allows cells to change shape and engulf materials like worn-out red blood cells or viruses. This is how your immune cells track down and capture invaders. It's like having tiny security guards constantly patrolling your body.
Plant cells use cytoplasmic streaming, where actin filaments create tracks for chloroplasts and other organelles to move in specific directions. This process helps distribute materials throughout the cell, especially important in large plant cells where diffusion alone would be too slow.
Understanding cell structure is easier when you visualize the differences between plant and animal cells. Animal cells lack cell walls and chloroplasts but have centrioles. Plant cells have chloroplasts for photosynthesis, a large central vacuole, and a rigid cell wall for support. Both share many organelles like mitochondria, ER, and Golgi apparatus.
Pro Tip: When studying cell structure, draw both plant and animal cells side by side to better understand their unique features and shared components. This visual comparison makes remembering their differences much easier!
Our AI companion is specifically built for the needs of students. Based on the millions of content pieces we have on the platform we can provide truly meaningful and relevant answers to students. But its not only about answers, the companion is even more about guiding students through their daily learning challenges, with personalised study plans, quizzes or content pieces in the chat and 100% personalisation based on the students skills and developments.
You can download the app in the Google Play Store and in the Apple App Store.
That's right! Enjoy free access to study content, connect with fellow students, and get instant help – all at your fingertips.
4
Smart Tools NEW
Transform this note into: ✓ 50+ Practice Questions ✓ Interactive Flashcards ✓ Full Practice Test ✓ Essay Outlines
Explore key concepts in Biology Unit 1, covering cellular respiration, enzyme functions, DNA structure, and genetic engineering. This summary highlights essential processes such as ATP production, protein synthesis, and transport mechanisms across cell membranes. Ideal for students preparing for exams or seeking a comprehensive understanding of cellular biology.
Show the type of specific name of Organelle and the jobs that they do within the Cells.
Explore the key differences and similarities between plant and animal cells, including specialized cell types and their functions. This summary covers essential concepts in cellular biology, microscopy techniques, and magnification methods, making it ideal for Biology Paper 1 revision.
Microsocopy; Cell Fractionation; Prokaryotes/Eukaryotes; Parts of the Cell
Reviews prokaryotes for AP Biology
Ap Biology
App Store
Google Play
The app is very easy to use and well designed. I have found everything I was looking for so far and have been able to learn a lot from the presentations! I will definitely use the app for a class assignment! And of course it also helps a lot as an inspiration.
Stefan S
iOS user
This app is really great. There are so many study notes and help [...]. My problem subject is French, for example, and the app has so many options for help. Thanks to this app, I have improved my French. I would recommend it to anyone.
Samantha Klich
Android user
Wow, I am really amazed. I just tried the app because I've seen it advertised many times and was absolutely stunned. This app is THE HELP you want for school and above all, it offers so many things, such as workouts and fact sheets, which have been VERY helpful to me personally.
Anna
iOS user
I think it’s very much worth it and you’ll end up using it a lot once you get the hang of it and even after looking at others notes you can still ask your Artificial intelligence buddy the question and ask to simplify it if you still don’t get it!!! In the end I think it’s worth it 😊👍 ⚠️Also DID I MENTION ITS FREEE YOU DON’T HAVE TO PAY FOR ANYTHING AND STILL GET YOUR GRADES IN PERFECTLY❗️❗️⚠️
Thomas R
iOS user
Knowunity is the BEST app I’ve used in a minute. This is not an ai review or anything this is genuinely coming from a 7th grade student (I know 2011 im young) but dude this app is a 10/10 i have maintained a 3.8 gpa and have plenty of time for gaming. I love it and my mom is just happy I got good grades
Brad T
Android user
Not only did it help me find the answer but it also showed me alternative ways to solve it. I was horrible in math and science but now I have an a in both subjects. Thanks for the help🤍🤍
David K
iOS user
The app's just great! All I have to do is enter the topic in the search bar and I get the response real fast. I don't have to watch 10 YouTube videos to understand something, so I'm saving my time. Highly recommended!
Sudenaz Ocak
Android user
In school I was really bad at maths but thanks to the app, I am doing better now. I am so grateful that you made the app.
Greenlight Bonnie
Android user
I found this app a couple years ago and it has only gotten better since then. I really love it because it can help with written questions and photo questions. Also, it can find study guides that other people have made as well as flashcard sets and practice tests. The free version is also amazing for students who might not be able to afford it. Would 100% recommend
Aubrey
iOS user
Best app if you're in Highschool or Junior high. I have been using this app for 2 school years and it's the best, it's good if you don't have anyone to help you with school work.😋🩷🎀
Marco B
iOS user
THE QUIZES AND FLASHCARDS ARE SO USEFUL AND I LOVE Knowunity AI. IT ALSO IS LITREALLY LIKE CHATGPT BUT SMARTER!! HELPED ME WITH MY MASCARA PROBLEMS TOO!! AS WELL AS MY REAL SUBJECTS ! DUHHH 😍😁😲🤑💗✨🎀😮
Elisha
iOS user
This app is phenomenal down to the correct info and the various topics you can study! I greatly recommend it for people who struggle with procrastination and those who need homework help. It has been perfectly accurate for world 1 history as far as I’ve seen! Geometry too!
Paul T
iOS user
The app is very easy to use and well designed. I have found everything I was looking for so far and have been able to learn a lot from the presentations! I will definitely use the app for a class assignment! And of course it also helps a lot as an inspiration.
Stefan S
iOS user
This app is really great. There are so many study notes and help [...]. My problem subject is French, for example, and the app has so many options for help. Thanks to this app, I have improved my French. I would recommend it to anyone.
Samantha Klich
Android user
Wow, I am really amazed. I just tried the app because I've seen it advertised many times and was absolutely stunned. This app is THE HELP you want for school and above all, it offers so many things, such as workouts and fact sheets, which have been VERY helpful to me personally.
Anna
iOS user
I think it’s very much worth it and you’ll end up using it a lot once you get the hang of it and even after looking at others notes you can still ask your Artificial intelligence buddy the question and ask to simplify it if you still don’t get it!!! In the end I think it’s worth it 😊👍 ⚠️Also DID I MENTION ITS FREEE YOU DON’T HAVE TO PAY FOR ANYTHING AND STILL GET YOUR GRADES IN PERFECTLY❗️❗️⚠️
Thomas R
iOS user
Knowunity is the BEST app I’ve used in a minute. This is not an ai review or anything this is genuinely coming from a 7th grade student (I know 2011 im young) but dude this app is a 10/10 i have maintained a 3.8 gpa and have plenty of time for gaming. I love it and my mom is just happy I got good grades
Brad T
Android user
Not only did it help me find the answer but it also showed me alternative ways to solve it. I was horrible in math and science but now I have an a in both subjects. Thanks for the help🤍🤍
David K
iOS user
The app's just great! All I have to do is enter the topic in the search bar and I get the response real fast. I don't have to watch 10 YouTube videos to understand something, so I'm saving my time. Highly recommended!
Sudenaz Ocak
Android user
In school I was really bad at maths but thanks to the app, I am doing better now. I am so grateful that you made the app.
Greenlight Bonnie
Android user
I found this app a couple years ago and it has only gotten better since then. I really love it because it can help with written questions and photo questions. Also, it can find study guides that other people have made as well as flashcard sets and practice tests. The free version is also amazing for students who might not be able to afford it. Would 100% recommend
Aubrey
iOS user
Best app if you're in Highschool or Junior high. I have been using this app for 2 school years and it's the best, it's good if you don't have anyone to help you with school work.😋🩷🎀
Marco B
iOS user
THE QUIZES AND FLASHCARDS ARE SO USEFUL AND I LOVE Knowunity AI. IT ALSO IS LITREALLY LIKE CHATGPT BUT SMARTER!! HELPED ME WITH MY MASCARA PROBLEMS TOO!! AS WELL AS MY REAL SUBJECTS ! DUHHH 😍😁😲🤑💗✨🎀😮
Elisha
iOS user
This app is phenomenal down to the correct info and the various topics you can study! I greatly recommend it for people who struggle with procrastination and those who need homework help. It has been perfectly accurate for world 1 history as far as I’ve seen! Geometry too!
Paul T
iOS user