Muscles are the body's movement machines, allowing us to perform... Show more
Sign up to see the contentIt's free!
Access to all documents
Improve your grades
Join milions of students
Knowunity AI
Subjects
Triangle Congruence and Similarity Theorems
Triangle Properties and Classification
Linear Equations and Graphs
Geometric Angle Relationships
Trigonometric Functions and Identities
Equation Solving Techniques
Circle Geometry Fundamentals
Division Operations and Methods
Basic Differentiation Rules
Exponent and Logarithm Properties
Show all topics
Human Organ Systems
Reproductive Cell Cycles
Biological Sciences Subdisciplines
Cellular Energy Metabolism
Autotrophic Energy Processes
Inheritance Patterns and Principles
Biomolecular Structure and Organization
Cell Cycle and Division Mechanics
Cellular Organization and Development
Biological Structural Organization
Show all topics
Chemical Sciences and Applications
Atomic Structure and Composition
Molecular Electron Structure Representation
Atomic Electron Behavior
Matter Properties and Water
Mole Concept and Calculations
Gas Laws and Behavior
Periodic Table Organization
Chemical Thermodynamics Fundamentals
Chemical Bond Types and Properties
Show all topics
European Renaissance and Enlightenment
European Cultural Movements 800-1920
American Revolution Era 1763-1797
American Civil War 1861-1865
Global Imperial Systems
Mongol and Chinese Dynasties
U.S. Presidents and World Leaders
Historical Sources and Documentation
World Wars Era and Impact
World Religious Systems
Show all topics
Classic and Contemporary Novels
Literary Character Analysis
Rhetorical Theory and Practice
Classic Literary Narratives
Reading Analysis and Interpretation
Narrative Structure and Techniques
English Language Components
Influential English-Language Authors
Basic Sentence Structure
Narrative Voice and Perspective
Show all topics
151
•
Updated Feb 22, 2026
•
Giana Lynch
@gianalynch_dpez
Muscles are the body's movement machines, allowing us to perform... Show more










Your body contains three distinct muscle types, each with specialized functions. Skeletal muscle is both striated (has visible bands) and voluntary, attaching to bones and requiring conscious control through somatic motor nerves. Smooth muscle is nonstriated and involuntary, found in organ walls, blood vessels, and other viscera where it works automatically without your conscious control. Cardiac muscle is uniquely striated yet involuntary, found exclusively in the heart.
Whole muscles have a complex organizational structure. The entire muscle is wrapped in epimysium, a protective connective tissue layer. Inside, muscle fibers are bundled into fascicles wrapped in perimysium, while individual muscle fibers have their own endomysium covering. Muscles attach to bones through tendons or aponeuroses .
Quick Tip: Think of muscle organization like a cable: individual wires (muscle fibers) are bundled into groups (fascicles), and the entire cable has an outer protective covering (epimysium). This hierarchical structure allows for precise control of movements.
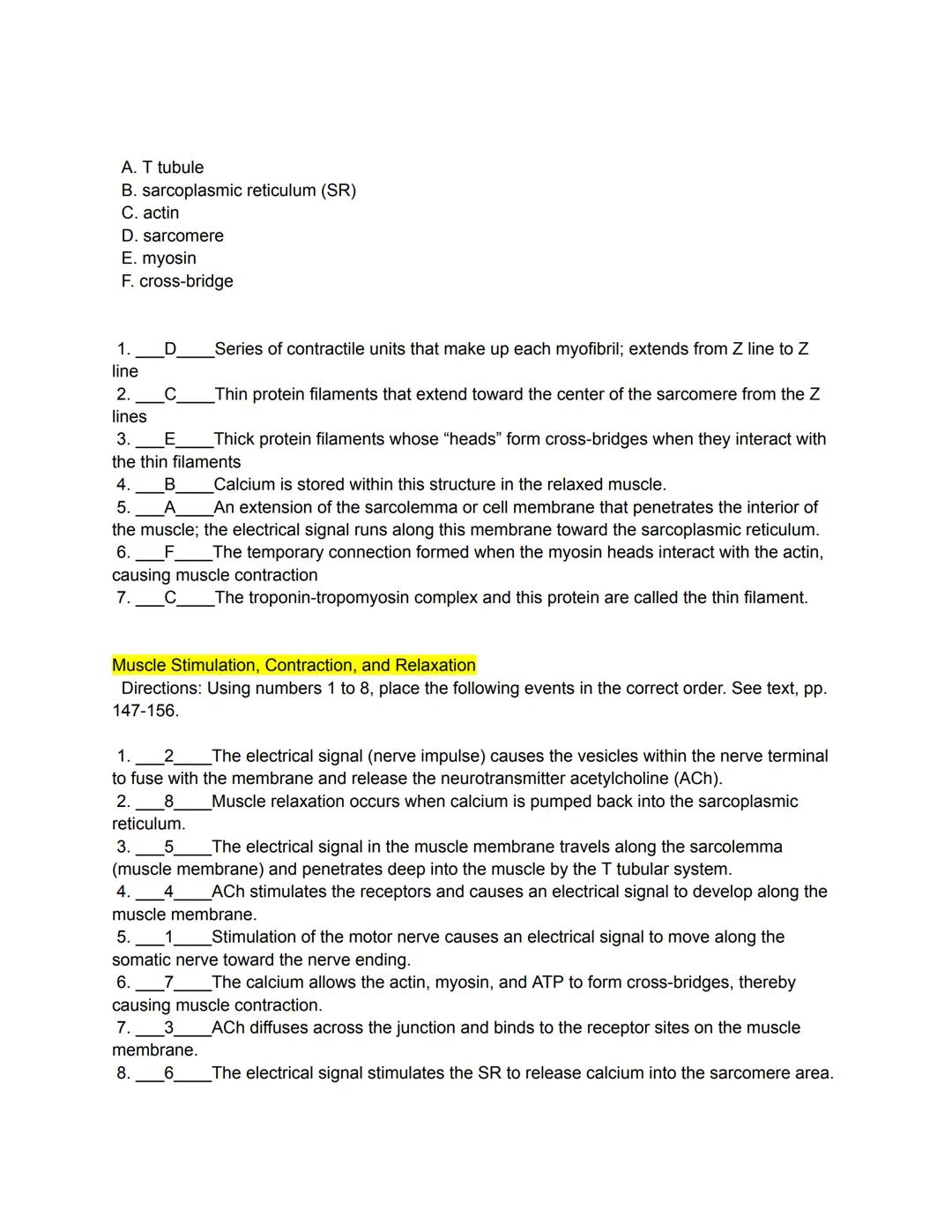
Looking closer at individual muscle fibers reveals even more complexity. Each fiber contains numerous sarcomeres (the basic contractile units) composed of protein filaments. These sarcomeres contain the sliding proteins actin (thin filaments) and myosin (thick filaments) that interact through cross-bridges to create muscle contractions.

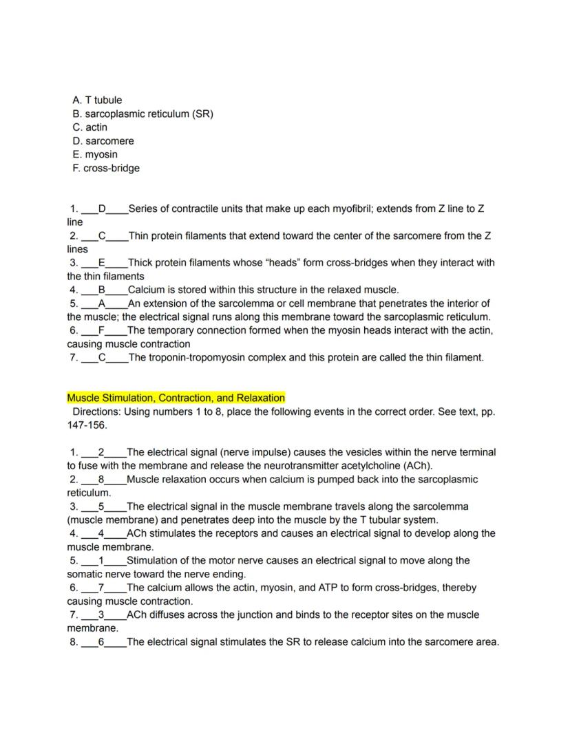
The journey from nerve signal to muscle movement follows a fascinating sequence. It begins when a motor nerve sends an electrical signal that causes the release of acetylcholine (ACh) at the neuromuscular junction. This neurotransmitter binds to receptors on the muscle membrane, triggering an electrical signal that spreads throughout the muscle via the sarcolemma and T tubules.
As this electrical signal penetrates deep into the muscle fiber, it stimulates the sarcoplasmic reticulum (SR) to release stored calcium ions. These calcium ions are crucial players in muscle contraction—they allow the interaction between actin and myosin proteins. When calcium floods the sarcomere, it exposes binding sites on the actin filaments, allowing myosin heads to form cross-bridges that pull the actin filaments inward, shortening the muscle.
Muscle relaxation occurs when the stimulus ends and calcium is actively pumped back into the sarcoplasmic reticulum. Without calcium, the binding sites on actin are blocked again, preventing further cross-bridge formation. This elegant system allows for precise control of both contraction and relaxation.
Remember This: Muscle contraction is like rowing a boat—myosin heads (the oars) attach to actin (the water), pull, detach, and reset for another pull. Each cycle requires energy from ATP and is regulated by calcium availability.

Muscles work as part of systems where their relationships to each other matter greatly. Each skeletal muscle has an origin (attachment to a stationary bone) and an insertion (attachment to the movable bone). When muscles contract, they typically pull on their insertion points to create movement.
Muscles rarely work alone. A prime mover (or agonist) is the main muscle responsible for a particular movement. It often works with synergist muscles that assist in the same motion. On the opposite side, antagonist muscles perform opposite actions—when one contracts, the other relaxes. Think of your biceps and triceps: when you bend your elbow, your biceps (prime mover) contracts while your triceps (antagonist) relaxes.
Your muscles can change in size depending on use. Hypertrophy occurs when muscles increase in size due to regular, challenging use (like weightlifting). Conversely, atrophy is the wasting or decreasing of muscle size from disuse, nerve damage (denervation), or aging (senile atrophy). A contracture is an abnormal condition where fibrous tissue forms in muscles, limiting normal movement.
Cool Fact: Muscle naming follows logical patterns based on location, shape, size, action, or attachment sites. This naming system helps medical professionals and anatomists communicate precisely about the 600+ muscles in your body!

Muscle names often give clues about their characteristics. Size descriptors include maximus (large) and vastus (huge). Shape terms include deltoid (triangular), teres (round), and rectus (straight). Direction indicators include oblique (diagonal) and brevis (short). Location terms include gluteus (buttock), pectoralis (chest), and brachii (arm). Latissimus means wide or broad.
The muscles of your head and face create expressions and enable vital functions. The frontalis raises your eyebrows and wrinkles your forehead for a surprised look, while the orbicularis oculi surrounds your eyes for blinking and winking. Your orbicularis oris encircles your mouth for speaking and eating, and the zygomaticus creates your smile by pulling the corners of your mouth upward.
Chewing involves several powerful muscles working together. The masseter and temporalis are synergists that close your jaw when you bite down. The buccinator flattens your cheek and positions food for chewing, earning its nickname "the trumpeter's muscle."
Imagine This: Your facial expressions use over 40 muscles! When you smile, frown, or look surprised, you're orchestrating a complex symphony of muscle movements that communicate your emotions to others.

Your neck contains critical muscles for head movement and posture. The sternocleidomastoid muscles run diagonally on either side of your neck—when both contract, they flex your head forward, but when only one contracts, it rotates your head to the opposite side. A spasm in this muscle causes torticollis (wryneck), a painful condition where your head tilts to one side. The trapezius muscles of your upper back and neck work antagonistically to the sternocleidomastoid, tilting your head backward and shrugging your shoulders.
Muscle function depends on complex cellular mechanisms. During muscle contraction, actin and myosin filaments slide past each other in what's known as the sliding filament mechanism. This process requires calcium, which is stored and released by the sarcoplasmic reticulum (SR). The strength of muscle contraction can increase through recruitment—activating more motor units to generate greater force.
The neurotransmitter acetylcholine (ACh) is crucial at the neuromuscular junction. When ACh receptor sites are damaged, muscle contraction becomes impaired, leading to weakness. After ACh has triggered muscle contraction, it must be inactivated to prevent continuous stimulation, allowing the muscle to relax when calcium returns to the SR.
Think About It: Without properly functioning neuromuscular junctions, even the strongest muscles would be useless. The microscopic chemical interactions at these junctions are what translate your brain's commands into physical movements!

Muscles exhibit different contraction states based on stimulation patterns. A single stimulus produces just a muscle twitch, but rapid, repeated stimulation can cause tetanus—a sustained contraction where the muscle cannot relax between stimuli. This is different from a contracture, which is an abnormal, permanent shortening of a muscle due to fibrosis.
Muscles work together in functional relationships. The biceps brachii flexes your elbow while its antagonist, the triceps brachii, extends it. These opposing muscles cannot contract fully simultaneously—when one contracts, the other must relax. Synergists like the brachialis and brachioradialis assist the biceps in elbow flexion, working as a team for smoother movement.
Extended immobilization can lead to disuse atrophy, where muscles waste away from lack of use. This commonly occurs when limbs are placed in casts or during extended bed rest. For bedridden patients, even the weight of bed linens can force the feet into plantar flexion (pointing downward), potentially causing disabling contractures if not prevented with proper positioning.
Important Warning: Muscle atrophy can begin within just 72 hours of immobilization! This is why physical therapy and movement are emphasized as soon as possible after injuries or surgeries—your muscles literally depend on movement to maintain their strength and function.

Specific muscle groups perform specialized functions throughout your body. The hamstrings on your posterior thigh flex your knee and extend your hip, working antagonistically to the quadriceps group on the anterior thigh. In your forearm, supinators and pronators twist your forearm to turn your palm upward or downward—crucial movements for activities like using a screwdriver or pouring water.
Muscles contain important specialized molecules. Myoglobin is an oxygen-carrying protein that gives muscles their reddish color and stores oxygen for use during contraction. Creatine phosphate serves as a rapid energy source, helping regenerate ATP needed for muscle contraction. When ATP becomes depleted after death, muscles can't relax, leading to rigor mortis—the stiffening of muscles in a deceased body.
Aging significantly impacts muscle function. As you age, you experience a gradual loss of muscle strength and mass—a condition called sarcopenia. This natural process reduces overall strength and can affect mobility and independence. Regular physical activity throughout life can slow this decline, helping maintain better muscle function into older age.
Did You Know? A single motor unit consists of one motor neuron and all the muscle fibers it controls—anywhere from a few fibers (in muscles requiring fine control, like those in your eyes) to hundreds of fibers (in large, powerful muscles like those in your legs). This arrangement allows for both precision and power in different muscle groups.

Your body's muscles are organized into functional groups that work together for coordinated movements. Upper extremity muscles include the deltoid (which forms your shoulder "pad" and raises your arm outward), the biceps and triceps brachii (which flex and extend your elbow), and the supinators and pronators (which rotate your forearm). Lower extremity muscles include the quadriceps femoris group (which straightens your knee), hamstrings (which bend your knee), and gastrocnemius (your main calf muscle for pushing off when walking).
Muscles are classified by structure and function. Striated muscles include both skeletal and cardiac types, though only skeletal muscles are voluntary. Involuntary muscles include both smooth and cardiac varieties. The diaphragm and intercostals are critical breathing muscles, while the rotator cuff muscles stabilize your shoulder joint.
Understanding muscle physiology has important medical applications. During surgery, doctors may administer curare-like drugs to cause muscle relaxation, making surgical procedures safer and easier to perform. These drugs work by interfering with acetylcholine at neuromuscular junctions, temporarily preventing muscles from contracting. Because these drugs also affect respiratory muscles, patients often require ventilation support until the medication wears off.
Clinical Connection: Neuromuscular blocking agents like those used in surgery mimic certain disease processes and toxins found in nature. The original curare was derived from plant extracts used by South American indigenous peoples on poison darts that paralyzed prey by preventing muscle contraction!

Your muscles create various types of movements with specific anatomical terms. Flexion decreases the angle between bones (like bending your elbow), while extension increases it. Supination turns your palm upward, while pronation turns it downward. Abduction moves a limb away from your body's midline, while adduction moves it toward the midline. Understanding these movement terms helps precisely describe how muscles function.
The muscular system relies on several key components working together. Contractile proteins (actin and myosin) form the sliding filament mechanism. Various connective tissues (tendons, perimysium, and aponeuroses) anchor muscles and transmit their force. When any part of this system malfunctions, movement can be compromised.
In medical settings, understanding muscle function is crucial for proper treatment. During procedures like abdominal surgery, curare-like drugs may be administered alongside general anesthetics to produce muscle relaxation. These drugs work by competing with acetylcholine at receptor sites in the neuromuscular junction, temporarily preventing muscle contraction. Because they affect all skeletal muscles, including those used for breathing, patients typically require ventilatory support until the drug's effects wear off.
Life-Saving Knowledge: In cases of overdose with neuromuscular blocking agents, medical professionals can administer acetylcholinesterase inhibitors as antidotes. These medications prevent the breakdown of acetylcholine, allowing it to accumulate and overcome the blockade at the neuromuscular junction—literally a life-saving chemical competition!
Our AI companion is specifically built for the needs of students. Based on the millions of content pieces we have on the platform we can provide truly meaningful and relevant answers to students. But its not only about answers, the companion is even more about guiding students through their daily learning challenges, with personalised study plans, quizzes or content pieces in the chat and 100% personalisation based on the students skills and developments.
You can download the app in the Google Play Store and in the Apple App Store.
That's right! Enjoy free access to study content, connect with fellow students, and get instant help – all at your fingertips.
App Store
Google Play
The app is very easy to use and well designed. I have found everything I was looking for so far and have been able to learn a lot from the presentations! I will definitely use the app for a class assignment! And of course it also helps a lot as an inspiration.
Stefan S
iOS user
This app is really great. There are so many study notes and help [...]. My problem subject is French, for example, and the app has so many options for help. Thanks to this app, I have improved my French. I would recommend it to anyone.
Samantha Klich
Android user
Wow, I am really amazed. I just tried the app because I've seen it advertised many times and was absolutely stunned. This app is THE HELP you want for school and above all, it offers so many things, such as workouts and fact sheets, which have been VERY helpful to me personally.
Anna
iOS user
I think it’s very much worth it and you’ll end up using it a lot once you get the hang of it and even after looking at others notes you can still ask your Artificial intelligence buddy the question and ask to simplify it if you still don’t get it!!! In the end I think it’s worth it 😊👍 ⚠️Also DID I MENTION ITS FREEE YOU DON’T HAVE TO PAY FOR ANYTHING AND STILL GET YOUR GRADES IN PERFECTLY❗️❗️⚠️
Thomas R
iOS user
Knowunity is the BEST app I’ve used in a minute. This is not an ai review or anything this is genuinely coming from a 7th grade student (I know 2011 im young) but dude this app is a 10/10 i have maintained a 3.8 gpa and have plenty of time for gaming. I love it and my mom is just happy I got good grades
Brad T
Android user
Not only did it help me find the answer but it also showed me alternative ways to solve it. I was horrible in math and science but now I have an a in both subjects. Thanks for the help🤍🤍
David K
iOS user
The app's just great! All I have to do is enter the topic in the search bar and I get the response real fast. I don't have to watch 10 YouTube videos to understand something, so I'm saving my time. Highly recommended!
Sudenaz Ocak
Android user
In school I was really bad at maths but thanks to the app, I am doing better now. I am so grateful that you made the app.
Greenlight Bonnie
Android user
I found this app a couple years ago and it has only gotten better since then. I really love it because it can help with written questions and photo questions. Also, it can find study guides that other people have made as well as flashcard sets and practice tests. The free version is also amazing for students who might not be able to afford it. Would 100% recommend
Aubrey
iOS user
Best app if you're in Highschool or Junior high. I have been using this app for 2 school years and it's the best, it's good if you don't have anyone to help you with school work.😋🩷🎀
Marco B
iOS user
THE QUIZES AND FLASHCARDS ARE SO USEFUL AND I LOVE Knowunity AI. IT ALSO IS LITREALLY LIKE CHATGPT BUT SMARTER!! HELPED ME WITH MY MASCARA PROBLEMS TOO!! AS WELL AS MY REAL SUBJECTS ! DUHHH 😍😁😲🤑💗✨🎀😮
Elisha
iOS user
This app is phenomenal down to the correct info and the various topics you can study! I greatly recommend it for people who struggle with procrastination and those who need homework help. It has been perfectly accurate for world 1 history as far as I’ve seen! Geometry too!
Paul T
iOS user
The app is very easy to use and well designed. I have found everything I was looking for so far and have been able to learn a lot from the presentations! I will definitely use the app for a class assignment! And of course it also helps a lot as an inspiration.
Stefan S
iOS user
This app is really great. There are so many study notes and help [...]. My problem subject is French, for example, and the app has so many options for help. Thanks to this app, I have improved my French. I would recommend it to anyone.
Samantha Klich
Android user
Wow, I am really amazed. I just tried the app because I've seen it advertised many times and was absolutely stunned. This app is THE HELP you want for school and above all, it offers so many things, such as workouts and fact sheets, which have been VERY helpful to me personally.
Anna
iOS user
I think it’s very much worth it and you’ll end up using it a lot once you get the hang of it and even after looking at others notes you can still ask your Artificial intelligence buddy the question and ask to simplify it if you still don’t get it!!! In the end I think it’s worth it 😊👍 ⚠️Also DID I MENTION ITS FREEE YOU DON’T HAVE TO PAY FOR ANYTHING AND STILL GET YOUR GRADES IN PERFECTLY❗️❗️⚠️
Thomas R
iOS user
Knowunity is the BEST app I’ve used in a minute. This is not an ai review or anything this is genuinely coming from a 7th grade student (I know 2011 im young) but dude this app is a 10/10 i have maintained a 3.8 gpa and have plenty of time for gaming. I love it and my mom is just happy I got good grades
Brad T
Android user
Not only did it help me find the answer but it also showed me alternative ways to solve it. I was horrible in math and science but now I have an a in both subjects. Thanks for the help🤍🤍
David K
iOS user
The app's just great! All I have to do is enter the topic in the search bar and I get the response real fast. I don't have to watch 10 YouTube videos to understand something, so I'm saving my time. Highly recommended!
Sudenaz Ocak
Android user
In school I was really bad at maths but thanks to the app, I am doing better now. I am so grateful that you made the app.
Greenlight Bonnie
Android user
I found this app a couple years ago and it has only gotten better since then. I really love it because it can help with written questions and photo questions. Also, it can find study guides that other people have made as well as flashcard sets and practice tests. The free version is also amazing for students who might not be able to afford it. Would 100% recommend
Aubrey
iOS user
Best app if you're in Highschool or Junior high. I have been using this app for 2 school years and it's the best, it's good if you don't have anyone to help you with school work.😋🩷🎀
Marco B
iOS user
THE QUIZES AND FLASHCARDS ARE SO USEFUL AND I LOVE Knowunity AI. IT ALSO IS LITREALLY LIKE CHATGPT BUT SMARTER!! HELPED ME WITH MY MASCARA PROBLEMS TOO!! AS WELL AS MY REAL SUBJECTS ! DUHHH 😍😁😲🤑💗✨🎀😮
Elisha
iOS user
This app is phenomenal down to the correct info and the various topics you can study! I greatly recommend it for people who struggle with procrastination and those who need homework help. It has been perfectly accurate for world 1 history as far as I’ve seen! Geometry too!
Paul T
iOS user
Giana Lynch
@gianalynch_dpez
Muscles are the body's movement machines, allowing us to perform everything from blinking to running marathons. They come in different types and work together in complex systems to create both voluntary and involuntary movements throughout the body. Understanding muscle structure... Show more

Access to all documents
Improve your grades
Join milions of students
Your body contains three distinct muscle types, each with specialized functions. Skeletal muscle is both striated (has visible bands) and voluntary, attaching to bones and requiring conscious control through somatic motor nerves. Smooth muscle is nonstriated and involuntary, found in organ walls, blood vessels, and other viscera where it works automatically without your conscious control. Cardiac muscle is uniquely striated yet involuntary, found exclusively in the heart.
Whole muscles have a complex organizational structure. The entire muscle is wrapped in epimysium, a protective connective tissue layer. Inside, muscle fibers are bundled into fascicles wrapped in perimysium, while individual muscle fibers have their own endomysium covering. Muscles attach to bones through tendons or aponeuroses .
Quick Tip: Think of muscle organization like a cable: individual wires (muscle fibers) are bundled into groups (fascicles), and the entire cable has an outer protective covering (epimysium). This hierarchical structure allows for precise control of movements.
Looking closer at individual muscle fibers reveals even more complexity. Each fiber contains numerous sarcomeres (the basic contractile units) composed of protein filaments. These sarcomeres contain the sliding proteins actin (thin filaments) and myosin (thick filaments) that interact through cross-bridges to create muscle contractions.

Access to all documents
Improve your grades
Join milions of students
The journey from nerve signal to muscle movement follows a fascinating sequence. It begins when a motor nerve sends an electrical signal that causes the release of acetylcholine (ACh) at the neuromuscular junction. This neurotransmitter binds to receptors on the muscle membrane, triggering an electrical signal that spreads throughout the muscle via the sarcolemma and T tubules.
As this electrical signal penetrates deep into the muscle fiber, it stimulates the sarcoplasmic reticulum (SR) to release stored calcium ions. These calcium ions are crucial players in muscle contraction—they allow the interaction between actin and myosin proteins. When calcium floods the sarcomere, it exposes binding sites on the actin filaments, allowing myosin heads to form cross-bridges that pull the actin filaments inward, shortening the muscle.
Muscle relaxation occurs when the stimulus ends and calcium is actively pumped back into the sarcoplasmic reticulum. Without calcium, the binding sites on actin are blocked again, preventing further cross-bridge formation. This elegant system allows for precise control of both contraction and relaxation.
Remember This: Muscle contraction is like rowing a boat—myosin heads (the oars) attach to actin (the water), pull, detach, and reset for another pull. Each cycle requires energy from ATP and is regulated by calcium availability.

Access to all documents
Improve your grades
Join milions of students
Muscles work as part of systems where their relationships to each other matter greatly. Each skeletal muscle has an origin (attachment to a stationary bone) and an insertion (attachment to the movable bone). When muscles contract, they typically pull on their insertion points to create movement.
Muscles rarely work alone. A prime mover (or agonist) is the main muscle responsible for a particular movement. It often works with synergist muscles that assist in the same motion. On the opposite side, antagonist muscles perform opposite actions—when one contracts, the other relaxes. Think of your biceps and triceps: when you bend your elbow, your biceps (prime mover) contracts while your triceps (antagonist) relaxes.
Your muscles can change in size depending on use. Hypertrophy occurs when muscles increase in size due to regular, challenging use (like weightlifting). Conversely, atrophy is the wasting or decreasing of muscle size from disuse, nerve damage (denervation), or aging (senile atrophy). A contracture is an abnormal condition where fibrous tissue forms in muscles, limiting normal movement.
Cool Fact: Muscle naming follows logical patterns based on location, shape, size, action, or attachment sites. This naming system helps medical professionals and anatomists communicate precisely about the 600+ muscles in your body!

Access to all documents
Improve your grades
Join milions of students
Muscle names often give clues about their characteristics. Size descriptors include maximus (large) and vastus (huge). Shape terms include deltoid (triangular), teres (round), and rectus (straight). Direction indicators include oblique (diagonal) and brevis (short). Location terms include gluteus (buttock), pectoralis (chest), and brachii (arm). Latissimus means wide or broad.
The muscles of your head and face create expressions and enable vital functions. The frontalis raises your eyebrows and wrinkles your forehead for a surprised look, while the orbicularis oculi surrounds your eyes for blinking and winking. Your orbicularis oris encircles your mouth for speaking and eating, and the zygomaticus creates your smile by pulling the corners of your mouth upward.
Chewing involves several powerful muscles working together. The masseter and temporalis are synergists that close your jaw when you bite down. The buccinator flattens your cheek and positions food for chewing, earning its nickname "the trumpeter's muscle."
Imagine This: Your facial expressions use over 40 muscles! When you smile, frown, or look surprised, you're orchestrating a complex symphony of muscle movements that communicate your emotions to others.

Access to all documents
Improve your grades
Join milions of students
Your neck contains critical muscles for head movement and posture. The sternocleidomastoid muscles run diagonally on either side of your neck—when both contract, they flex your head forward, but when only one contracts, it rotates your head to the opposite side. A spasm in this muscle causes torticollis (wryneck), a painful condition where your head tilts to one side. The trapezius muscles of your upper back and neck work antagonistically to the sternocleidomastoid, tilting your head backward and shrugging your shoulders.
Muscle function depends on complex cellular mechanisms. During muscle contraction, actin and myosin filaments slide past each other in what's known as the sliding filament mechanism. This process requires calcium, which is stored and released by the sarcoplasmic reticulum (SR). The strength of muscle contraction can increase through recruitment—activating more motor units to generate greater force.
The neurotransmitter acetylcholine (ACh) is crucial at the neuromuscular junction. When ACh receptor sites are damaged, muscle contraction becomes impaired, leading to weakness. After ACh has triggered muscle contraction, it must be inactivated to prevent continuous stimulation, allowing the muscle to relax when calcium returns to the SR.
Think About It: Without properly functioning neuromuscular junctions, even the strongest muscles would be useless. The microscopic chemical interactions at these junctions are what translate your brain's commands into physical movements!

Access to all documents
Improve your grades
Join milions of students
Muscles exhibit different contraction states based on stimulation patterns. A single stimulus produces just a muscle twitch, but rapid, repeated stimulation can cause tetanus—a sustained contraction where the muscle cannot relax between stimuli. This is different from a contracture, which is an abnormal, permanent shortening of a muscle due to fibrosis.
Muscles work together in functional relationships. The biceps brachii flexes your elbow while its antagonist, the triceps brachii, extends it. These opposing muscles cannot contract fully simultaneously—when one contracts, the other must relax. Synergists like the brachialis and brachioradialis assist the biceps in elbow flexion, working as a team for smoother movement.
Extended immobilization can lead to disuse atrophy, where muscles waste away from lack of use. This commonly occurs when limbs are placed in casts or during extended bed rest. For bedridden patients, even the weight of bed linens can force the feet into plantar flexion (pointing downward), potentially causing disabling contractures if not prevented with proper positioning.
Important Warning: Muscle atrophy can begin within just 72 hours of immobilization! This is why physical therapy and movement are emphasized as soon as possible after injuries or surgeries—your muscles literally depend on movement to maintain their strength and function.

Access to all documents
Improve your grades
Join milions of students
Specific muscle groups perform specialized functions throughout your body. The hamstrings on your posterior thigh flex your knee and extend your hip, working antagonistically to the quadriceps group on the anterior thigh. In your forearm, supinators and pronators twist your forearm to turn your palm upward or downward—crucial movements for activities like using a screwdriver or pouring water.
Muscles contain important specialized molecules. Myoglobin is an oxygen-carrying protein that gives muscles their reddish color and stores oxygen for use during contraction. Creatine phosphate serves as a rapid energy source, helping regenerate ATP needed for muscle contraction. When ATP becomes depleted after death, muscles can't relax, leading to rigor mortis—the stiffening of muscles in a deceased body.
Aging significantly impacts muscle function. As you age, you experience a gradual loss of muscle strength and mass—a condition called sarcopenia. This natural process reduces overall strength and can affect mobility and independence. Regular physical activity throughout life can slow this decline, helping maintain better muscle function into older age.
Did You Know? A single motor unit consists of one motor neuron and all the muscle fibers it controls—anywhere from a few fibers (in muscles requiring fine control, like those in your eyes) to hundreds of fibers (in large, powerful muscles like those in your legs). This arrangement allows for both precision and power in different muscle groups.

Access to all documents
Improve your grades
Join milions of students
Your body's muscles are organized into functional groups that work together for coordinated movements. Upper extremity muscles include the deltoid (which forms your shoulder "pad" and raises your arm outward), the biceps and triceps brachii (which flex and extend your elbow), and the supinators and pronators (which rotate your forearm). Lower extremity muscles include the quadriceps femoris group (which straightens your knee), hamstrings (which bend your knee), and gastrocnemius (your main calf muscle for pushing off when walking).
Muscles are classified by structure and function. Striated muscles include both skeletal and cardiac types, though only skeletal muscles are voluntary. Involuntary muscles include both smooth and cardiac varieties. The diaphragm and intercostals are critical breathing muscles, while the rotator cuff muscles stabilize your shoulder joint.
Understanding muscle physiology has important medical applications. During surgery, doctors may administer curare-like drugs to cause muscle relaxation, making surgical procedures safer and easier to perform. These drugs work by interfering with acetylcholine at neuromuscular junctions, temporarily preventing muscles from contracting. Because these drugs also affect respiratory muscles, patients often require ventilation support until the medication wears off.
Clinical Connection: Neuromuscular blocking agents like those used in surgery mimic certain disease processes and toxins found in nature. The original curare was derived from plant extracts used by South American indigenous peoples on poison darts that paralyzed prey by preventing muscle contraction!

Access to all documents
Improve your grades
Join milions of students
Your muscles create various types of movements with specific anatomical terms. Flexion decreases the angle between bones (like bending your elbow), while extension increases it. Supination turns your palm upward, while pronation turns it downward. Abduction moves a limb away from your body's midline, while adduction moves it toward the midline. Understanding these movement terms helps precisely describe how muscles function.
The muscular system relies on several key components working together. Contractile proteins (actin and myosin) form the sliding filament mechanism. Various connective tissues (tendons, perimysium, and aponeuroses) anchor muscles and transmit their force. When any part of this system malfunctions, movement can be compromised.
In medical settings, understanding muscle function is crucial for proper treatment. During procedures like abdominal surgery, curare-like drugs may be administered alongside general anesthetics to produce muscle relaxation. These drugs work by competing with acetylcholine at receptor sites in the neuromuscular junction, temporarily preventing muscle contraction. Because they affect all skeletal muscles, including those used for breathing, patients typically require ventilatory support until the drug's effects wear off.
Life-Saving Knowledge: In cases of overdose with neuromuscular blocking agents, medical professionals can administer acetylcholinesterase inhibitors as antidotes. These medications prevent the breakdown of acetylcholine, allowing it to accumulate and overcome the blockade at the neuromuscular junction—literally a life-saving chemical competition!
Our AI companion is specifically built for the needs of students. Based on the millions of content pieces we have on the platform we can provide truly meaningful and relevant answers to students. But its not only about answers, the companion is even more about guiding students through their daily learning challenges, with personalised study plans, quizzes or content pieces in the chat and 100% personalisation based on the students skills and developments.
You can download the app in the Google Play Store and in the Apple App Store.
That's right! Enjoy free access to study content, connect with fellow students, and get instant help – all at your fingertips.
1
Smart Tools NEW
Transform this note into: ✓ 50+ Practice Questions ✓ Interactive Flashcards ✓ Full Practice Test ✓ Essay Outlines
Understanding the fundamental units of life: the cell. Explores cell types and the inner functions of them.
Learn about the functions of the muscular system in body movement, posture maintenance, heat production, and nervous system responses.
Learn about the different components of the skeletal system, including bones, cartilage, and bone marrow, and their functions in the body.
Cells and movements across membranes…
Going by the AP Biology curriculum
Exploring the mechanisms of heredity, genetic possibilities, and inheritance patterns, including non-Mendelian traits and chromosomal inheritance.
App Store
Google Play
The app is very easy to use and well designed. I have found everything I was looking for so far and have been able to learn a lot from the presentations! I will definitely use the app for a class assignment! And of course it also helps a lot as an inspiration.
Stefan S
iOS user
This app is really great. There are so many study notes and help [...]. My problem subject is French, for example, and the app has so many options for help. Thanks to this app, I have improved my French. I would recommend it to anyone.
Samantha Klich
Android user
Wow, I am really amazed. I just tried the app because I've seen it advertised many times and was absolutely stunned. This app is THE HELP you want for school and above all, it offers so many things, such as workouts and fact sheets, which have been VERY helpful to me personally.
Anna
iOS user
I think it’s very much worth it and you’ll end up using it a lot once you get the hang of it and even after looking at others notes you can still ask your Artificial intelligence buddy the question and ask to simplify it if you still don’t get it!!! In the end I think it’s worth it 😊👍 ⚠️Also DID I MENTION ITS FREEE YOU DON’T HAVE TO PAY FOR ANYTHING AND STILL GET YOUR GRADES IN PERFECTLY❗️❗️⚠️
Thomas R
iOS user
Knowunity is the BEST app I’ve used in a minute. This is not an ai review or anything this is genuinely coming from a 7th grade student (I know 2011 im young) but dude this app is a 10/10 i have maintained a 3.8 gpa and have plenty of time for gaming. I love it and my mom is just happy I got good grades
Brad T
Android user
Not only did it help me find the answer but it also showed me alternative ways to solve it. I was horrible in math and science but now I have an a in both subjects. Thanks for the help🤍🤍
David K
iOS user
The app's just great! All I have to do is enter the topic in the search bar and I get the response real fast. I don't have to watch 10 YouTube videos to understand something, so I'm saving my time. Highly recommended!
Sudenaz Ocak
Android user
In school I was really bad at maths but thanks to the app, I am doing better now. I am so grateful that you made the app.
Greenlight Bonnie
Android user
I found this app a couple years ago and it has only gotten better since then. I really love it because it can help with written questions and photo questions. Also, it can find study guides that other people have made as well as flashcard sets and practice tests. The free version is also amazing for students who might not be able to afford it. Would 100% recommend
Aubrey
iOS user
Best app if you're in Highschool or Junior high. I have been using this app for 2 school years and it's the best, it's good if you don't have anyone to help you with school work.😋🩷🎀
Marco B
iOS user
THE QUIZES AND FLASHCARDS ARE SO USEFUL AND I LOVE Knowunity AI. IT ALSO IS LITREALLY LIKE CHATGPT BUT SMARTER!! HELPED ME WITH MY MASCARA PROBLEMS TOO!! AS WELL AS MY REAL SUBJECTS ! DUHHH 😍😁😲🤑💗✨🎀😮
Elisha
iOS user
This app is phenomenal down to the correct info and the various topics you can study! I greatly recommend it for people who struggle with procrastination and those who need homework help. It has been perfectly accurate for world 1 history as far as I’ve seen! Geometry too!
Paul T
iOS user
The app is very easy to use and well designed. I have found everything I was looking for so far and have been able to learn a lot from the presentations! I will definitely use the app for a class assignment! And of course it also helps a lot as an inspiration.
Stefan S
iOS user
This app is really great. There are so many study notes and help [...]. My problem subject is French, for example, and the app has so many options for help. Thanks to this app, I have improved my French. I would recommend it to anyone.
Samantha Klich
Android user
Wow, I am really amazed. I just tried the app because I've seen it advertised many times and was absolutely stunned. This app is THE HELP you want for school and above all, it offers so many things, such as workouts and fact sheets, which have been VERY helpful to me personally.
Anna
iOS user
I think it’s very much worth it and you’ll end up using it a lot once you get the hang of it and even after looking at others notes you can still ask your Artificial intelligence buddy the question and ask to simplify it if you still don’t get it!!! In the end I think it’s worth it 😊👍 ⚠️Also DID I MENTION ITS FREEE YOU DON’T HAVE TO PAY FOR ANYTHING AND STILL GET YOUR GRADES IN PERFECTLY❗️❗️⚠️
Thomas R
iOS user
Knowunity is the BEST app I’ve used in a minute. This is not an ai review or anything this is genuinely coming from a 7th grade student (I know 2011 im young) but dude this app is a 10/10 i have maintained a 3.8 gpa and have plenty of time for gaming. I love it and my mom is just happy I got good grades
Brad T
Android user
Not only did it help me find the answer but it also showed me alternative ways to solve it. I was horrible in math and science but now I have an a in both subjects. Thanks for the help🤍🤍
David K
iOS user
The app's just great! All I have to do is enter the topic in the search bar and I get the response real fast. I don't have to watch 10 YouTube videos to understand something, so I'm saving my time. Highly recommended!
Sudenaz Ocak
Android user
In school I was really bad at maths but thanks to the app, I am doing better now. I am so grateful that you made the app.
Greenlight Bonnie
Android user
I found this app a couple years ago and it has only gotten better since then. I really love it because it can help with written questions and photo questions. Also, it can find study guides that other people have made as well as flashcard sets and practice tests. The free version is also amazing for students who might not be able to afford it. Would 100% recommend
Aubrey
iOS user
Best app if you're in Highschool or Junior high. I have been using this app for 2 school years and it's the best, it's good if you don't have anyone to help you with school work.😋🩷🎀
Marco B
iOS user
THE QUIZES AND FLASHCARDS ARE SO USEFUL AND I LOVE Knowunity AI. IT ALSO IS LITREALLY LIKE CHATGPT BUT SMARTER!! HELPED ME WITH MY MASCARA PROBLEMS TOO!! AS WELL AS MY REAL SUBJECTS ! DUHHH 😍😁😲🤑💗✨🎀😮
Elisha
iOS user
This app is phenomenal down to the correct info and the various topics you can study! I greatly recommend it for people who struggle with procrastination and those who need homework help. It has been perfectly accurate for world 1 history as far as I’ve seen! Geometry too!
Paul T
iOS user